Electrodynamics of Superconductors exposed to high frequency fields




































- Slides: 36
Electrodynamics of Superconductors exposed to high frequency fields Ernst Helmut Brandt Max Planck Institute for Metals Research, Stuttgart • Superconductivity • Radio frequency response of ideal superconductors two-fluid model, microscopic theory • Abrikosov vortices • Dissipation by moving vortices • Penetration of vortices "Thin films applied to Superconducting RF: Pushing the limits of RF Superconductivity" Legnaro National Laboratories of the ISTITUTO NAZIONALE DI FISICA NUCLEARE in Legnaro (Padova) ITALY, October 9 -12, 2006
Superconductivity Tc → Zero DC resistivity Kamerlingh-Onnes 1911 Nobel prize 1913 Perfect diamagnetism Meissner 1933
Discovery of superconductors Bi 2 Sr 2 Ca. Cu 2 O 8 YBa 2 Cu 3 O 7 -δ 39 K Jan 2001 Mg. B 2 Liquid He 4. 2 K →
Radio frequency response of superconductors DC currents in superconductors are loss-free (if no vortices have penetrated), but AC currents have losses ~ ω2 since the acceleration of Cooper pairs generates an electric field E ~ ω that moves the normal electrons (= excitations, quasiparticles). 1. Two-Fluid Model ( M. Tinkham, Superconductivity, 1996, p. 37 ) Eq. of motion for both normal and superconducting electrons: total current density: super currents: normal currents: complex conductivity:
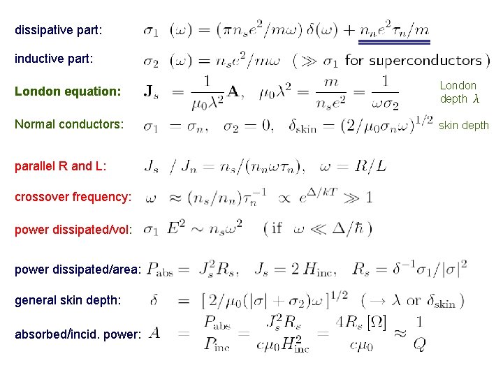
dissipative part: inductive part: London equation: London depth λ Normal conductors: skin depth parallel R and L: crossover frequency: power dissipated/vol: power dissipated/area: general skin depth: absorbed/incid. power:
2. Microscopic theory ( Abrikosov, Gorkov, Khalatnikov 1959 Mattis, Bardeen 1958; Kulik 1998 ) Dissipative part: Inductive part: Quality factor: When purity incr. , l↑, σ1↑ but λ↓ For computation of strong coupling + pure superconductors (bulk Nb) see R. Brinkmann, K. Scharnberg et al. , TESLA-Report 200 -07, March 2000: Nb at 2 K: Rs= 20 nΩ at 1. 3 GHz, ≈ 1 μΩ at 100 - 600 GHz, but sharp step to 15 mΩ at f = 2Δ/h = 750 GHz (pair breaking), above this Rs ≈ 15 mΩ ≈ const
Vortices: Phenomenological Theories 1911 Superconductivity discovered in Leiden by Kamerlingh-Onnes 1957 Microscopic explanation by Bardeen, Cooper, Schrieffer: BCS 1935 Phenomenological theory by Fritz + Heinz London: London equation: λ = London penetration depth 1952 Ginzburg-Landau theory: ξ = supercond. coherence length, 1953 ψ = GL function ~ gap ! function GL parameter: Type-I scs: Type-II scs: κ = λ(T) / ξ(T) ~ const κ ≤ 0. 71, NS-wall energy > 0 κ ≥ 0. 71, NS-wall energy < 0: unstable !
