Extensions of Single Site DMFT and its Applications


































































































































- Slides: 130
Extensions of Single Site DMFT and its Applications to Correlated Materials On the road towards understanding superconductivity in strongly correlated materials Gabriel Kotliar Physics Department and Center for Materials Theory Rutgers University Workshop on Quantum Materials Heron Island Resort New Queensland Australia 1 -4 June 2005
Mott Transition in the Actinide Series Lashley et. al.
Mott transition in open (right) and closed (left) shell systems. Superconductivity is an unavoidable S S g. T Log[2 J+1] consequence to the approach to the Mott transition with a Uc singlet closed shell U state. g ~1/(Uc-U) Tc ? ? ? J=0 U
• Cuprate superconductors and the Hubbard Model. PW Anderson 1987. Connect superconductivity to an RVB Mott insulator. Science 235, 1196 (1987). Hubbard , t-J model. • Baskaran Zhou and Anderson (1987). slave boson approach, S-wave Pairing. Connection to an insulator with a Fermi surface. .
RVB phase diagram of the Cuprate Superconductors and Superexchange. • The approach to the Mott insulator renormalizes the kinetic energy. Kinetic energy renormalizes to zero. • Attraction in the d wave channel of order J Not renormalized. Trvb increases. • The proximity to the Mott insulator reduce the charge stiffness , TBE goes to zero. • Superconducting dome. Pseudogap evolves continously into the superconducting state. G. Kotliar and J. Liu Phys. Rev. B 38, 5412 (1988) k, D singlet formation order parameters
Problems with the approach. • Neel order. How to continue a Neel insulating state ? • Stability of the pseudogap state at finite temperature. [Ubbens and Lee] • Missing incoherent spectra. [ fluctuations of slave bosons ] • Temperature dependence of the penetration depth [Wen and Lee , Ioffe and Millis ]. Theory: r[T]=x-Ta x 2 , Exp: r[T]= x-T a. • Mean field is too uniform on the Fermi surface, in contradiction with ARPES. The development of DMFT solves many of these problems. !!
Also, one would like to be able to evaluate from theory itself when the approximation is reliable!!
Cluster Extensions of Single Site DMFT
Medium of free electrons : impurity model. Solve for the medium using. Self Consistency. Extraction of lattice quantities. G. . Kotliar, S. Savrasov, G. Palsson and G. Biroli, Phys. Rev. Lett. 87, 186401 (2001)
Testing CDMFT (G. . Kotliar, S. Savrasov, G. Palsson and G. Biroli, Phys. Rev. Lett. 87, 186401 (2001) ) with two sites in the Hubbard model in one dimension V. Kancharla C. Bolech and GK PRB 67, 075110 (2003)][[M. Capone M. Civelli V Kancharla C. Castellani and GK PR B 69, 195105 (2004) ] U/t=4.
Finite T Mott transtion in CDMFT Parcollet Biroli and GK PRL, 92, 226402. (2004))
Evolution of the spectral function at low frequency. If the k dependence of the self energy is weak, we expect to see contour lines corresponding to t(k) = const and a height increasing as we approach the
Evolution of the k resolved Spectral Function at zero frequency. (QMC study Parcollet Biroli and GK PRL, 92, 226402. (2004)) ) U/D=2. 25 Uc=2. 35+-. 05, Tc/D=1/44. Tmott~. 01
Physical Interpretation • Momentum space differentiation. The Fermi liquid –Bad Metal, and the Bad Insulator - Mott Insulator regime are realized in two different regions of momentum space. • Cluster of impurities can have different characteristic temperatures. Coherence along the diagonal incoherence along x and y directions.
