ECUACIONES DE PIMERO Y SEGUNDO GRADO UNIDAD 7
















































- Slides: 48
ECUACIONES DE PIMERO Y SEGUNDO GRADO. UNIDAD 7 1
Ejercicios resueltos Problemas propuestos Soluciones 2
Ejercicios resueltos Encuentra la solución de las ecuaciones dadas 1) 3
Comprobación: La solución es correcta. 4
2) 5
Comprobación: 6
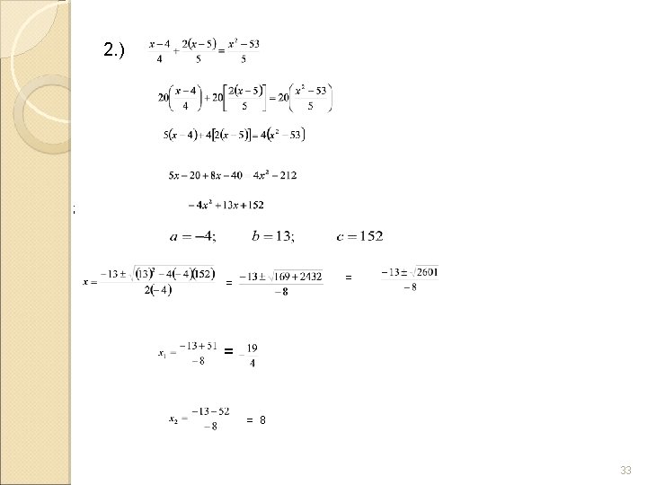
3) 7
Comprobación 8
4) ¿Para qué valor de a el conjunto de soluciones de la ecuación es Comprueba la solución 9
Ejercicios resueltos Aplica el procedimiento mencionado anteriormente para encontrar la raíz de las siguientes ecuaciones: 1. Paso 1. Paso 2. 10
Paso 3. Paso 4. Paso 5. 11
2. Paso 1. Como , la ecuación es equivalente a Paso 2. 12
Paso 3. y Paso 4. Paso 5. La solución es correcta. 13
3. Paso 1. es equivalente a Paso 2. 14
Paso 3. Sin embargo, x no puede se cero porque dos fracciones serían indeterminadas; entonces la ecuación propuesta no tiene solución. 15
4. Paso 1. Paso 2 y 3. 16
Paso 4. Paso 5. Comprobación: 17
La solución es correcta. 18
El numerador de una fracción es 4 unidades menor que el denominador. Si el numerador se duplica y el denominador se disminuye en 2 unidades, la suma de la fracción original y la nueva es 3. Encuentra la fracción original. Solución. Sean x ≈ denominador de la fracción, y (x – 4) ≈ numerador de la fracción 19
Paso 1. Paso 2. Paso 3. Paso 4. 20
Paso 5. Comprobación La solución es correcta. 21
Ejercicios resueltos: Encuentra por factorización las raíces de las siguientes ecuaciones y analiza el resultado. 1. - – 2 x 1 = – 2; – 2 + 1 = – 1 22
Si Si Comprobación: Para : Esta raíz satisface a la ecuación. Para La segunda raíz también es solución de la ecuación. 23
, ; 2. - ; a y b constantes , Si Si 24
Comprobación: Para Este valor de la variable satisface a la ecuación. Para También es solución de la ecuación. 25
3. - La otra raíz se obtiene cuando x = 0, es decir que 26
Comprobación: Para = ; 4 – 5 = – 1 Este valor satisface a la ecuación. Para ; 2 – 1 ≠ 1 El valor no satisface a la ecuación original, por lo tanto, la única raíz de la ecuación radical dada es 12. En el último ejercicio el resultado se debe a que, al hacer las operaciones para despejar a la variable, la ecuación que se obtiene no es equivalente a la original y se introdujo lo que se llama una raíz extraña. 27
Ejercicios resueltos 1. ) Determina el carácter de las raíces de la ecuación = 49 – 160 Las raíces son complejas o = – 111 < 0. imaginarias y diferentes. 2. ) Determina el carácter de las raíces de la ecuación = 289 + 72 = 361 > 0. Las raíces son reales y diferentes. 28
