Environmental and Exploration Geophysics I Gravity Methods I





























































- Slides: 61
Environmental and Exploration Geophysics I Gravity Methods I tom. h. wilson@geo. wvu. edu Department of Geology and Geography West Virginia University Morgantown, WV
Gravity Passive source La. Coste Romberg Gravimeter Worden Gravimeter
x spring extension ms spring mass k Young’s modulus g acceleration due to gravity Colorado School of Mines web sites - Mass and spring Pendulum measurement
Newton’s Universal Law of Gravitation m 1 r 12 Force of gravity G Gravitational Constant m 2 Newton. org
ms spring mass m. E mass of the earth RE radius of the earth g. E represents the acceleration of gravity at a particular point on the earth’s surface. The variation of g across the earth’s surface provides information about the distribution of density contrasts in the subsurface since m = V (i. e. density x volume). Like apparent conductivity and resistivity g, the acceleration of gravity, is a basic physical property we measure, and from which, we infer the distribution of subsurface density contrast.
Units Most of us are familiar with the units of g as feet/sec 2 or meters/sec 2, etc. From Newton’s law of gravity g also has units of
Using the metric system, we usually think of g as being 9. 8 meters/sec 2. This is an easy number to recall. If, however, we were on the Martian moon Phobos, gp is only about 0. 0056 meters/sec 2. [m/sec 2] might not be the most useful units to use on Phobos. We experience similar problems in geological applications, because changes of g associated with subsurface density contrasts can be quite small. Some unit names you will hear when gravity applications are discussed include 9. 8 m/sec 2 980 Gals (or cm/sec 2) 980000 milligals (i. e. 1000 th of a Gal)
If you were to fall from a height of 100 meters on Phobos, you would hit the ground in a. 10 seconds b. 1 minute c. 3 minutes You would hit the ground with a velocity of a. 1 m/s b. 5 m/s c. 30 m/s How long would it take you to accelerate to that velocity on earth? a. 10 seconds b. 1 second c. 1/10 th of a second
1 milligal = 10 microns/sec 2 1 milligal equals 10 -5 m/sec 2 or conversely 1 m/sec 2 = 105 milligals. The gravity on Phobos is 0. 0056 m/s 2 or 560 milligals. Are such small accelerations worth contemplating? Can they even be measured?
Calculated and observed gravitational accelerations are plotted across a major structure in the Valley and Ridge Province, Note that the variations in g that we see associated with these large scale structures produce small but detectable anomalies that range in scale from approximately 1 - 5 milligals.
We usually think of the acceleration due to gravity as being a constant - 9. 8 m/s 2 - but as the forgoing figure suggests, this is not the case. Variations in g can be quite extreme. For example, compare the gravitational acceleration at the poles and equator. The earth is an oblate spheroid - that is, its equatorial radius is greater than its polar radius. Rp = 6356. 75 km RE= 6378. 14 km 21. 4 km difference
Rp = 6356. 75 km RE= 6378. 14 km Substitute for the different values of R g. P=9. 83218 m/s 2 g. E=9. 780319 m/s 2 This is a difference of 5186 milligals. If you weighed 200 lbs at the poles you would weigh about 1 pound less (199 lbs) at the equator.
Significant gravitational effects are also associated with earth’s topographic features. R. J. Lillie, 1999
Diameter 12, 756 km 78 x 106 km Diameter 6794 km
Isostatic compensation and density distributions in the earth’s crust R. J. Lillie, 1999
Does water flow downhill?
The notion of downhill is associated with a surface along which the gravitational potential decreases
The geoid is a surface of constant gravitational potential. The gradient of the potential is perpendicular to the surface. Thus gravitational acceleration is always normal to the equipotential surface.
Geoid height anomalies 140 meters uphill Contours are in meters
On a more local scale, consider the ocean surface. . .
Map of the ocean floor obtained from satellite radar observations of ocean surface topography.
Detailed map of a triple-junction on the floor of the Indian Ocean derived from ocean surface topography
In the environmental applications of gravity methods anomalies smaller than a milligal can be of interest to the geophysicist. A modern gravimeter is capable of measuring gravity to an accuracy of about 100 th of a milligal or better. We’ll spend considerable time discussing the applications of gravity data in groundwater exploration. An example of this application is discussed in Stewart’s paper on the use of gravity methods for mapping out buried glacial Valleys in Wisconsin - so read over this paper as soon as you can.
Residual gravity data Form Stewart Bedrock models derived from gravity data
The anomaly shown here is only 1/2 milligal
These variations in gravitational acceleration are very small. To give you some additional perspective on the magnitude of these changes, consider the changes in g as a function of r (or RE) as indicated by Newton’s law of gravity - Recognize that the above equation quantifies the variation in g as a function of r for objects that can effectively be considered as points. For now, let’s take a leap of faith and assume that we can represent the Earth as a point and that the above equation accurately describes the variations in g as a function of distance from the center of the earth, RE.
