Entanglement thermodynamics area Ram Brustein Series of papers
Entanglement, thermodynamics & area Ram Brustein גוריון - אוניברסיטת בן Series of papers with Amos Yarom, BGU (also David Oaknin, UBC) hep-th/0302186 + to appear ¯ Entanglement & area thermodynamics of Rindler space ¯ Entanglement & area ¯ Entanglement & dimensional reduction (holography) sorry, not today!
Thermodynamics, Area, Holography • Black Holes Bekenstein, Hawking • Entropy Bounds – BEB Bekenstein – Holographic Fichler & Susskind, Bousso – Causal Brustein & Veneziano • Holographic principle: ‘thooft, Susskind Boundary theory with a limited #DOF/planck area
Rindler space
Lines of constant x constant acceleration Addition of velocities in SR horizon proper acceleration
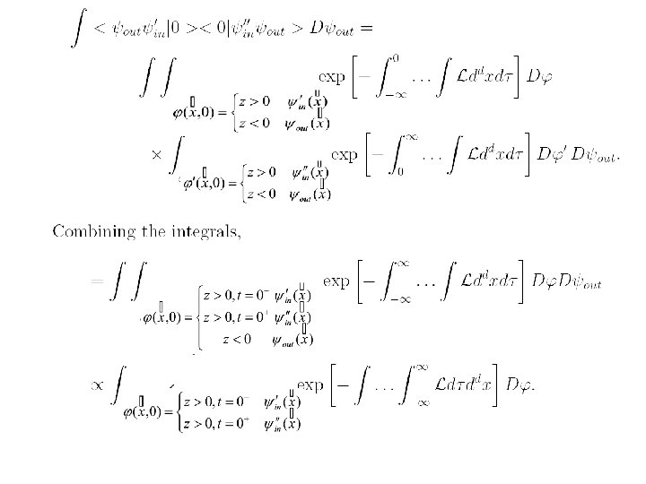
Minkowski vacuum is a TFD Rindler thermal state out = z < 0 (Unruh effect) Compare two expressions for rin (by writing them as a PI) 1. 2. in = z > 0
1. In general:
Result out in
2. Heff – generator of time translations Time slicing the interval [0, b 0]:
Guess: result
Results If Then 1. The boundary conditions are the same 2. The actions are equal 3. The measures are equal
For half space Heff=HRindler , HRindler= boost out in
Rindler area thermodynamics Susskind Uglum Callan Wilczek Kabat Strassler De Alwis Ohta Emparan …
Go to “optical” space Compute using heat kernel method High temperature approximation In 4 D: Volume of optical space
Compute: Euclidean Rindler Optical metric In 4 D
S, T unitary S S M
1 M M o M M S S
Entanglement, thermodynamics & area Ram Brustein גוריון - אוניברסיטת בן Series of papers with Amos Yarom, BGU (also David Oaknin, UBC) hep-th/0302186 + to appear ¯ Entanglement & area thermodynamics of Rindler space ¯ Entanglement & area ¯ Entanglement & dimensional reduction (holography) sorry, not today!
For half space Heff=HRindler , HRindler= boost out in
V 2 (DE ) • System in an energy eigenstate energy does not fluctuate • Energy of a sub-system fluctuates “Entanglement energy” fluctuations Connect to Rindler thermodynamics
For free fields E V=
For a massless field X Vanishes for the whole space! Geometry F(x) Operator
F(x) = UV cutoff!! In this example Exp(-p/L) F(x)
For half space
Rindler specific heat @ h=0
E+ = … contributions from the near horizon region
Other shapes t y z Heff complicated, time dependent, no simple thermodynamics, area dependence o. k. For area thermodynamics need – Thermofield double
Entanglement and area |0> is not necessarily an eigenstate of |0> is an entnangled state w. r. t. V Show: Non-extensive!, depends on boundary (similar to entanglement entropy)
Proof:
Show that R is the radius of the smallest sphere containing V is linear in boundary area
Need to evaluate üIa ka üGeneral cutoff Numerical factors depend on regularization
(DEV)2 for a d-dimensional sphere V F(x) DV(x)=
Kd K 27 =
Fluctuations live on the boundary V 2 V 1 V 2 Covariance V 1 V 3 V 1
The “flower” Increasing m DE Circles 5 < R < 75 R=40, d. R=4, J R=20, d. R=2, J R=10, d. R=1, J
Boundary theory ? Express as a double derivative and convert to a boundary expression This is possible iff which is generally true for operators of interest
di+dj = 2 logarithmic di+dj = d d-function
Boundary* correlation functions Show (massless free field, V half space, large # of fields N)
First, n-point functions of single fields
Then, show that in the large N limit equality holds for all correlation functions Only contribution in leading order in N comes from
Summary ¯ Entanglement & area thermodynamics of Rindler space ¯ Entanglement & area ¯ Entanglement & dimensional reduction
- Slides: 46