Cuprate superconductors and the Hubbard Model. PW Anderson 1987
CDMFT study of cuprates. • Allows the investigation of the normal state underlying the superconducting state, by forcing a symmetric Weiss function, we can follow the normal state near the Mott transition. • Earlier studies (Katsnelson and Lichtenstein, M. Jarrell, M Hettler et. al. Phys. Rev. B 58, 7475 (1998). T. Maier et. al. Phys. Rev. Lett 85, ) used QMC as an impurity solver and DCA as cluster scheme. • We use exact diag ( Krauth Caffarel 1995 with effective temperature 32/t=124/D ) as a solver and Cellular DMFT as the mean field scheme. 1524 (2000)
Superconducting State t’=0 • Does the Hubbard model superconduct ? • Is there a superconducting dome ? • Does the superconductivity scale with J ?
Superconductivity in the Hubbard model role of the Mott transition and influence of the superexchange. ( work with M. Capone V. Kancharla. CDMFT+ED, 4+ 8 sites t’=0).
Superconducting State t’=0 • Does it superconduct ? • Yes. Unless there is a competing phase. • Is there a superconducting dome ? • Yes. Provided U /W is above the Mott transition. • Does the superconductivity scale with J ? • Yes. Provided U /W is above the Mott transition.
Competition of AF and SC or SC AF AF+SC d d
D wave Superconductivity and Antiferromagnetism t’=0 M. Capone V. Kancharla (see also VCPT Senechal and Tremblay ). Antiferromagnetic (left) and d wave superconductor (right) Order Parameters
Competition of AF and SC U /t << 8 or SC AF AF SC AF+SC d d
• Can we connect the superconducting state with the “underlying “normal” state “ ? What does the underlying “normal” state look like ?
Follow the “normal state” with doping. Evolution of the spectral function at low frequency. If the k dependence of the self energy is weak, we expect to see contour lines corresponding to Ek = const and a height increasing as we approach the
: Spectral Function A(k, ω→ 0)= -1/π G(k, ω → 0) vs k U=16 t hole doped K. M. Shen et. al. 2004 2 X 2 CDMFT
Approaching the Mott transition: CDMFT Picture • Fermi Surface Breakup. Qualitative effect, momentum space differentiation. Formation of hot –cold regions is an unavoidable consequence of the approach to the Mott insulating state! • D wave gapping of the single particle spectra as the Mott transition is approached. • Similar scenario was encountered in previous study of the kappa organics. O Parcollet G. Biroli and G. Kotliar PRL, 92, 226402. (2004).
What about the electron doped semiconductors ?
Spectral Function A(k, ω→ 0)= -1/π G(k, ω → 0) vs k electron doped Momentum space differentiation a we approach the Mott transition is a generic phenomena. Location of cold and hot regions depend on parameters. P. Armitage et. al. 2001 Civelli et. al. 2004
o Qualitative Difference between the hole doped and the electron doped phase diagram is due to the underlying normal state. ” In the hole doped, it has nodal quasiparticles near (p/2, p/2) which are ready “to become the superconducting quasiparticles”. Therefore the superconducing state can evolve continuously to the normal state. The superconductivity can appear at very small doping. o Electron doped case, has in the underlying normal state quasiparticles leave in the (p, 0) region, there is no direct road to the superconducting state (or at least the road is tortuous) since the latter has QP at (p/2, p/2).
q Can we connect the superconducting state with the “underlying “normal” state “ ? q Yes, within our resolution in the hole doped case. q No in the electron doped case. q What does the underlying “normal state “ look like ? q Unusual distribution of spectra (Fermi arcs) in the normal state.
Mott transition into a low entropy insulator. Is superconuctivity realized in Am ? “Soft” Mott Transition? “Hard” Density functional based electronic structure calculations: q Non magnetic LDA/GGA predicts volume 50% off. q Magnetic GGA corrects most of error in volume but gives m~6 m. B (Soderlind et. al. , PRB 2000). q Experimentally, Am has non magnetic f 6 ground state with J=0 (7 F 0)
Am under pressure: J. C. Griveau. J. Rebizant G. Lander G. Kotliar PRL (2005)
• Mott transition into a low entropy insulator. Is it realized in Am ? • Yes! But there additional suprises, which are specific to Am, such as the second maximum in Tc vs pressure. Additional system specific properties.
