Electric fields Objectives Interpret electric field diagrams Describe
Electric fields
Objectives • Interpret electric field diagrams. • Describe and calculate the relationship between electric force and electric field for a point charge. • Identify examples of electric fields in everyday life.
Physics terms • electric force • electric field lines • Faraday cage
Equations
Think Where would you be safer in a lightning storm? in a car? or under a tree? Why?
Lightning safety Where would you be safer in a lightning storm? in a car? or under a tree? Why? The answer to this question lies in an understanding of the nature of electric fields and conductors.
What is the electric field? Imagine that a positively-charged sphere is placed in a region of space. This charged sphere creates an electric field at ALL points in space in this region. If you bring another charged particle into this region, it will feel an electric force of attraction or repulsion due to this electric field. ++ + +
What is the electric field? The electric field has units of newtons per coulomb. Imagine that the electric field at some point near this charged sphere has a strength of 500 N/C. • What is the force on a 1 C charge placed at that point? • What is the force on a 0. 5 C charge placed that point? ++ + +
What is the electric field? The electric field has units of newtons per coulomb. Imagine that the electric field at some point near this charged sphere has a strength of 500 N/C. • What is the force on a 1 C charge placed at that point? 500 N • What is the force on a 0. 5 C charge placed that point? 250 N ++ + +
Electric field diagrams How can we represent the electric field if it exists at ALL points in space?
Electric field diagrams How can we represent the electric field if it exists at ALL points in space? The electric field can be represented with electric field lines, similar to magnetic field lines. Electric field lines trace the direction of the force on a positive test charge at all points in space.
Electric field lines. . . • always point away from positive charges • always point toward negative charges • are close together where the force is strong • are far apart where the force is weak
Electric vs. gravitational fields Gravitational force field diagram for Earth The force of gravity is always attractive.
Electric vs. gravitational fields Gravitational force field diagram for Earth The force of gravity is always attractive. Electric force field diagrams: Positive charge + test charge is repelled
Electric vs. gravitational fields Gravitational force field diagram for Earth The force of gravity is always attractive. Electric force field diagrams: Positive charge Negative charge + test charge is repelled + test charge is attracted
The electric field is a vector The symbol for electric field: At every point in space, the electric field has both a magnitude and a direction. The direction of the electric field is the direction of the force that a positive test charge would experience at that point.
Electric field of two charges How about the electric field around two or more charges?
Electric field of two charges How about the electric field around two or more charges? is the vector sum of the electric fields from each charge. two positive charges two negative charges two opposite charges A positive test charge will feel a force from each charge creating the field.
Like charges A positive (+) test charge experiences equal and opposite forces which sum to zero here.
Unlike charges A positive (+) test charge is repelled by positive charge, attracted by negative charge.
Unlike charges A positive (+) test charge is repelled by positive charge, attracted by negative charge. Where lines are close together, the field is strong. Where lines are far apart, the field is weak.
Electric charge on a conductor Like charges repel one another. If a conductor has excess charge, those charges will move as far apart as possible – to the surface of the conductor.
Electric charge on a conductor Like charges repel one another. If a conductor has excess charge, those charges will move as far apart as possible – to the surface of the conductor. This is true regardless of the shape of the conductor.
Electric field of a conductor The electric field inside a conductor in electrostatic equilibrium is always zero. E=0
Electric field of a conductor The electric field inside a conductor in electrostatic equilibrium is always zero. . . even if the conductor is placed in an external electric field!
The Faraday cage English scientist Michael Faraday invented the Faraday cage in 1836. If a cage is made of metal, anything inside the cage is shielded from outside electricity and electric fields.
The Faraday cage In a lightning storm, the metal frame of a car acts as a Faraday cage. Even if lightning strikes the outside of the car, electric charges will redistribute themselves to keep the electric field inside the car at zero.
Shielding effect of conductors Some electrical devices create electric fields that can interfere with the operation of other sensitive devices.
Shielding effect of conductors Some electrical devices create electric fields that can interfere with the operation of other sensitive devices. One way to prevent interference is to enclose the device in a conducting material to block outside electric fields. Standard RJ 45 cable has conducting metal mesh on the outside.