, . 3. ) Encuentra la fórmula para determinar las raíces de la ecuación general de segundo grado: Pasa el término independiente al segundo miembro, completa un trinomio cuadrado en el primer miembro – sumando el mismo término en el segundo miembro para obtener una ecuación equivalente – y toma la raíz cuadrada de ambos miembros para despejar a la variable. 29
Las raíces de la ecuación: , con , son y 30
Encuentra el conjunto de soluciones de las siguientes ecuaciones, indicando el carácter de sus raíces: 1. ) ; = = 31
Comprobación Para La solución es correcta. Para La solución es correcta. 32
Comprobación Para La solución satisface a la ecuación original. Para También esta raíz satisface a la ecuación dada. 34
3 -) ; = = Comprueba los resultados. 35
; Una compañía de 180 soldados está formada en filas. El número de soldados de cada fila es 8 más que el número de filas que hay. ¿Cuántas filas hay y cuántos soldados en cada una? Sean x ≈ número de filas; y ≈ número de soldados en cada = fila. = ; = 36
; . Observa que la segunda raíz no es válida puesto que se busca el número de filas en que están formados 180 soldados y éste no puede ser negativo. Por lo tanto, la solución es : ; . Es decir, hay 10 filas y en cada una 18 soldados. 37
Problemas propuestos Encuentra la solución de las ecuaciones dadas 1) 2) 3) 4) 5) 38
Aplica el procedimiento mencionado anteriormente para encontrar la raíz de las siguientes ecuaciones: 6. 7. 8. 9. 10. 11. 12. 13. - 39
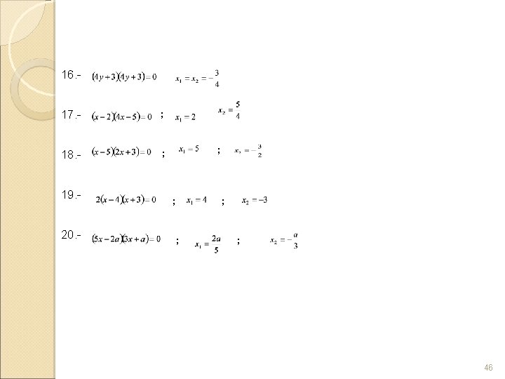
Resuelve por factorización las ecuaciones propuestas: 14. 15. 16. 17. - 18. - 40
19. - 20. - El largo de un rectángulo excede a su ancho en 2 m. Si cada lado del rectángulo se incrementara en 3 m, el área total se incrementaría en 51 m 2. Encuentra las dimensiones originales. 41
Aplica la fórmula general para encontrar la solución de las ecuaciones que se proponen: 21. 2223. 24. 25. 26. 27. 28. - 42
29. - Varias personas compraron un billete de lotería con valor de $1, 200. El dinero que pagó cada persona excede en 194 al número de personas. ¿Cuántas personas compraron el billete? 30. - Halla tres números consecutivos tales que el cociente del mayor entre el menor equivale a los del número intermedio. 43
Soluciones 1) 2) 3) 4) 5 ) 44
6. 7. 8. 9. 10. 11. 12. 13. 14. 15. - • Largo: 8 m. Ancho: 6 m. 45
Para resolver una ecuación de segundo grado, el método de factorización no es el más eficiente. Aun para expresiones cuadráticas sencillas, determinar los dos valores cuya suma sea b y su producto sea es, cuando menos, tardado. 47
21. - ; 22. - Las raíces son imaginarias ; 23. 24. 25. - ; ; 26. 27. - ; 28. - la otra raíz no satisface a la ecuación, por lo tanto se rechaza. 29. - 6 personas 30. - 4, 5, 6 48