Einsteins Theory of Relativity 10 Internal Schwarzschild Metric




































- Slides: 36
Einstein‘s Theory of Relativity 10. Internal Schwarzschild Metric, Stellar Structure Equations Ulrich R. M. E. Geppert 3/8/2021 U. R. M. E. Zielona Gora 1
remark on Schwarzschild metric proof 3/8/2021 U. R. M. E. Zielona Gora 2
3/8/2021 U. R. M. E. Zielona Gora 3
classical, nonrelativistic stellar structure equations 3/8/2021 U. R. M. E. Zielona Gora 4
Schwarzschild metric in the form Einstein equations in the form 3/8/2021 ⇐ relativistic Euler and continuity equation of a liquid in a gravitational field U. R. M. E. Zielona Gora 5
remark on Euler equation: in detail: 3/8/2021 U. R. M. E. Zielona Gora 6
3/8/2021 U. R. M. E. Zielona Gora 7
proof: 3/8/2021 now U. R. M. E. Zielona Gora 8
in more detail analogue 3/8/2021 U. R. M. E. Zielona Gora 9
f 3/8/2021 U. R. M. E. Zielona Gora 10
3/8/2021 U. R. M. E. Zielona Gora 11
insertion: contraction of Christoffel symbols, determinant of metric tensor 3/8/2021 U. R. M. E. Zielona Gora 12
why: ? 3/8/2021 U. R. M. E. Zielona Gora 13
antisymmetric tensor, see GR_1 3/8/2021 U. R. M. E. Zielona Gora 14
two identical indices 3/8/2021 U. R. M. E. Zielona Gora 15
back to determination of metric coefficient: 3/8/2021 U. R. M. E. Zielona Gora 16
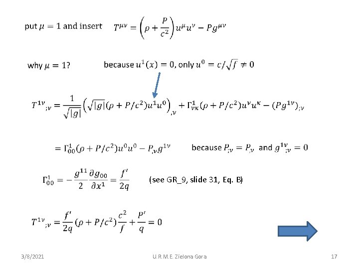
(see GR_9, slide 31, Eq. B) 3/8/2021 U. R. M. E. Zielona Gora 17
insert this, and this Tolman, Oppenheimer, Volkoff 3/8/2021 U. R. M. E. Zielona Gora 18
slide 6: hydrostatic stellar equilibrium, derived from Newton‘s field equation 3/8/2021 U. R. M. E. Zielona Gora 19
joins this solution smoothly to the external Schwarzschild solution? 3/8/2021 U. R. M. E. Zielona Gora 20
3/8/2021 U. R. M. E. Zielona Gora 21
up to now 2 stellar structure equations: 3 fields but only 2 equations 3/8/2021 U. R. M. E. Zielona Gora 22
e. g. : General relativistic treatment of thermal, magnetic and rotational evolution of isolated neutron stars with crustal magnetic fields D. Page 1, U. Geppert 2, and T. Zannias 3 3/8/2021 U. R. M. E. Zielona Gora 23
3/8/2021 U. R. M. E. Zielona Gora 24
3/8/2021 U. R. M. E. Zielona Gora 25
3/8/2021 U. R. M. E. Zielona Gora 26
relativistic stars with constant density simplest case: - spherical symmetric, i. e. no rotation no magnetic field 3/8/2021 U. R. M. E. Zielona Gora 27
TOV-equation with (1) and (2): 3/8/2021 U. R. M. E. Zielona Gora 28
R r 3/8/2021 U. R. M. E. Zielona Gora 29
(little exercise? ) 3/8/2021 U. R. M. E. Zielona Gora 30
stability of a constant density star: gravitational collapse 3/8/2021 U. R. M. E. Zielona Gora → time dependent metric 31
⇒ central pressure in non-relativistic stars remains finite 3/8/2021 U. R. M. E. Zielona Gora 32
reminder GR_6, slide 17 3/8/2021 U. R. M. E. Zielona Gora 33
3/8/2021 U. R. M. E. Zielona Gora 34
volume in internal Schwarzschildmetric 3/8/2021 U. R. M. E. Zielona Gora 35
3/8/2021 U. R. M. E. Zielona Gora 36