Conclusions • Correlated Electron materials, as a second frontier in materials science research, the “in between “ regime between itinerant and localizedis very interesting. • Getting the general picture, and the material specific details are both important. . • Mott transition : open shell (finite T Mott endpoint in V 2 O 3, Ni. Se. S, K-organics, Pu ) closed shell case (Am, cuprates……. )connection to superconductivity. • The challenge of material design using correlated materials.
Conclusions • DMFT is a useful mean field tool to study correlated electrons. Provide a zeroth order picture of a physical phenomena. • Provide a link between a simple system (“mean field reference frame”) and the physical system of interest. [Sites, Links, and Plaquettes] • Formulate the problem in terms of local quantities (which we can usually compute better). • Allows to perform quantitative studies and predictions. Focus on the discrepancies between experiments and mean field predictions. • Generate useful language and concepts. Follow mean field states as a function of parameters. • Controlled approach!
Conjecture, Mott transition with Zcold finite ? Continuity with the insulator at one point in the zone.
Conjecture, Mott transition with Zcold finite ? Continuity with the insulator at one point in the zone.
Conjecture, Mott transition with Zcold finite ? Continuity with the insulator at one point in the zone.
q. Is the formation of the hot and cold regions is the result of the proximity to Antiferromagnetism ? Study various values of t’/t, U=16.
Introduce much larger frustration: t’=. 9 t U=16 t n=. 69. 92. 96
q Is the momentum space differentiation a result of proximity to an ordered state , e. g. antiferromagnetism? q Fermi Surface Breakup or Momentum space differentiation takes place irrespectively of the value of t’. The gross features are the result of the proximity to a Mott insulating state irrespective of whethere is magnetic long range order.
How is the Mott insulator approached from the superconducting state ? Work in collaboration with M. Capone
Evolution of the low energy tunneling density of state with doping. Decrease of spectral weight as the insulator is approached. Low energy particle hole symmetry.
Alternative view
Approaching the Mott transition: • Qualitative effect, momentum space differentiation. Formation of hot –cold regions is an unavoidable consequence of the approach to the Mott insulating state! • General phenomena, but the location of the cold regions depends on parameters. • With the present resolution, t’ =. 9 and. 3 are similar. However it is perfectly possible that at lower energies further refinements and differentiation will result from the proximity to different ordered states.
• Further understanding of phenomena of momentum space differentiation. • Analyze the results in terms of a few (three!) self energy functions.
Fermi Surface Shape Renormalization ( teff)ij=tij+ Re(Sij(0))
Fermi Surface Shape Renormalization • Photoemission measured the low energy renormalized Fermi surface. • If the high energy (bare ) parameters are doping independent, then the low energy hopping parameters are doping dependent. Another failure of the rigid band picture. • Electron doped case, the Fermi surface renormalizes TOWARDS nesting, the hole doped case the Fermi surface renormalizes AWAY from nesting. Enhanced magnetism in the electron doped side.
Understanding the location of the hot and cold regions.
LDA+DMFT spectra. Notice the rapid occupation of the f 7/2 band, (5 f)7
Photoemission Spectrum from 7 F 0 Americium LDA+DMFT Density of States S. Savrasov et. al. Multiplet Effects F(0)=4. 5 e. V F(2)=8. 0 e. V F(4)=5. 4 e. V F(6)=4. 0 e. V Experimental Photoemission Spectrum (after J. Naegele et. al, PRL 1984)
J. C. Griveau et. al. (2004)
H. Q. Yuan et. al. Ce. Cu 2(Si 2 -x Gex). Am under pressure Griveau et. al. Superconductivity due to valence fluctuations ?
Cluster DMFT for organics ?
CDMFT for organics ?
