Edexcel Further Pure 2 Chapter 2 Series Sum

  • Slides: 15
Download presentation
Edexcel Further Pure 2 Chapter 2 – Series: Sum simple finite series using the

Edexcel Further Pure 2 Chapter 2 – Series: Sum simple finite series using the method of differences when • the differences do not involve fractions • the differences involve fractions which are given • you will use partial fractions to establish the difference.

Chapter 2 – Series: FP 1 Recap The following standard results from FP 1

Chapter 2 – Series: FP 1 Recap The following standard results from FP 1 can be proved using the method of difference:

Chapter 2 – Series: Method of Differences If the general term, Un, of a

Chapter 2 – Series: Method of Differences If the general term, Un, of a series can be expressed in the form then so Then adding

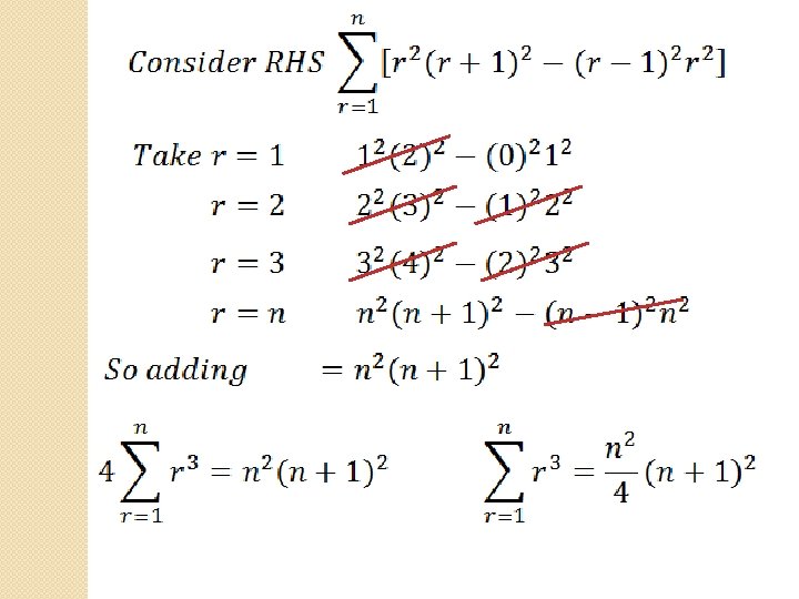
Chapter 2 – Series: Method of Differences Example 1: Show that 4 r 3

Chapter 2 – Series: Method of Differences Example 1: Show that 4 r 3 = r 2(r + 1)2 – (r - 1)2 r 2 Hence prove, by the method of differences that

Chapter 2 – Series: Method of Differences

Chapter 2 – Series: Method of Differences

Exercise 2 A, Page 16 �Use the method of differences to answer questions 1

Exercise 2 A, Page 16 �Use the method of differences to answer questions 1 and 2.

Chapter 2 – Series: Partial Fractions n By using partial fraction find ∑ r=1

Chapter 2 – Series: Partial Fractions n By using partial fraction find ∑ r=1 1 (r + 1)(r + 2) n ∑ r=1 = A (r + 1) + 1 (r + 1)(r + 2) B (r + 2) A = 1 and B = -1 1 (r + 1)(r + 2) n = ∑ r=1 1 (r + 1) - 1 (r + 2)

n ∑ 1 r = 1 (r + 1) - 1 = (r +

n ∑ 1 r = 1 (r + 1) - 1 = (r + 2) + … + 1 2 1 3 1 4 + 1 n+1 - - - 1 3 1 4 1 5 1 n+1 1 n+2 = 1 2 - 1 n+2

n 1 ∑ r=1 = (r + 1)(r + 2) = n 1 ∑

n 1 ∑ r=1 = (r + 1)(r + 2) = n 1 ∑ r=1 = (r + 1)(r + 2) Try this: n ∑ r=1 1 1 - n+2 2 (n + 2) - 2 2(n + 2) n 2(n + 2) 2 (r + 1)(r + 3)

Exercise 2 B, Page 16 �Answer the following questions: Questions 3 and 4. �Extension

Exercise 2 B, Page 16 �Answer the following questions: Questions 3 and 4. �Extension Question 5. Task:

Exam Questions 1. (a) Express (b) Hence prove, by the method of differences, that

Exam Questions 1. (a) Express (b) Hence prove, by the method of differences, that in partial fractions. = (2) (5) (Total 7 marks)

Exam Answers 1. (a) and attempt to find A and B M 1 A

Exam Answers 1. (a) and attempt to find A and B M 1 A 1 (2)

Exam Answers (b) M 1 A 1 [If A and B incorrect, allow A

Exam Answers (b) M 1 A 1 [If A and B incorrect, allow A 1 ft here only, providing still differences] = A 1 Forming single fraction: M 1 Deriving given answer : A 1 (Total 7 marks)