Factoring Review Factoring n n n The process

  • Slides: 29
Download presentation
Factoring Review

Factoring Review

Factoring n n n The process of rewriting an equation or expression as the

Factoring n n n The process of rewriting an equation or expression as the product of its factors Example: x 2 + 3 x + 2 = (x + 2)(x + 1) Most common form is the quadratic form: ax 2 + bx + c, a ≠ 0

Factoring (when a = 1) ax 2 + bx + c = (x +

Factoring (when a = 1) ax 2 + bx + c = (x + ___ ) multiply to equal c and add up to equal b You can always check your answer by FOIL-ing!

Finding Factors of C 1. 2. 3. 4. 5. Identify the value of c

Finding Factors of C 1. 2. 3. 4. 5. Identify the value of c On your calculator, go to the y= screen Type C/X into y 1 Go to the table Any whole numbers (positive, nondecimal numbers) in the y 1 column are factors of c

Example

Example

Example #1

Example #1

Example #2

Example #2

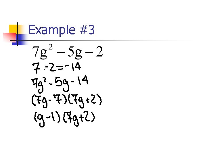
Example #3

Example #3

Your Turn: n n Complete problems 1 – 4 on the “Factoring Practice” handout

Your Turn: n n Complete problems 1 – 4 on the “Factoring Practice” handout Check your answer by FOIL-ing!

Difference of Squares n When we use it: n n Usually in the form

Difference of Squares n When we use it: n n Usually in the form ax 2 – c Both a and c are perfect squares (the square root of each number is a whole number)

Example #1

Example #1

Example #2

Example #2

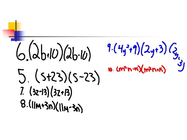
Your Turn: n n Complete problems 5 – 10 on the “Factoring Practice” handout

Your Turn: n n Complete problems 5 – 10 on the “Factoring Practice” handout Remember to check your answer by FOIL-ing!

Factoring (when a ≠ 1): The Welsh Method Pt. I 1. 2. 3. 4.

Factoring (when a ≠ 1): The Welsh Method Pt. I 1. 2. 3. 4. 5. Multiply c and a Rewrite the expression with the new value for c Write (ax + ) Finish “factoring” the new expression Reduce each set of parentheses by any common factors

Example #1

Example #1

Example #2

Example #2

Example #3

Example #3

Your Turn: n n Complete problems 11 – 20 on the “Factoring Practice” handout

Your Turn: n n Complete problems 11 – 20 on the “Factoring Practice” handout Don’t forget to check by FOIL-ing!

GCF (Greatest Common Factor) When we use it: all the terms share 1 or

GCF (Greatest Common Factor) When we use it: all the terms share 1 or more factors Factoring out GCFs save us time!!! n n 4 x 2 – 196 = 0 (2 x + 14)(2 x – 14) = 0

GCF (Greatest Common Factor) n 1. 2. 3. Steps: Identify any common factor(s) (including

GCF (Greatest Common Factor) n 1. 2. 3. Steps: Identify any common factor(s) (including the GCF) Factor out the common factor(s) Factor the remaining expression if possible

Example #1

Example #1

Example #2

Example #2

Example #3

Example #3

Your Turn: n Complete problems 21 – 30 on “Factoring Practice” handout

Your Turn: n Complete problems 21 – 30 on “Factoring Practice” handout

GCFs and The Welsh Method Make sure you factor out any GCFs or the

GCFs and The Welsh Method Make sure you factor out any GCFs or the Welsh Method doesn’t work!!!

Your Turn: n Complete problems 31 – 42 on the “Factoring Practice” handout

Your Turn: n Complete problems 31 – 42 on the “Factoring Practice” handout