Equazioni di secondo grado come si risolvono Questa



































- Slides: 35
Equazioni di secondo grado: come si risolvono? Questa presentazione contiene le didascalie prodotte dalla grande SECONDA A del Pertini nel lontano febbraio 2013
Equazioni pure 1 Sono equazioni che contengono un termine noto e un termine di secondo grado. Rispetto a un polinomio ordinato e completo manca il termine di primo grado
Equazioni pure 2 Per risolvere queste equazioni per prima cosa spostiamo il termine noto al secondo membro
Equazioni pure 3 Quindi cerchiamo di eliminare il coefficiente del termine di secondo grado dividendo entrambi i membri per quel coefficiente
Equazioni pure 4 Semplifichiamo e otteniamo il valore di x alla seconda. Ma noi, in verità, stiamo cercando il valore di x
Equazioni pure 5 E per trovarlo estraiamo la radice quadrata di entrambi i membri
Equazioni pure 6
Impossibile Da questo esempio risulta che per trovare le soluzioni è necessario che a e c siano discordi
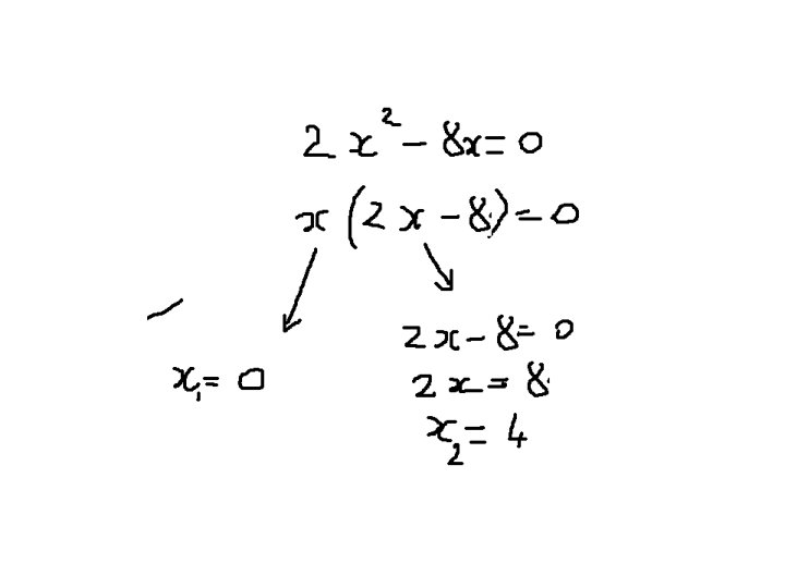
Equazioni spurie 1 Queste equazioni di secondo grado sono caratterizzate dalla presenza di un termine di secondo grado e un termine di primo grado. Manca quindi il termine noto
Equazioni spurie 2
Equazioni spurie 3
Equazioni spurie 4
Equazioni spurie 5
Equazioni spurie 6
Equazioni spurie 7
Equazioni spurie 8
Equazioni complete 1 Queste equazioni contengono tutti e tre i termini: quello di secondo grado, quello di primo grado e il termine noto. Vediamo come risolverle. Potrebbe essere utile cercare di produrre il quadrato di un binomio
Equazioni complete 2 Abbiamo moltiplicato entrambi i membri per “a”(operazione lecita per il secondo principio di equivalenza delle equazioni e che ci permette di ottenere un quadrato perfetto)
Equazioni complete 3 Abbiamo applicato la proprietà distributiva del prodotto ed ecco che abbiamo il quadrato cercato
Equazioni complete 4 Moltiplichiamo tutto per 2 in modo tale da avere un doppio prodotto
Equazioni complete 5 Abbiamo moltiplicato tutto per 2 e abbiamo ottenuto il doppio prodotto che volevamo, ma abbiamo perso il quadrato
Equazioni complete 6 Moltiplichiamo di nuovo per due per riottenere il quadrato pur mantenendo il doppio prodotto
Equazioni complete 7 Qui abbiamo solo applicato la distributiva che mostra che abbiamo ottenuto quello che volevamo
Equazioni complete 8 Abbiamo aggiunto e tolto b alla seconda per ottenere il secondo quadrato (che funziona con il doppio prodotto dato) senza cambiare il valore del polinomio
Equazioni complete 9 Abbiamo associato i termini che consentono di individuare un quadrato di binomio
Equazioni complete 10 Abbiamo scomposto il quadrato di binomio che avevamo faticosamente costruito
Equazioni complete 11 Abbiamo trasportato al secondo membro i termini fuori dal quadrato
Equazioni complete 12 Abbiamo estratto la radice quadrata ad entrambi i membri. Del primo membro conoscevamo la base ma del secondo conoscevamo solo il quadrato, quindi abbiamo messo i segni più e meno davanti alla radice perché entrambi i radicali sono basi del quadrato dato
Equazioni complete 13 Abbiamo spostato il termine noto dal primo membro al secondo cambiandolo di segno
Equazioni complete 14 Abbiamo diviso entrambi i membri per il coefficiente della x
Equazioni complete 15 Ecco la formula che cercavamo! Eureka!
Equazioni complete 16 Abbiamo separato le due soluzioni
Equazioni complete 17 Secondo te: • Cosa succede se sotto radice risulta un numero negativo? Beatrice dice che non si può. Qualcuno la pensa in modo diverso?
NO!