1957 Abrikosov finds solution ψ(x, y) with periodic zeros = lattice 1958 of vortices (flux lines, fluxons) with quantized magnetic flux: flux quantum Φo = h / 2 e = 2*10 -15 T m 2 Nobel prize in physics 2003 to V. L. Ginzburg and A. A. Abrikosov for this magnetic field lines flux lines currents
1957 Abrikosov finds solution ψ(x, y) with periodic zeros = lattice 1958 of vortices (flux lines, fluxons) with quantized magnetic flux: flux quantum Φo = h / 2 e = 2*10 -15 T m 2 Nobel prize in physics 2003 to V. L. Ginzburg and A. A. Abrikosov for this Abrikosov 28 Sept 2003
Physics Nobel Prize 2003 Landau Alexei Abrikosov Vitalii Ginzburg Anthony Leggett
10 Dec 2003 Stockholm Princess Madeleine Alexei Abrikosov
Decoration of flux-line lattice U. Essmann, H. Träuble 1968 MPI MF Nb, T = 4 K disk 1 mm thick, 4 mm ø Ba= 985 G, a =170 nm electron microscope D. Bishop, P. Gammel 1987 AT&T Bell Labs YBCO, T = 77 K Ba = 20 G, a = 1200 nm similar: L. Ya. Vinnikov, ISSP Moscow G. J. Dolan, IBM NY
Isolated vortex (B = 0) Vortex lattice: B = B 0 and 4 B 0 vortex spacing: a = 4λ and 2λ Bulk superconductor Ginzburg-Landau theory EHB, PRL 78, 2208 (1997) Abrikosov solution near Bc 2: stream lines = contours of |ψ|2 and B
c 66 -M BC 1 BC 2 Magnetization curves of Type-II superconductors Shear modulus c 66(B, κ ) of triangular vortex lattice Ginzburg-Landau theory EHB, PRL 78, 2208 (1997)
bulk vac sc Isolated vortex in film London theory Carneiro+EHB, PRB (2000) Vortex lattice in film Ginzburg-Landau theory EHB, PRB 71, 14521 (2005) film
Magnetic field lines in films of thicknesses d / λ = 4, 2, 1, 0. 5 for B/Bc 2=0. 04, κ=1. 4 4λ λ 2λ λ/2
Pinning of flux lines Types of pins: ● preciptates: Ti in Nb. Ti → best sc wires ● point defects, dislocations, grain boundaries ● YBa 2 Cu 3 O 7 - δ: twin boundaries, Cu. O 2 layers, oxygen vacancies Experiment: ● critical current density jc = max. loss-free j ● irreversible magnetization curves ● ac resistivity and susceptibility -M Theory: ● summation of random pinning forces → maximum volume pinning force jc. B ● thermally activated depinning ● electromagnetic response ● ● pin ● ● ● ● ● → ● ● ● FL ● ● ● ● Lorentz force B х j → width ~ jc H Hc 2
20 Jan 1989 magnetization force
Levitation of YBCO superconductor above and below magnets at 77 K Levitation 5 cm YBCO Fe. Nd magnets Suspension
Importance of geometry Ba j Bean model Ba parallel geometry long cylinder or slab B r jc Bean model perpendicular geometry thin disk or strip B J analytical solution: Mikheenko + Kuzovlev 1993: disk EHB+Indenbom+Forkl 1993: strip j j r J Ba r r Jc r J B Ba Ba r
B a, y Example sc as nonlinear conductor J Ba J approx. : B=μ 0 H, Hc 1=0 z x Long bar A ║J║E║z r Thick disk A ║J║E║φ -M Ba invert matrix! equation of motion for current density: EHB, PRB (1996) integrate over time
Flux penetration into disk in increasing field Ba ideal screening Meissner state + field- and current-free core + _ 0 + _ _
Same disk in decreasing magnetic field Ba no more flux- and current-free zone _ + _ remanent state Ba=0 + _ + Ba _ + _ +
to scale d/2 w = 1/25 θ = 45° tail Ha +0_ tail stretched along z tail + 0 Bean critical state of thin sc strip in oblique mag. field 3 scenarios of increasing Hax, Haz Mikitik, EHB, Indenbom, PRB 70, 14520 (2004) _ _ +
Thin sc rectangle in perpendicular field stream lines of current contours of mag. induction ideal Meissner state B = 0 B=0 | J | = const Bean state Theory EHB PRB 1995 YBCO film 0. 8 μm, 50 K increasing field Magneto-optics Indenbom + Schuster 1995
Thin films and platelets in perp. mag. field, SQUIDs EHB, PRB 2005 Λ=λ 2/d 2 D penetr. depth
Vortex pair in thin films with slit and hole current stream lines
