Exponents exponent Power base 53 means 3 factors
Exponents exponent Power base 53 means 3 factors of 5 or 5 x 5
The Laws of Exponents: #1: Exponential form: The exponent of a power indicates how many times the base multiplies itself. n factors of x
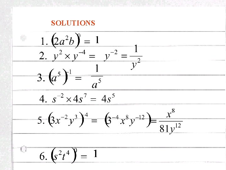
#2: Multiplying Powers: If you are multiplying Powers with the same base, KEEP the BASE & ADD the EXPONENTS! So, I get it! When you multiply Powers, you add the exponents!
#3: Dividing Powers: When dividing Powers with the same base, KEEP the BASE & SUBTRACT the EXPONENTS! So, I get it! When you divide Powers, you subtract the exponents!
Try these:
SOLUTIONS
SOLUTIONS
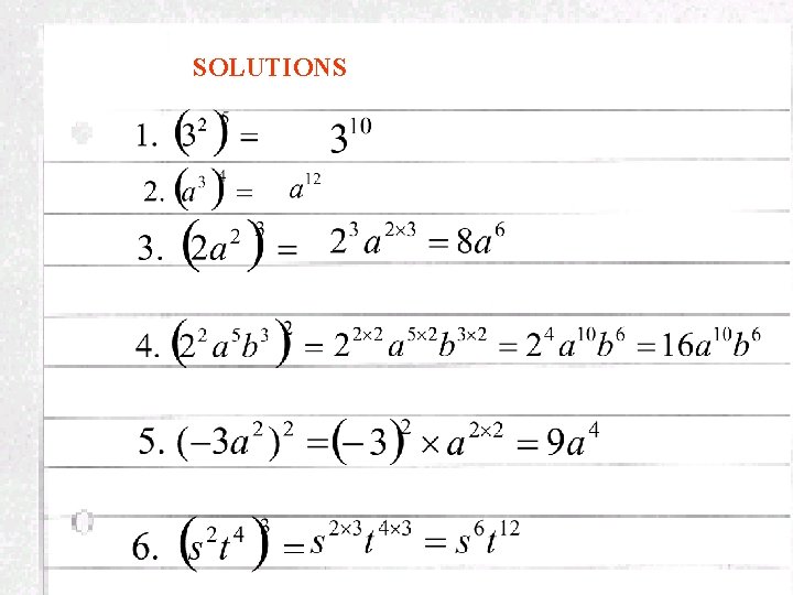
#4: Power of a Power: If you are raising a Power to an exponent, you multiply the exponents! So, when I take a Power to a power, I multiply the exponents
#5: Product Law of Exponents: If the product of the bases is powered by the same exponent, then the result is a multiplication of individual factors of the product, each powered by the given exponent. So, when I take a Power of a Product, I apply the exponent to all factors of the product.
#6: Quotient Law of Exponents: If the quotient of the bases is powered by the same exponent, then the result is both numerator and denominator , each powered by the given exponent. So, when I take a Power of a Quotient, I apply the exponent to all parts of the quotient.
Try these:
SOLUTIONS
SOLUTIONS
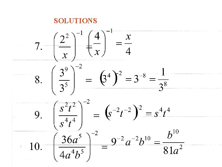
#7: Negative Law of Exponents: If the base is powered by the negative exponent, then the base becomes reciprocal with the positive exponent. So, when I have a Negative Exponent, I switch the base to its reciprocal with a Positive Exponent. Ha Ha! If the base with the negative exponent is in the denominator, it moves to the numerator to lose its negative sign!
#8: Zero Law of Exponents: Any base powered by zero exponent equals one. So zero factors of a base equals 1. That makes sense! Every power has a coefficient of 1.
Try these:
SOLUTIONS
SOLUTIONS
- Slides: 19