Equivalent Composite Exact Trig Solving Functions Angles Ratios

  • Slides: 51
Download presentation
Equivalent Composite Exact Trig Solving Functions Angles Ratios Identities Equations 100 100 100 200

Equivalent Composite Exact Trig Solving Functions Angles Ratios Identities Equations 100 100 100 200 200 200 300 300 300 400 400 400 500 500 500

What angle relates sine and cosine? ie: fill in the blank

What angle relates sine and cosine? ie: fill in the blank

Use the parity of cosine to provide an equivalent expression for the following:

Use the parity of cosine to provide an equivalent expression for the following:

Because cosine is an even function

Because cosine is an even function

Write an expression equivalent to in terms of sine

Write an expression equivalent to in terms of sine

True or False?

True or False?

True

True

True or False?

True or False?

True

True

Write the following as a sum or difference of two special angles:

Write the following as a sum or difference of two special angles:

Write the following as a sum or difference of two special angles:

Write the following as a sum or difference of two special angles:

or

or

Write the following as a sum or difference of two special angles:

Write the following as a sum or difference of two special angles:

or

or

Write the following as a sum or difference of two special angles:

Write the following as a sum or difference of two special angles:

Write the following as a sum or difference of two special angles:

Write the following as a sum or difference of two special angles:

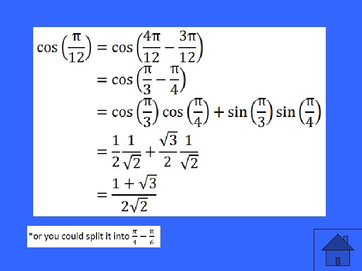
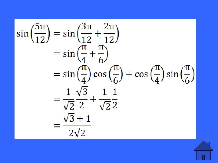
Evaluate the following without using a calculator:

Evaluate the following without using a calculator:

Evaluate the following without using a calculator:

Evaluate the following without using a calculator:

Evaluate the following without using a calculator:

Evaluate the following without using a calculator:

Evaluate the following without using a calculator:

Evaluate the following without using a calculator:

Evaluate the following without using a calculator:

Evaluate the following without using a calculator:

Find a counter example to prove that the following is NOT an identity:

Find a counter example to prove that the following is NOT an identity:

MANY answers!

MANY answers!

Prove the following identity:

Prove the following identity:

Prove the following identity:

Prove the following identity:

Prove the following identity:

Prove the following identity:

Prove the following identity:

Prove the following identity:

Solve the following equation for

Solve the following equation for

Solve the following equation for

Solve the following equation for

OR

OR

Solve the following equation for

Solve the following equation for

OR

OR

Solve the following equation for

Solve the following equation for

Solve the following equation for

Solve the following equation for

OR

OR