Factoriser 4 x 8 x 4 9 x

  • Slides: 35
Download presentation
Factoriser 4 x² + 8 x + 4 = ? 9 x² – 6

Factoriser 4 x² + 8 x + 4 = ? 9 x² – 6 x + 1 = ? 16 x² – 1 = ?

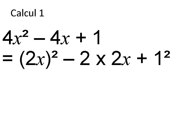
Calcul 1 4 x² – 4 x + 1

Calcul 1 4 x² – 4 x + 1

Calcul 2 4 – x²

Calcul 2 4 – x²

Calcul 3 x² + 12 x + 36

Calcul 3 x² + 12 x + 36

Calcul 4 36 – x²

Calcul 4 36 – x²

Prêt pour la correction…

Prêt pour la correction…

Calcul 1 4 x² – 4 x + 1

Calcul 1 4 x² – 4 x + 1

Calcul 1 4 x² – 4 x + 1 = (2 x)² – 2

Calcul 1 4 x² – 4 x + 1 = (2 x)² – 2 x 2 x + 1²

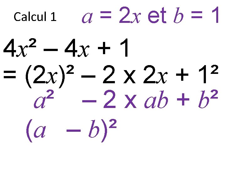
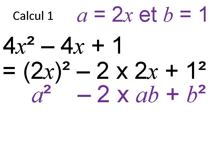
Calcul 1 a = 2 x et b = 1 4 x² – 4

Calcul 1 a = 2 x et b = 1 4 x² – 4 x + 1 = (2 x)² – 2 x 2 x + 1² a² – 2 x ab + b²

Calcul 1 a = 2 x et b = 1 4 x² – 4

Calcul 1 a = 2 x et b = 1 4 x² – 4 x + 1 = (2 x)² – 2 x 2 x + 1² a² – 2 x ab + b²

Calcul 1 a = 2 x et b = 1 4 x² – 4

Calcul 1 a = 2 x et b = 1 4 x² – 4 x + 1 = (2 x)² – 2 x 2 x + 1² a² – 2 x ab + b² (a – b)²

Calcul 1 a = 2 x et b = 1 4 x² – 4

Calcul 1 a = 2 x et b = 1 4 x² – 4 x + 1 = (2 x)² – 2 x 2 x + 1² (a – b)²

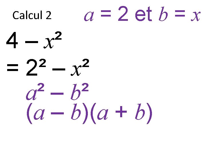
Calcul 2 4 – x²

Calcul 2 4 – x²

Calcul 2 4 – x² = 2² – x²

Calcul 2 4 – x² = 2² – x²

Calcul 2 a = 2 et b = x 4 – x² = 2²

Calcul 2 a = 2 et b = x 4 – x² = 2² – x² a² – b²

Calcul 2 a = 2 et b = x 4 – x² = 2²

Calcul 2 a = 2 et b = x 4 – x² = 2² – x² a² – b²

Calcul 2 a = 2 et b = x 4 – x² = 2²

Calcul 2 a = 2 et b = x 4 – x² = 2² – x² (a – b)(a + b)

Calcul 3 x² + 12 x + 36

Calcul 3 x² + 12 x + 36

Calcul 3 x² + 12 x + 36 = x² + 2 x 6

Calcul 3 x² + 12 x + 36 = x² + 2 x 6 x + 6²

Calcul 3 a = x et b = 6 x² + 12 x +

Calcul 3 a = x et b = 6 x² + 12 x + 36 = x² + 2 x 6 x + 6² a² + 2 x ab + b²

Calcul 3 a = x et b = 6 x² + 12 x +

Calcul 3 a = x et b = 6 x² + 12 x + 36 = x² + 2 x 6 x + 6² a² + 2 x ab + b²

Calcul 3 a = x et b = 6 x² + 12 x +

Calcul 3 a = x et b = 6 x² + 12 x + 36 = x² + 2 x 6 x + 6² a² + 2 x ab + b² (a + b)²

Calcul 3 a = x et b = 6 x² + 12 x +

Calcul 3 a = x et b = 6 x² + 12 x + 36 = x² + 2 x 6 x + 6² (a + b)²

Calcul 3 a = x et b = 6 x² + 12 x +

Calcul 3 a = x et b = 6 x² + 12 x + 36 = x² + 2 x 6 x + 6² = (x + 6)² (a + b)²

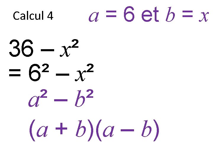
Calcul 4 36 – x²

Calcul 4 36 – x²

Calcul 4 36 – x² = 6² – x²

Calcul 4 36 – x² = 6² – x²

Calcul 4 a = 6 et b = x 36 – x² = 6²

Calcul 4 a = 6 et b = x 36 – x² = 6² – x² a² – b²

Calcul 4 a = 6 et b = x 36 – x² = 6²

Calcul 4 a = 6 et b = x 36 – x² = 6² – x² a² – b²

Calcul 4 a = 6 et b = x 36 – x² = 6²

Calcul 4 a = 6 et b = x 36 – x² = 6² – x² (a + b)(a – b)