esk vysok uen technick v Praze Fakulta stavebn
České vysoké učení technické v Praze Fakulta stavební ZRCADLO Miloš Hüttner
Zadání úkolu „Jsou dány dva body v rovině. Určete tvar zrcadla, aby se všechny paprsky vycházejícího z jednoho bodu odrazily od zrcadla do druhého bodu. “
Geometrie y [xo; f(xo)] f´(x) f(x) M [-a; 0] 0 x N [a; 0]
Základní vztahy y α 1 α 2 x Musí platit: α 1 = α 2 => cos α 1 = cos α 2
skalární součin vektorů r 1 a n velikost vektoru r 1 velikost vektoru n skalární součin vektorů r 2 a n velikost vektoru r 2 velikost vektoru n
Uvědomme si, že předchozí vztah musí platit pro každé xo a f(xo) Tedy:
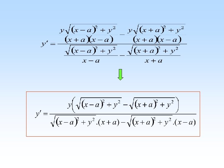
Postupně upravíme
U tohoto výrazu se zastavme Jak dále? ? ? ANALYTICKÁ CESTA NUMERICKÁ CESTA
Numerická cesta Dále tedy upravíme
Runge-Kuttova metoda 4. řádu Předpis: Kde:
Runge-Kuttova metoda 4. řádu Zvolené počáteční podmínky: a=2 xo = 0 yo= 2 Dostaneme Hodnoty vyneseme do grafu h = 0, 15
Přibližný tvar zrcadla
Mohlo by se jednat o elipsu. Nutno dokázat ANALYTICKÁ CESTA
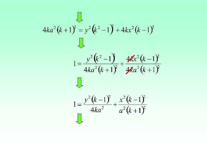
Analytická cesta Co s tím? substituce
Platí: Dosadíme
Dostaneme tuto rovnici Musíme vyřešit Řešení uvedeno na str. 4
Odstraníme logaritmy
Provedeme sérii úprav:
Výsledkem je: rovnice ELIPSY!!! Druhé mocniny velikostí os Velikosti os jsou tedy: KTERÁ JE HLAVNÍ A KTERÁ VEDLEJŠÍ?
Vyšetřeme nerovnost Platí vždy Velikost hlavní osy Velikost vedlejší osy
Velikost excentricity = = = = Velikostí excentricity je vždy vzdálenost a, z toho vyplývá, že OHNISKY elipsy jsou vždy výchozí body M a N!!!
Tvar elips k se blíží 1 M k se blíží N
Shrnutí • Zrcadlo má tvar elipsy. • Velikost excentricita je vždy a. • Ohnisky jsou vždy výchozí body M a N • Proporce elipsy jsou závislé na koeficentu k a vzdálenosti výchozích bodů a.
Použitá literatura [1] Oficiální tahák MA 2, ČVUT fakulta stavební http: //mat. fsv. cvut. cz/BAKALARI/MA 2 SItahak. pdf [2] Přednášky MA 2, Doc. RNDr. Aleš Nekvinda, CSc. http: //mat. fsv. cvut. cz/nales/prednasky 2/kniha. pdf
Poděkování Doc. RNDr. Aleši Nekvindovi, CSc. RNDr. Ivaně Pultarové, Ph. D. a všem ostatním, kteří mi s prací pomáhali…
Děkuji za pozornost Miloš Hüttner
- Slides: 30