ECE 255 Jan 23 2018 Lecture Instructor Weng

  • Slides: 20
Download presentation
ECE 255 Jan 23, 2018 Lecture Instructor: Weng Cho Chew

ECE 255 Jan 23, 2018 Lecture Instructor: Weng Cho Chew

Zener Diodes • Voltage regulators, rectifiers, and clamping circuits. Symbol Internal voltage Linear circuit

Zener Diodes • Voltage regulators, rectifiers, and clamping circuits. Symbol Internal voltage Linear circuit approximation around Q point.

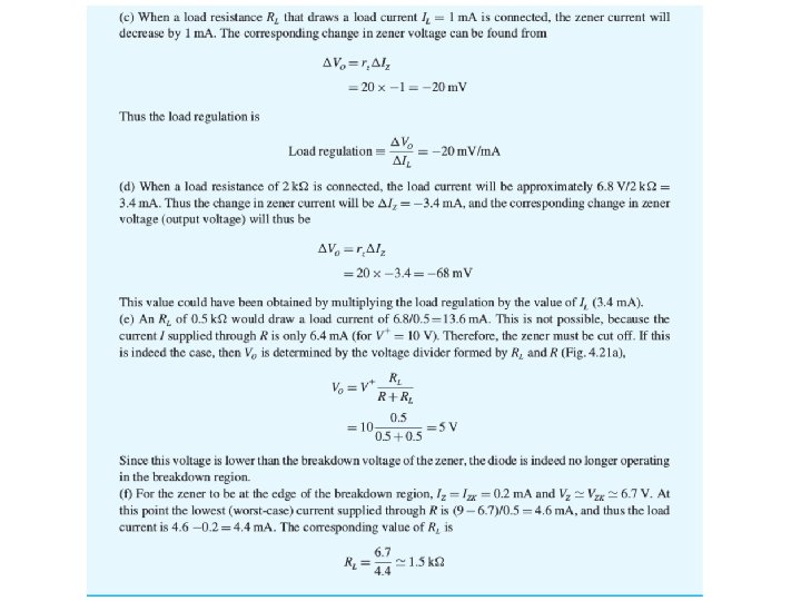
Zener Diode As Shunt Regulator has a temperature coefficient in m. V/C

Zener Diode As Shunt Regulator has a temperature coefficient in m. V/C

Diodes as Rectifiers Full wave rectifier

Diodes as Rectifiers Full wave rectifier

Half-Wave Rectifier • A constant voltage drop model for the diode. • PIV (peak

Half-Wave Rectifier • A constant voltage drop model for the diode. • PIV (peak inverse voltage)

Full-Wave Rectifier

Full-Wave Rectifier

Bridge Full-Wave Rectifier

Bridge Full-Wave Rectifier

Removing Current Ripple with Capacitor Ideal Capacitor Case: Capacitor holds charge forever Capacitor cannot

Removing Current Ripple with Capacitor Ideal Capacitor Case: Capacitor holds charge forever Capacitor cannot discharge.

Non-Ideal Capacitor Case Capacitor cannot hold charge forever

Non-Ideal Capacitor Case Capacitor cannot hold charge forever

A Smoothed Waveform A full wave rectifier case.

A Smoothed Waveform A full wave rectifier case.

Math of Waveform Smoothing • Diode open circuit: Assuming that: Ripple Voltage Diode off

Math of Waveform Smoothing • Diode open circuit: Assuming that: Ripple Voltage Diode off

Math of Waveform Smoothing, Contd. • Diode conducting: Diode on interval Diode current during

Math of Waveform Smoothing, Contd. • Diode conducting: Diode on interval Diode current during conduction interval : From KCL: Then average diode current:

Clamping and Limiter Circuit • An ideal voltage clamping circuit • A non ideal

Clamping and Limiter Circuit • An ideal voltage clamping circuit • A non ideal voltage clamping circuit

The Application of an Ideal Clamping Circuit

The Application of an Ideal Clamping Circuit

Designs of Clamping Circuits

Designs of Clamping Circuits

Clicker Question 1 (1 Point) Which of the following is not a full-wave rectifier?

Clicker Question 1 (1 Point) Which of the following is not a full-wave rectifier? (A) A transformer with a center tap (B) A diode connected to a capacitor (C) Bridge circuit