Dissipation by moving vortices (Free flux flow. Hall effect and pinning disregarded) Lorentz force on vortex: Lorentz force density: Vortex velocity: Induced electric field: Flux-flow resistivity: Is comparable to normal resistvity → dissipation is very large ! B+S Where does dissipation come from? Exper. and L+O 1. Electric field induced by vortex motion inside and outside the normal core Bardeen + Stephen, PR 140, A 1197 (1965) 2. Relaxation of order parameter near vortex core in motion, time Tinkham, PRL 13, 804 (1964) ( both terms are ~ equal ) 3. Computation from time-dep. GL theory: Hu + Thompson, PRB 6, 110 (1972) Bc 2 B
Note: Vortex motion is crucial for dissipation. Rigidly pinned vortices do not dissipate energy. However, elastically pinned vortices in a RF field can oscillate: Force balance on vortex: Lorentz force J x BRF (u = vortex displacement. At frequencies the viscose drag force dominates, pinning becomes negligible, and dissipation occurs. Gittleman and Rosenblum, PRL 16, 734 (1968) E |Ψ|2 v order parameter v x moving vortex core relaxing order parameter
Penetration of vortices, Ginzburg-Landau Theory Lower critical field: Thermodyn. critical field: Upper critical field: Good fit to numerics: Vortex magnetic field: Modified Bessel fct: Vortex core radius: Vortex self energy: Vortex interaction:
Penetration of first vortex 1. Vortex parallel to planar surface: Bean + Livingston, PRL 12, 14 (1964) Interaction with field Ba Interaction with image G(∞) Gibbs free energy of one vortex in supercond. half space in applied field Ba Penetration field: Hc 1 Hc This holds for large κ. For small κ < 2 numerics is needed. numerics required!
2. Vortex half-loop penetrates: superconductor vacuum Self energy: Ha Interaction with Ha: R Surface current: image vortex Penetration field: vortex half loop 3. Penetration at corners: Ha Self energy: vacuum Interaction with Ha: Surface current: R for 90 o sc Penetration field: 4. Similar: Rough surface, Hp << Hc Ha vortices
Ha y/a Bar 2 a X 2 a in perpendicular Ha tilted by 45 o large j(, y) log j(x, y) y/a Field lines near corner λ = a / 10 x/a current density j(x, y) λ y/a x/a
5. Ideal diamagnet, corner with angle α : Ha Near corner of angle α the magnetic field vacuum r β, sc diverges as H ~ 1/ β = (π – α)/(2π - α) Magnetic field H at the equator of: cylinder H ~ 1/ r 1/3 α α=π H/Ha = 2 sphere r H ~ 1/ r 1/2 H/Ha = 3 α=0 H/Ha = a/b Ha ellipsoid b rectangle a b << a (strip or disk) 2 b 2 a H/Ha ≈ (a/b)1/2 b << a Large thin film in tilted mag. field: perpendicular component penetrates in form of a vortex lattice
Irreversible magnetization of pin-free superconductors due to geometrical edge barrier for flux penetration b/a=2 Magn. curves of pin-free disks + cylinders flux-free core b/a=0. 3 b/a=2 ellipsoid is reversible! flux-free zone b/a=0. 3 Magnetic field lines in pin-free superconducting slab and strip EHB, PRB 60, 11939 (1999)
Summary • Two-fluid model qualitatively explains RF losses in ideal superconductors • BCS theory shows that „normal electrons“ means „excitations = quasiparticles“ • Their concentration and thus the losses are very small at low T • Extremely pure Nb is not optimal, since dissipation ~ σ1 ~ l increases • If the sc contains vortices, the vortices move and dissipate very much energy, almost as if normal conducting, but reduced by a factor B/Bc 2 ≤ 1 • Into sc with planar surface, vortices penetrate via a barrier at Hp ≈ Hc > Hc 1 • But at sharp corners vortices penetrate much more easily, at Hp << Hc 1 • Vortex nucleation occurs in an extremely short time, • More in discussion sessions ( 2Δ/h = 750 MHz )