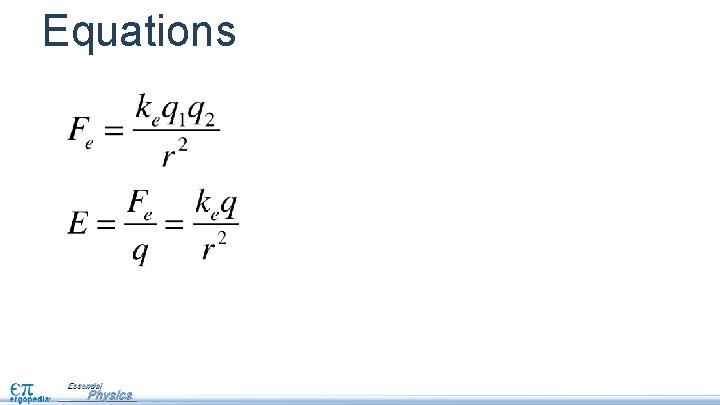
Calculating force and field Electric field is a vector quantity, so it has both magnitude and direction. The relationship between the electric force and electric field is:
Calculating force and field Electric field is a vector quantity, so it has both magnitude and direction. The relationship between the electric force and electric field is: The electric field is a property of a point in space. It tells you the force that will be exerted per coulomb of charge placed at that point.
Electric field and g The force of gravity near Earth’s surface: g is the force per unit mass. It can be measured in N/kg!
Electric field and g The force of gravity near Earth’s surface: The electric force in an electric field: g is the force per unit E is the force per unit mass. It can be measured in N/kg! charge, measured in N/C.
Electric field of a point charge Two charges, q and q 2, exert repulsive forces on each other:
Electric field of a point charge Two charges, q and q 2, exert repulsive forces on each other: The electric field created by q at the location of q 2 is:
Electric field of a point charge Two charges, q and q 2, exert repulsive forces on each other: The electric field created by q at the location of q 2 is: E has this value at this point in space even if q 2 is not there to “feel” it.
Test your knowledge What is the strength of the electric field 1. 00 meter away from a point charge of q = +2. 0 x 10 -6 C?
Test your knowledge What is the strength of the electric field 1. 00 meter away from a point charge of q = +2. 0 x 10 -6 C?
Assessment 1. Two charged particles are arranged as shown. Which statement below is true? A. Both charges must be positive. B. Both charges must be negative. C. The upper charge is positive and the lower charge is negative. D. The upper charge is negative and the lower charge is positive.
Assessment 1. Two charged particles are arranged as shown. Which statement below is true? A. Both charges must be positive. A. Both charges must be negative. A. The upper charge is positive and the lower charge is negative. A. The upper charge is negative and the lower charge is positive.
Assessment 2. The proton in the nucleus of a hydrogen atom has a charge of 1. 6 x 10 -19 C while the electron, located 5 x 10 -11 m away, has a charge of − 1. 6 x 10 -19 C. a. Calculate and describe the electric force between them. b. What is the strength of the electric field at the location of the electron is not there to “feel” it?
Assessment 2. The proton in the nucleus of a hydrogen atom has a charge of 1. 6 x 10 -19 C while the electron, located 5 x 10 -11 m away, has a charge of − 1. 6 x 10 -19 C. a. Calculate and describe the electric force between them. attractive b. What is the strength of the electric field at the location of the electron is not there to “feel” it?
Assessment 3. If you find yourself outside in a lightning storm, would you be safer standing under a tree or getting into a car? Why?
Assessment 3. If you find yourself outside in a lightning storm, would you be safer standing under a tree or getting into a car? Why? answer: you would be safer in the car. The car acts as a Faraday cage, shielding you from outside electricity and electric fields.
Uniform fields (advanced) Point charges create electric fields that are non-uniform. These fields are strong close to the charges and weak far from the charges. Question: Is it possible to create a uniform electric field—a field that has the same strength at all points?
Capacitors (advanced) Capacitors are electrical components that CAN create a uniform electric field. A capacitor consists of two metal plates separated by an insulating material called a dielectric.
Capacitors (advanced) When the capacitor is connected to a voltage source, the two plates become oppositely charged. A uniform electric field is created in the region between the two plates.
Uses of capacitors (advanced) Capacitors are one of the most common circuit elements, and have many uses. One of these uses is to store and quickly release energy. So they are used in flash photography and in defibrillators.
Uses of capacitors (advanced) Capacitors can be combined with resistors into RC circuits, which are useful as timing devices. Capacitors can be combined with resistors and inductors to create LRC circuits, which can be tuned to specific frequencies, such as for radio reception.
- Slides: 49