Given this relationship - h RE sl=sea level What is g at a distance RE+h from the center of the earth?
Is there another way to compute the change in g
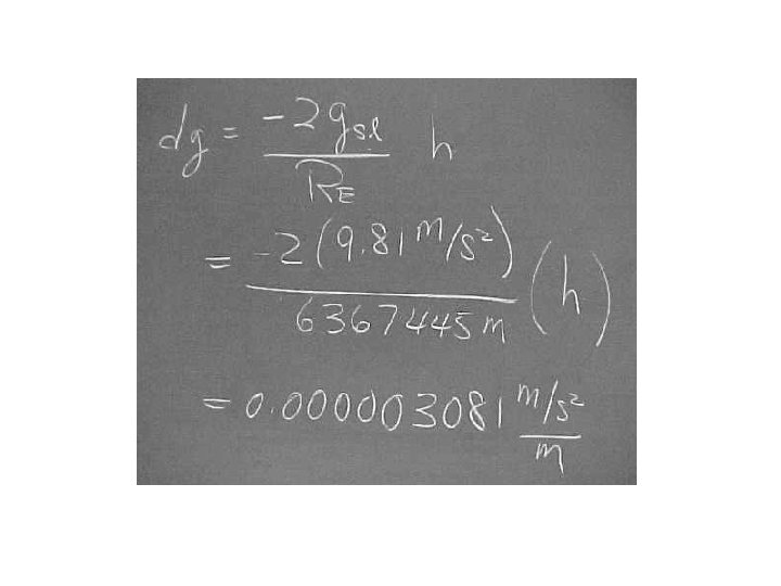
What is the derivative of g with respect to R?
At Morgantown latitudes, the variation of g with elevation is approximately 0. 3086 milligals/m or approximately 0. 09406 milligals/foot. As you might expect, knowing and correcting for elevation differences between gravity observation points is critical to the interpretation and modeling of gravity data. The anomalies associated with the karst collapse feature were of the order of 1/2 milligal so an error in elevation of 2 meters would yield a difference in g greater than that associated with the density contrasts around the collapsed area.
Just as a footnote, Newton had to develop the mathematical methods of calculus to show that spherically symmetrical objects gravitate as though all their mass is concentrated at their center. This is not something you would have discussed in Physics 1, but if you took Physics 11 (calculus based physics) you probably went over Newton’s derivation.
Although we won’t take the time to go over Newton’s derivation let’s consider the more general formulation of Newton’s law of gravitation. In this form, we restrict ourselves to the acceleration and consider any mass (m) in general and the distances (r) from some observation point to individual masses. 47
Let’s start with the formulation of gravitational accelerations associated with point and point distributions and work our way to a general characterization of objects with arbitrary shape and size.
G G
G
Let’s come back to our simplest case - the gravitational attraction of a buried spherically symmetrical object.
What is the vertical component?
If the earth were this simple our study would be complete.
In general the objects we are interested in are not so symmetrical How thick is the landfill?
How does g vary from A to E?
One thing that varies is the elevation at which our observations are made. At this point we can represent the earth only as a point and are also able to compute variations in g as a function of elevation or distance from the center of the earth. We’re well on our way to conceptualizing the computations needed to understand evaluate geological problems using measured gravitational fields. .
The distribution of mass at the earth’s surface provides additional problems for us to consider. • How do we compensate for the influence of matter between the observation point (A) and sea level? • How do we compensate for the irregularities in the earth’s surface - its topography?
What other effects do we need to consider? Latitude effect Centrifugal acceleration 463 meters/sec ~1000 mph
Solar and Lunar tides Instrument drift
We’ll carry on this discussion in greater detail next time. Make sure you continue reading chapter 2 in Reynolds We’ll go over some of the basic ideas associated with the plate correction and the topographic (or terrain) correction. The basis for these two corrections are associated with the gravitational acceleration produced by a plate of finite thickness but infinite horizontal extent and by individual sectors from a ring of given thickness and width.
Some problems to consider 1. Given that G=6. 672 x 10 -11 m 2 kg-1 s-2, that g = 9. 8 m/s 2, and that the radius of the earth is 6366 km, calculate the mass of the earth. 2. At birth assume that you were delivered by an obstetrician with a mass of 75 kg, and that the obstetrician’s center of mass was 0. 5 meters from yours. Also assume that at that very point in time, Mars was closest to the earth or about 78 x 106 km from your center of mass. The mass of Mars is approximately 6. 42 x 1023 kg. Determine the acceleration due to the gravitational field of the obstetrician and for Mars. Which was greater?