Effect van clozapine op negatieve symptomen Pico Patient













- Slides: 13
Effect van clozapine op negatieve symptomen
Pico • Patient: Schizofrenie, negatieve symptomen • Intervention: Clozapine • Comparison: Klassieke AP • Outcome: PANNS, SANS
• Resultaten gebaseerd op onderzoeken met vaak meer algemene vraagstellingen, effect op negatieve symptomen meer een onderdeel hiervan. • Weinig specifiek gericht op dit verband.
Clozapine vs klassieke AP • Clozapine versus typical neuroleptic medication for schizofrenia (Essali et al. Cochrane syst review 2009) • 42 RCT’s (n=3950) • Diverse uitkomsten vergeleken (bijv kwaliteit v leven, bijwerkingen, positieve symptomen, terugval, mortaliteit) • Uitgelicht: effect op negatieve symptomen.
• 6 “short term” (= tot 12 wkn) studies n=236: SANS, WMD -7. 12 CI -8. 8 to -5. 5 • 1 “long term” (>26 wkn) n=235: PANNS WMD -0. 90 CI -6. 6 to 4. 8 • Zie tabel (zoz)
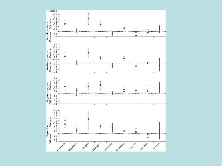
Clozapine/atypische AP • Second generation vs first generation antipsychotic drugs for schizofrenia: a meta-analysis (Leucht et al. 2009) • 150 studies (RCT): klassieke vs atypische AP. (n= 21533) • 50% afname PANNS of BPRS.
• Clozapine, amisulpiride, olanzapine, risperidon meer effectief dan klassieke AP in vermindering negatieve symptomen. • De andere onderzochte atypische AP niet… • Zie tabel (zoz)
MDR Schizofrenie (2008) • Aanbevelingen: • In geval van toepassing van klassieke antipsychotica verdient het, bij aantreffen van negatieve symptomen na de acute fase, aanbeveling te overwegen of (a) dosisverlaging; (b) een kortdurende proefbehandeling van anticholinergica; (c) overgaan op een atypisch antipsychoticum (waaronder clozapine); en/of (d) toepassing van antidepressiva aangewezen is. • In geval van de toepassing van atypische antipsychotica zijn dosisverlaging, overgaan op clozapine en • toepassing van antidepressiva te overwegen.
MDR Schizofrenie (2008) • ECHTER: Generaliserende uitspraken zijn niet goed mogelijk vanwege de zeer grote heterogeniteit van de onderzochte populaties. De verschillen die gemeld worden, zijn klein, zeker als gecorrigeerd wordt voor de verbetering van de positieve symptomen, de extrapiramidale bijwerkingen en de depressieve symptomen. Met andere woorden: de klinische relevantie van de verbetering van negatieve symptomen is onduidelijk en er is veel voor te zeggen om de onomwonden conclusie van de tweede editie van de APA Guideline for the treatment of patients with schizophrenia (414) te volgen: ‘er is geen effectieve behandeling van primair negatieve symptomen bekend'.
Conclusie • Mogelijk enige toegevoegde waarde van clozapine in behandeling van negatieve symptomen in vergelijking met klassieke AP: echter klein effect, klinische relevantie?