EAT 449 ENVIRONMENTAL PROCESS CONTROL INSTRUMENTATION CHAPTER 1























- Slides: 23
EAT 449 : ENVIRONMENTAL PROCESS CONTROL & INSTRUMENTATION CHAPTER 1: INTRODUCTION TO CHEMICAL & PROCESS CONTROL BY: MASITAH HASAN
INTRODUCTION TO (CHEMICAL AND BIO) PROCESS CONTROL WHY PROCESS CONTROL? i. Enhanced process safety ii. Satisfying environmental constraints iii. Meeting ever stricter product quality specification iv. More efficient user of raw materials and energy v. Increased provitability PROCESS CONTROL OBJECTIVES i. Suppress the influent of external disturbances ii. Ensure the stability of a process iii. Optimize the performance of a process
CHEMICAL PROCESS CONTROL Chemical process control (CPC) is concerned with operating a such that the product quality and production rate specification processing plants are met in a safe and reliable manner. To attain these objectives, various flow rates, in most cases, are adjusted to maintain the operation (e. g. , important levels, pressures, temperatures and compositions) near the desired operating conditions. BIO PROCESS CONTROL Beer and wine making, which date back to ancient times, were among the earliest bio-processes. Control of these ancient bio-processes was done manually without any sensors or feedback control. As sensors, such as thermometers and pressure gauges, and pneumatic controllers were developed and demonstrated in the CPI, they were gradually adopted starting in the 1940 s by the bio-process industries which allowed for more complicated process designs and operational scenarios.
A typical biological process uses the following steps: Δ Δ Δ Δ raw material (e. g. , media) preparation of the fermentation inoculum (microbial cells) sterilization of the process combine the media microbial cells in the bio-reactor, which is know as inoculation implement the fermentation step product recovery from the fermentation broth preparation of the products sale (e. g. , bottling or packaging). In each of these steps, certain process conditions need to be maintained for acceptable operation and this is accomplished by process control techniques.
EVERYDAY EXAMPLE OF PROCESS CONTROL Driving a vehicle (Manual Process Control) Objective: To keep the car in its lane on the road The sensor is the person’s eyes The Control Variable (CV) is the position of the car in the road The Manipulated Variable (MV) is the steering wheel position The actuator (final element) can be thought of as the person’s hands and arms that turn the steering wheel. The controller is the person driving (brain). Curves in the road are disturbances control
Air conditioning in a class room (Automatic Process Control) Objective : To keep the room temperature in its set point. The sensor is thermocouple. The Control Variable (CV) is the room temperature. The Manipulated Variable (MV) is the flow of cool air from refrigeration (air conditioning) unit. The actuator (final element) can be air conditioner compressor. The controller is the automatic controlling unit inside the air conditioner Heat transfer/flowing into the room is disturbances control.
Temperature, Level and Flow in a stirred tank (Automatic Manual Process Control) Objective: To keep the tank temperature, level and flow its set point The sensor is thermocouple and level sensor The Control Variable (CV) is the tank temperature, level and flow. The Manipulated Variable (MV) is flow of steam and flow of inlet liquid The actuator (final element) is control valve or human being The controller is the automatic controlling unit or human brain Inlet temperature and inlet flow are disturbances control
SPECIFIC EXAMPLE IN ENV ENG Batch Bio-reactor Objective: To keep the temperature, biomass, p. H and DO in its set point. The sensor are thermocouple, p. H meter, turbidity meter, DO meter The Control Variable (CV) are temperature, bio-mass, p. H and DO The Manipulated Variable (MV) are flow of air, turbidity, heat supply, acid or base supply The actuator (final element) can be …………………. The controller is the automatic controlling unit …………………. . . …………. is disturbances control.
Activated Sludge Process Objective: To keep the temperature, bio-mass, p. H and DO in its set point. The sensor are thermocouple, p. H meter, turbidity meter, DO meter The Control Variable (CV) are temperature, bio-mass, p. H and DO The Manipulated Variable (MV) are flow of air, turbidity, heat supply, acid or base supply The actuator (final element) can be control valve The controller is the automatic controlling unit on the activated sludge unit Waste flow rate is disturbances control.
Flow rate of sewage to plant Process control emphasizes the dynamic behavior of the plant There is no steady state!! Dundas clarifier from Hydromantis WWW site. 24 -hour period V=? Holding vessel screen reactor clarifier
Flow rate of sewage to plant Process control emphasizes the control behavior of the plant There is no steady state!! Dundas clarifier from Hydromantis WWW site. 24 -hour period Holding vessel screen Too much air is wasteful, reactor A Too little leads to unsafe effluent clarifier
Control Diagram and P&ID
Block Diagram of a General Feedback Control System
FUNDAMENTAL EQUATIONS Total Mass Balance Equation Component Mass Balance Equation
Energy Balance Equation
Example 1: Develop a dynamic model of a level in a tank to a step change in the flow rate leaving the tank.
Expressing the total mass in the tank as r. Ac. L and recognizing that the mass flow rate into the tank is Fi, and the mass flow rate out of the tank is Fout the mass balance equation becomes
Example 2: Develop a dynamic model for the CST composition mixing process shown in the following figure.
Because the mass flow rates are specified in the problem statement, it is necessary to convert from volumetric flow rates to mass flow rate
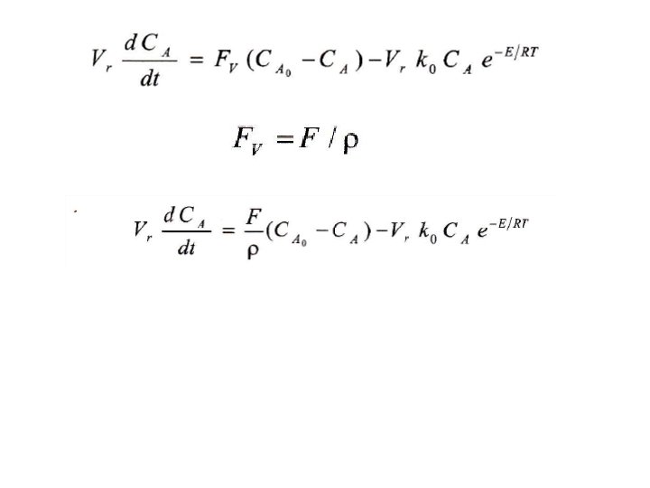
Example 3: Develop a dynamic model for the endothermic CSTR shown in the following figure