Evidence for unconventional interaction underlying in two-dimensional correlated electrons F. Kagawa, 1 K. Miyagawa, 1, 2 & K. Kanoda 1, 2
Conclusions and Outlook • Motivation: Mott transition in Americium and Plutonium. In both cases theory (DMFT) and experiment suggest gradual subtle changes. • DMFT: Physical connection between spectra and structure. Studied the Mott transition open and closed shell cases. . • DMFT: method under construction, but it already gives quantitative results and qualitative insights. Interactions between theory and experiments. • Pu: simple picture of alpha delta and epsilon. Interplay of lattice and electronic structure near the Mott transition. • Am: Rich physics, mixed valence under pressure ? Superconductivity near the Mott transition.
Actinides and The Mott Phenomena Evolution of the electronic structure between the atomic limit and the band limit in an open shell situation. The “”in between regime” is ubiquitous central theme in strongly correlated systems. Actinides allow us to probe this physics in ELEMENTS. Mott transition across the actinide series [ B. Johansson Phil Mag. 30, 469 (1974)]. Revisit the problem using a new insights and new techniques from the solution of the Mott transition problem within DMFT in a model Hamiltonian. Use the ideas and concepts that resulted from this development to give physical qualitative insights into real materials. Turn the technology developed to solve simple models into a practical quantitative electronic structure
Collaborators References • Reviews: A. Georges G. Kotliar W. Krauth and M. Rozenberg RMP 68 , 13, (1996). • Reviews: G. Kotliar S. Savrasov K. Haule V. Oudovenko O. Parcollet and C. Marianetti. Submitted to RMP (2005). • Gabriel Kotliar and Dieter Vollhardt Physics Today 57, (2004)
Understanding the result in terms of cluster self energies (eigenvalues)
Systematic Evolution
Dynamical Mean-Field Theory A. Georges, G. Kotliar Phys. Rev. B 45, 6497(1992)
Mean-Field Classical vs Quantum Classical case Quantum case A. Georges, G. Kotliar Phys. Rev. B 45, 6497(1992)
DMFT as an approximation to the Baym Kadanoff functional
CDMFT vs single site DMFT and other cluster methods.
Cellular DMFT 1 4 2 3
Site Cellular DMFT. C-DMFT. Kotliar, S. Savrasov, G. Palsson and G. Biroli, Phys. Rev. Lett. 87, 186401 (2001) G. . tˆ(K) hopping expressed in the superlattice notations. • Other cluster extensions (DCA Jarrell Krishnamurthy, M Hettler et. al. Phys. Rev. B 58, 7475 (1998)Katsnelson and Lichtenstein periodized scheme, Nested Cluster Schemes , causality issues, O. Parcollet, G. Biroli and GK Phys. Rev. B 69, 205108 (2004)
Estimates of upper bound for Tc exact diag. M. Capone. U=16 t, t’=0, ( t~. 35 ev, Tc ~140 K~. 005 W)
DMFT : What is the dominant atomic configuration , what is the fate of the atomic moment ? • Snapshots of the f electron : Dominant configuration: (5 f)5 • Naïve view Lz=-3, -2, -1, 0, 1, ML=-5 m. B, , S=5/2 Ms=5 m. B. Mtot=0 • More realistic calculations, (GGA+U), itineracy, crystal fields G 7 +G 8, ML=-3. 9 Mtot=1. 1. S. Y. Savrasov and G. Kotliar, Phys. Rev. Lett. , 84, 3670 (2000) • This moment is quenched or screened by spd electrons, and other f electrons. (e. g. alpha Ce). § Contrast Am: (5 f)6
Anomalous Resistivity PRL 91, 061401 (2003)
The delta –epsilon transition • The high temperature phase, (epsilon) is body centered cubic, and has a smaller volume than the (fcc) delta phase. • What drives this phase transition? • LDA+DMFT functional computes total energies opens the way to the computation of phonon frequencies in correlated materials (S. Savrasov and G. Kotliar 2002). Combine linear response and DMFT.
Epsilon Plutonium.
