EEEcon 458 LPOPF with Regulation Reserves J Mc









- Slides: 9
EE/Econ 458 LPOPF with Regulation Reserves J. Mc. Calley 1
LPOPF with regulation (changes in yellow) Subject to: where: 2
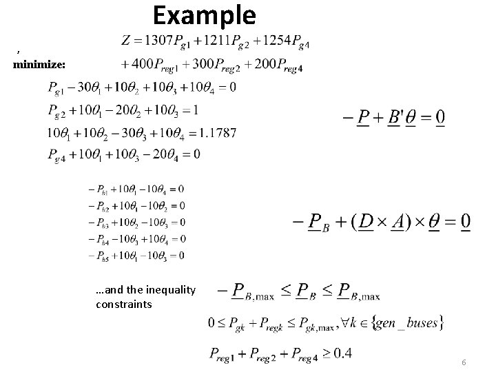
Example (Changes in yellow) , s 1=1307 $/pu. MWhr s 2=1211 $/pu. MWhr s 4=1254 $/pu. MWhr r 1=400 $/pu. MWhr r 2=300 $/pu. MWhr r 4=200 $/pu. MWhr Objective function: 3
Example DC power flow equality constraints: , From last time: where But Pg 3, Preg 3 Pd 1, Pd 2, Pd 3, Pd 4 are fixed at Putting the equations into CPLEX constraint form (variables on left, constants on RHS): 0, 0, 0, 1, 1. 1787, 0, so above become: We need to write equations so that RHS values, if they are or were to be non-zero, are or would be 4 positive, in order to get positive dual variables.
Example Line flow equality constraints: , Use of these line flow equality constraints do not constrain our problem. They just compute for us the line flows which we then constrain with inequalities. From last time: Note we need “full” nodearc incidence matrix because we have full DC power flow equations. 5
Example , minimize: …and the inequality constraints 6
minimize 1307 pg 1 + 1211 pg 2 + 1254 pg 4 + 400 preg 1 +300 preg 2 + 200 preg 4 subject to I arbitrarily set one angle theta 1=0 -pb 1 + 10 theta 1 - 10 theta 4 = 0 it is the angle differences -pb 2 + 10 theta 1 - 10 theta 2 = 0 -pb 3 + 10 theta 2 - 10 theta 3 = 0 -pb 4 - 10 theta 3 + 10 theta 4 = 0 -pb 5 + 10 theta 1 - 10 theta 3 = 0 pg 1 - 30 theta 1 + 10 theta 2 + 10 theta 3 + 10 theta 4 = 0 pg 2 + 10 theta 1 - 20 theta 2 + 10 theta 3 = 1 10 theta 1 + 10 theta 2 - 30 theta 3 + 10 theta 4 = 1. 1787 pg 4 + 10 theta 1 + 10 theta 3 - 20 theta 4 = 0 -pg 1 - preg 1 <= -0. 5 pg 1 + preg 1 <= 2 -pg 2 - preg 2 <= -0. 375 pg 2 + preg 2 <= 1. 5 -pg 4 - preg 4 <= -0. 45 pg 4 + preg 4 <= 1. 8 -pb 1 <= 500 -pb 2 <= 500 -pb 3 <= 500 -pb 4 <= 500 -pb 5 <= 500 -preg 1 - preg 2 - preg 4 <= -0. 4 Bounds -500 <= pb 1 <= 500 -500 <= pb 2 <= 500 -500 <= pb 3 <= 500 -500 <= pb 4 <= 500 -500 <= pb 5 <= 500 -3. 14159 <= theta 1 <= 3. 14159 -3. 14159 <= theta 2 <= 3. 14159 -3. 14159 <= theta 3 <= 3. 14159 -3. 14159 <= theta 4 <= 3. 14159 Objective to whatever I like (within bounds), since that are important. Line flows DC power flow equations Generation offer constraints Line flow constraints CPLEX only provides dual variables for equalities and inequalities that appear in the constraint list and not the “bounds” list, i. e. , it does not provide dual variables for inequalities in the “bounds” list. If the exact same constraints are imposed both places, CPLEX will not provide a dual variable. Regulation requirement If you do not explicitly define a bound on a variable, then CPLEX applies bounds of 0 to ∞, and so if you want negativity for a variable, you must explicitly state that here. 7
Solution Without regulation Z*=$2705. 7557) display solution variables – Variable Name Solution Value pg 1 0. 500000 pg 2 1. 228700 pg 4 0. 450000 pb 1 -0. 015163 theta 4 0. 001516 pb 2 0. 095487 theta 2 -0. 009549 pb 3 0. 324188 theta 3 -0. 041968 pb 4 0. 434838 pb 5 0. 419675 All other variables in the range 1 -12 are 0. There are 11 variables listed as non-0. So which variable is 0? Why? With Regulation Z*=$2774. 0898 display solution variables Variable Name Solution Value pg 1 0. 500000 pg 2 1. 500000 pg 4 0. 178700 preg 4 0. 400000 pb 1 0. 120487 theta 4 -0. 012049 pb 2 -0. 040162 theta 2 0. 004016 pb 3 0. 459838 theta 3 -0. 041968 pb 4 0. 299188 pb 5 0. 419675 All other variables in the range 1 -15 are 0. 8
Solution Without regulation display solution dual Constraint Name Dual Price c 7 1211. 000000 c 8 1211. 000000 c 9 1211. 000000 c 10 1211. 000000 c 11 -96. 000000 c 15 -43. 000000 All other dual prices in the range 1 -26 are 0. With regulation display solution dual Constraint Name Dual Price c 7 1254. 000000 c 8 1254. 000000 c 9 1254. 000000 c 10 1254. 000000 c 11 -53. 000000 c 14 -43. 000000 c 27 -200. 000000 All other dual prices in the range 1 -27 are 0. 9