Equilibrium Law the Equilibrium Constant Equilibrium Law Equilibrium
Equilibrium Law & the Equilibrium Constant
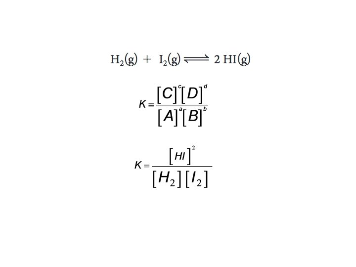
Equilibrium Law • Equilibrium law – the mathematical description of a chemical system at equilibrium • a. A + b. B ⇌ c. C + d. D • Equilibrium constant (K) – a constant numerical value defining the equilibrium law for a given system (units are typically not reported for this constant)
Remember: for this K no units are needed!
K varies with temperature
Write the equilibrium law equation
Equilibrium law equation: At 500 °C What is K?
Equilibrium constants forward and reverse reactions are reciprocally related At 500 °C K = 6. 49 x 10 -2 K = 15. 4 = 1/6. 49 x 10 -2
The relationship between equilibrium constant and reaction rate Consider the following reaction at equilibrium Assume the reaction is composed of elementary steps. Then we Can use our understanding of rate laws to write:
At equilibrium the forward and reverse reaction rates are equal Notice that this relationship is the same one you would derive From the equilibrium law if the coefficients are all 1: Caution – This only works if the reaction is an elementary process!!!
Heterogeneous Equilibria • The equilibria to this point have been homogenous systems (gas and solution) • Homogeneous equilibrium – a chemical equilibrium in which all reactants and products are in the same state of matter • Heterogeneous equilibrium – a chemical equilibrium in which the reactants and products are present in at least two different states (eg gas and solid)
The quantity of pure materials is irrelevant since their concentration cannot change! -The only concentration that changes over the course of The reaction is that of CO 2 gas.
Instead of writing: We can write: Since C 1 and C 2 are constants they can be included in K resulting in an equilibrium equation of:
If pure solids or liquids are involved in a chemical equilibrium system, their concentrations are not included in the equilibrium law equation for the reaction system
Using the magnitude of the equilibrium constant to predict the direction of a reaction At 25 °C At equilibrium the reaction lies far to the right with high Concentration of CO 2
At equilibrium the products and reactants are roughly equal in concentration (K ~ 1)
At equilibrium the reaction lies far to the left. The smaller the K value the higher the concentration of reactants.
- Slides: 18