Electrode kinetics and mass transport Plan 1 Electrode

  • Slides: 21
Download presentation
Electrode kinetics and mass transport Plan 1. Electrode reaction as a series of multiple

Electrode kinetics and mass transport Plan 1. Electrode reaction as a series of multiple consecutive steps 2. Mass transport phenomena: - diffusion - convection - migration 3. Reactions controlled by charge transfer step - Butler – Volmer equation and Tafel plot 4. Reactions controlled by mixed charge transfer-mass transfer step - Butler – Volmer equation with correction for mass transport 5. Electrical circuits for: - ideally polarized electrode - non-polarized electrode - equilibrium potential - mixed potential

1. Electrode reaction as a series of multiple consecutive steps A charge transfer reaction

1. Electrode reaction as a series of multiple consecutive steps A charge transfer reaction provides an additional channel for current to flow through the interface. The amount of electricity that flows through this channel depends on the amount of species being oxidized or reduced according to the Faraday law: This expression may be rearranged to give expression for current: n- number of electrons in a redox reaction, N-number of moles, MA- molecular weight, F- Faraday constant

This equation described average current flowing through the electrode During time – t. During

This equation described average current flowing through the electrode During time – t. During infinitesimal period dt the number of electrolyzed moles is d. N and the expression for the instantaneous current is: The rate of a chemical reaction is : Hence faradaic current is a measure of a reaction rate

For a multistep reaction

For a multistep reaction

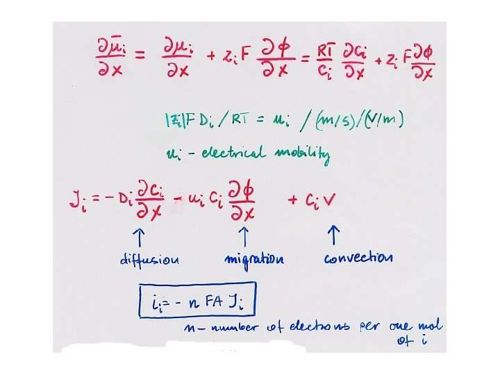
2. Mass transport phenomena

2. Mass transport phenomena

3. Reactions controlled by charge transfer step

3. Reactions controlled by charge transfer step

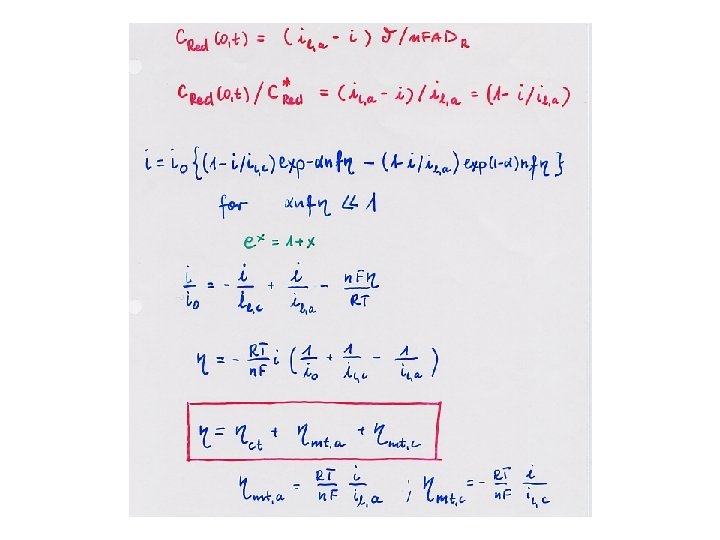
4. Reactions controlled by mixed charge transfer-mass transfer step - Butler – Volmer equation

4. Reactions controlled by mixed charge transfer-mass transfer step - Butler – Volmer equation with correction for mass transport

5. Electrical circuits for: - ideally polarized electrode - non-polarized electrode

5. Electrical circuits for: - ideally polarized electrode - non-polarized electrode

- equilibrium potential Example: Pt electrode in Fe 3+/ Fe 2+ solution Fe 2+

- equilibrium potential Example: Pt electrode in Fe 3+/ Fe 2+ solution Fe 2+ = Fe 3+ + e = Fe 2+ Eeq

-mixed potential: example corrosion of Fe in HCl: cathodic reaction: 2 H+ + 2

-mixed potential: example corrosion of Fe in HCl: cathodic reaction: 2 H+ + 2 e = H 2 Anodic reaction: Fe = Fe 2+ +2 e Slope = 2 H+ + 2 e = H 2 ln icorr Fe = Fe 2++ 2 e Ecorr