ESPALHAMENTO RUTHERFORD RAIO NUCLEAR MASSA NUCLAR PAR METRO

  • Slides: 40
Download presentation

ESPALHAMENTO RUTHERFORD RAIO NUCLEAR MASSA NUCLAR: PAR METRO DE IMPACTO NGULO DE DEFLEXÃO BARREIRA

ESPALHAMENTO RUTHERFORD RAIO NUCLEAR MASSA NUCLAR: PAR METRO DE IMPACTO NGULO DE DEFLEXÃO BARREIRA COULOMBIANA ESPALHAMENTO DE ELETRONS DIFUSIVIDADE ENERGIA DE LIGAÇÃO EXCESSO DE MASSA ENERGIA DE SEPARAÇÃO VALOR “Q” de REAÇÃO MODELO DA GOTA LÍQUIDA CINEMÁTICA DE REAÇÃO - CINEMÁTICA INVERSA

A 1/3 R=ro. A r 0~1. 25 fm A 1 A 2 1/3 R=ro(A

A 1/3 R=ro. A r 0~1. 25 fm A 1 A 2 1/3 R=ro(A 1 +A 2 )

ref : w illi a ms

ref : w illi a ms

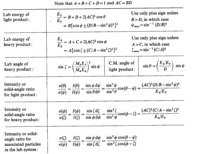
EXERCÍCIO CINEMÁTICA DE REAÇÕES: CALCULAR E 3 , E 4 vs θ E 3

EXERCÍCIO CINEMÁTICA DE REAÇÕES: CALCULAR E 3 , E 4 vs θ E 3 , E 4 vs E 1 Ψ vs χ θ vs φ ou Eout , Eres vs θ

ESPALHAMENTO ELASTICO REAÇÕES DIRETAS ESPALHAMENTO INELASTICO TRANSFERENCIA DE NUCLEONS “KNOCK-OUT” QUEBRA NUCLEAR (”BREAK-UP”) PRÉ-EQUILIBRIO

ESPALHAMENTO ELASTICO REAÇÕES DIRETAS ESPALHAMENTO INELASTICO TRANSFERENCIA DE NUCLEONS “KNOCK-OUT” QUEBRA NUCLEAR (”BREAK-UP”) PRÉ-EQUILIBRIO NUCLEO COMPOSTO FUSÃO COMPLETA FUSÃO INCOMPLETA FISSÃO “STRIPPING” “PICK-UP”

antes depois A A a A A A Reações diretas (rápidas)

antes depois A A a A A A Reações diretas (rápidas)

antes depois A A a A A A Reações diretas (rapidas)

antes depois A A a A A A Reações diretas (rapidas)

antes depois A A a A A A Reações diretas (rapidas)

antes depois A A a A A A Reações diretas (rapidas)

antes depois A A a A A A Reações diretas (rapidas)

antes depois A A a A A A Reações diretas (rapidas)

antes depois Fusão completa A N. C A+a Fusão Incompleta a A N. C´

antes depois Fusão completa A N. C A+a Fusão Incompleta a A N. C´ A+x A N. C A+a F 1 F 2 Processos estatísticos (lentos) via Núcleo Composto (N. C. ) Fissão

antes depois Fusão completa A N. C A+a Fusão Incompleta a A N. C

antes depois Fusão completa A N. C A+a Fusão Incompleta a A N. C A+a Processos estatísticos (lentos) N. C´ A+x A F 1 Fissão F 2

antes depois Fusão completa A N. C A+a Fusão Incompleta a A N. C

antes depois Fusão completa A N. C A+a Fusão Incompleta a A N. C A+a Processos estatísticos (lentos) N. C´ A+x A Fissão F 1 F 2

n =1. 00866 u. m. a. p = 1. 0079 u. m. a. d

n =1. 00866 u. m. a. p = 1. 0079 u. m. a. d = 2. 01410 u. m. a. t = 3. 01860 u. m. a. 4 He = 4. 00260 u. m. a. 6 Li = 6. 01512 u. m. a. 12 C = 0. 00000 u. m. a. ?

(m 12 C) = 12. 0000 u u = mu= (m 12 C) /12

(m 12 C) = 12. 0000 u u = mu= (m 12 C) /12 1 u = 1. 66056 x 10 -24 g => muc 2 = 931. 50 Me. V/c 2 Z+N = A m (Z, N) = Zm. H + Nmn - B(Z, N)/c 2 B(Z, N) = [ Zm. H + Nmn – m(Z, N)] c 2 B(Z, N) = [ Δm ] c 2

Excesso de massa (mass excess) Δ (Me. V) ΔA (Me. V) = ( m.

Excesso de massa (mass excess) Δ (Me. V) ΔA (Me. V) = ( m. A – A )u. c 2 Δ (12 C) = 0 dada a reação: A(B, C)D A (ZA, NA) + B (ZB, NB) → C (ZC, NC) + D (ZD, ND) Definimos o valor de “Q” de uma reação (MA+ MB) = (MC+ MD) + Q(A+B →C+D) Q(A+B → C+D) = (BC+ BD) - (BA+ BB) Q(A+B → C+D) = (ΔC+ ΔD) - (ΔA+ ΔB)