Phonon entropy drives the epsilon delta phase transition • Epsilon is slightly more delocalized than delta, has SMALLER volume and lies at HIGHER energy than delta at T=0. But it has a much larger phonon entropy than delta. • At the phase transition the volume shrinks but the phonon entropy increases. • Estimates of the phase transition following Drumont and G. Ackland et. al. PRB. 65, 184104 (2002); (and neglecting electronic entropy). TC ~ 600 K.
Total Energy as a function of volume for Pu W (ev) vs (a. u. 27. 2 ev) (Savrasov, Kotliar, Abrahams, Nature ( 2001) Non magnetic correlated state of fcc Pu. Zein Savrasov and Kotliar (2004)
Expt. Wong et. al.
Alpha and delta Pu
ARPES measurements on Ni. S 2 -x. Sex . Matsuura et. Al Phys. Rev B 58 (1998) 3690. Doniaach and Watanabe Phys. Rev. B 57, 3829 (1998)
One Particle Local Spectral Function and Angle Integrated Photoemission e • Probability of removing an electron and transfering energy w=Ei-Ef, f(w) A(w) M 2 • Probability of absorbing an electron and transfering energy w=Ei-Ef, (1 -f(w)) A(w) M 2 • Theory. Compute one particle greens function and use spectral function. n n e
QP in V 2 O 3 was recently found Mo et. al
k organics • ET = BEDT-TTF=Bisethylene dithio tetrathiafulvalene • K (ET)2 X Increasing pressure ----- increasing t’ -----X 0 X 1 X 2 X 3 • (Cu)2 CN)3 Cu(NCN)2 Cl Cu(NCN 2)2 Br Cu(NCS)2 • Spin liquid Mott transition
Vanadium Oxide Transport under pressure. Limelette etal
Failure of the Standard Model: Anomalous Spectral Weight Transfer Optical Conductivity o of Fe. Si for T=20, 40, 200 and 250 K from Schlesinger et. al (1993) Neff depends on T
RESTRICTED SUM RULES Below energy Apreciable. T dependence found. M. Rozenberg G. Kotliar and H. Kajueter PRB 54, 8452, (1996).
DMFT Impurity cavity construction
Site Cellular DMFT. C-DMFT. Kotliar, S. Savrasov, G. Palsson and G. Biroli, Phys. Rev. Lett. 87, 186401 (2001) G. . tˆ(K) hopping expressed in the superlattice notations. • Other cluster extensions (DCA Jarrell Krishnamurthy, M Hettler et. al. Phys. Rev. B 58, 7475 (1998)Katsnelson and Lichtenstein periodized scheme, Nested Cluster Schemes , causality issues, O. Parcollet, G. Biroli and GK Phys. Rev. B 69, 205108 (2004)
Mean-Field Classical vs Quantum case A. Georges, G. Kotliar Phys. Rev. B 45, 6497(1992)
Realistic DMFT loop
Other cluster extensions (DCA Jarrell Krishnamurthy, M Hettler et. al. Phys. Rev. B 58, 7475 (1998)Katsnelson and Lichtenstein periodized scheme. Causality issues O. Parcollet, G. Biroli and GK Phys. Rev. B 69, 205108 (2004)
Success story : Density Functional Linear Response Tremendous progress in ab initio modelling of lattice dynamics & electron-phonon interactions has been achieved (Review: Baroni et. al, Rev. Mod. Phys, 73, 515, 2001)
Limit of large lattice coordination Metzner Vollhardt, 89 Muller-Hartmann 89
Mean-Field Quantum Case H=Ho +Hm 0 Determine the parameters of the mediu t’ so as to get translation invariance on the average. A. Georges, G. Kotliar Phys. Rev. B 45, 6497(1992)
DMFT as an approximation to the Baym Kadanoff functional
DMFT Cavity Construction. A. Georges and G. Kotliar PRB 45, 6479 (1992). First happy marriage of atomic and band physics. Reviews: A. Georges G. Kotliar W. Krauth and M. Rozenberg RMP 68 , 13, 1996 Gabriel Kotliar and Dieter Vollhardt Physics Today
LDA+DMFT Self-Consistency loop Edc U DMFT
Testing CDMFT (G. . Kotliar, S. Savrasov, G. Palsson and G. Biroli, Phys. Rev. Lett. 87, 186401 (2001) ) with two sites in the Hubbard model in one dimension V. Kancharla C. Bolech and GK PRB 67, 075110 (2003)][[M. Capone M. Civelli V Kancharla C. Castellani and GK PR B 69, 195105 (2004) ] U/t=4.
Mean-Field Classical vs Quantum case A. Georges, G. Kotliar Phys. Rev. B 45, 6497(1992)
DMFT and the Invar Model A. Lawson et. al. LA UR 04 -6008 (LANL)
A. C. Lawson et. al. LA UR 046008 F(T, V)=Fphonons+F 2 level
Invar model A. C. Lawson et. al. LA UR 04 -6008
Cuprate superconductors and the Hubbard Model. PW Anderson 1987. Connect superconductivity to an RVB Mott insulator. Science 235, 1196 (1987)
RVB phase diagram of the Cuprate Superconductors • P. W. Anderson. Connection between high Tc and Mott physics. Science 235, 1196 (1987) • Connection between the anomalous normal state of a doped Mott insulator and high Tc. • Baskaran Zhou and Anderson Slave boson approach. <b> coherence order parameter. • k, D singlet formation order parameters.
Site Cellular DMFT. C-DMFT. Kotliar, S. Savrasov, G. Palsson and G. Biroli, Phys. Rev. Lett. 87, 186401 (2001) G. . tˆ(K) hopping expressed in the superlattice notations. • Other cluster extensions (DCA Jarrell Krishnamurthy, M Hettler et. al. Phys. Rev. B 58, 7475 (1998)Katsnelson and Lichtenstein periodized scheme, Nested Cluster Schemes , causality issues, O. Parcollet, G. Biroli and GK Phys. Rev. B 69, 205108 (2004)
Cuprate superconductors and the Hubbard Model. PW Anderson 1987
Cuprate superconductors and the Hubbard Model. PW Anderson 1987
Momentum Space Differentiation the high temperature story T/W=1/88
Hole doped case t’=-. 3 t, U=16 t n=. 71. 93. 97 Color scale x=. 37. 15. 13
CDMFT one electron spectra n=. 96 t’/t=. -. 3 U=16 t • i
Experiments. Armitage et. al. PRL (2001). Momentum dependence of the low-energy Photoemission spectra of NCCO
K. M. Shen et. al. Science (2005). For a review Damascelli et. al. RMP (2003)
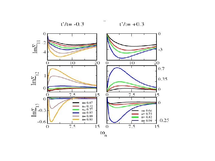
Evolution of the real part of the self energies.
RVB states • G. Baskaran Z. Shou and P. W Anderson Solid State Comm 63, 973 (1987). RVB state with Fermi surface ( 2 d, line of zeros ). • G. Kotliar Phys. Rev. B 37 , 3664 (1998). I Affleck and B. Marston. Phys. Rev. B 37, 3774 (1998). RVB State with four point zeros in 2 d. Two states are related by Su(2) symmetry I Affleck Z. Zhou, T. Hsu P. W. Anderson PRB 38, 745 (1998). o G. Kotliar and J. Liu Phys. Rev. B 38, 5412 (1988). Doping selects the d –wave superconductor as the most favorable RVB state away from half filling. o Parallel development of RVG ideas with variational wave functions. C. Gross R. Joynt and T. M. Rice PRB 36, 381 (1987) F. C. Zhang C. Gros T M Rice and H Shiba Supercond. Scie Tech. 1, 36 (1988).
Comparison with Experiments in Cuprates: Spectral Function A(k, ω→ 0)= -1/π G(k, ω → 0) vs k hole doped K. M. Shen et. al. 2004 2 X 2 CDMFT electron doped P. Armitage et. al. 2001 Civelli et. al. 2004