EARLY SCREENING FOR AUTISM CATCHING UP and CATCHING








































- Slides: 40
EARLY SCREENING FOR AUTISM "CATCHING UP" and CATCHING AUTISM KATHLEEN SHEFNER, MD
Learning Objectives Ø LEARN THE BENEFITS OF SCREENING TOOLS IN IDENTIFYING THE EARLY SIGNS OF AUTISM Ø UNDERSTAND THE BENEFITS AND THE DOWNFALLS OF LEVEL 1 SCREENERS Ø GAIN CONFIDENCE IN ADMINISTERING THE MCHAT-R WITH FOLLOW UP QUESTIONS AND IDENTIFYING THE NEXT STEPS. Ø RECOGNIZE WHICH PATIENTS WILL BENEFIT FROM FURTHER DEVELOPMENTAL ASSESSMENTS
Conflicts of Interest: NONE
Historical Perspective: 1943 Leo Kanner studied 11 patients born in the 1930's Classified his observations of symptoms in these children, not as precursor to schizophenia but evident and present at birth and a separate entity Kanner took the term "autism, " previously attributed to the inward, introspective symptoms typical in adult schizophrenia patients, and labeled the eleven children in his study as having "infantile autism. "
Fast Forward • 1983 Incidence of Autism 1: 150, 000 • 2020 Incidence of Autism 1: 54 • 1975 Education of All Handicapped Children Act: All school aged children would receive a free appropriate public education. • 1986 Early Intervention authorized by Part C of the Individuals with Disabilities Education Act (IDEA)
BENEFITS OF UNIVERSAL SCREENING • EARLY DETECTION BENEFITS • REDUCE ECONOMIC BURDEN OF DISEASE • EARLY INTERVENTION IS PROVEN TO REDUCE SEVERITY WITH POTENTIAL RESOLUTION OF SYMPTOMS • CURRENT RECOMMENDATIONS: • AAP BRIGHT FUTURES RECOMMENDS SCREENING AT 18 AND 24 MO WCC • UNIVERSAL SCREENING IS SUPPORTED BY AMERICAN ACADEMY OF NEUROLOGY, CHILD NEUROLOGICAL SOCIETY, AMERICAN ACADEMY OF CHILD AND ADOLESCENT PSYCHIATRY AS OF DATE OF PUBLICATION Screening for Autism Spectrum Disorder in Young Children: US Preventive Services Task Force Recommendations Statement JAMA 2016
POSITIVE IMPACT OF SCREENING TOOLS • IMPROVE DEVELOPMENTAL OUTCOME AND REDUCE THE IMPACT OF ASD • BETTER UNDERSTAND THE CHILD’S PRESENTATION AND DEVELOP A TAILORED PLAN • BETTER SCHOOL PLACEMENTS • INCREASE COMMUNICATION SKILLS, COGNITIVE FUNCTIONS, MOTOR SKILLS, INTERPERSONAL SKILLS • DECREASE PROBLEM BEHAVIORS IN THE FUTURE • DECREASE LONG TERM ECONOMIC BURDEN AND ESTABLISH WORKING MEMBERS OF SOCIETY
Age of parental concern, diagnosis, and service initiation among children with autism spectrum disorder
PREMATURITY INCREASES RISK FACTORS 3. 65 -12. 9% PREVALENCE VS 1 -1. 5% IN GENERAL EXTREME PREMATURITY ( <27 WKS) STILL ELEVATED IN 29 -37 WEEKS LONGER NICU STAY LOWER BIRTH WEIGHT <1500 G 100 G BW DIFFERENCE AFFECTS RISK IN TWINS MOST LIKLEY TO OUTGROW MORE DSM A THAN DSM B SIGNS
SCREENING TOOLS HAVE RISKS • POTENTIAL FALSE POSITIVES LEADING TO: • ADDITIONAL FINANCIAL BURDEN ON FAMILY/HEALTHCARE SYSTEM TO EVALUATE • LIMITED NUMBER OF CLINICIANS AVAILABLE TO DIAGNOSE • INCREASED EMOTIONAL BURDEN ON CLINICIAN AND FAMILY WITH FALSE POSITIVES. • UNIVERSAL SCREENING NOT RECOMMENDED BY: • AMERICAN ACADEMY OF FAMILY PRACTICE • UK NATIONAL SCREENING COMMITTEE. Screening for Autism Spectrum Disorder in Young Children: US Preventive Services Task Force Recommendations Statement JAMA 2016
SCREENERS BROADBAND –ASQ and PEDS LEVEL 1 - MCHAT R/F, CAST, DAVE LEVEL 2 – STAT, RITA, SORF
THE CHecklist for Autism in Toddlers : CHAT SCREENING INSTRUMENT DEVISED TO TEST THE PREDICTION THAT THOSE CHILDREN NOT EXHIBITING JOINT ATTENTION AND PRETEND PLAY BY THE AGE OF 18 MONTH MIGHT BE AT RISK FOR RECEIVING A DIAGNOSIS OF AUTISM • SECTION A: 9 QUESTIONS WHICH WERE ASKED OF THE PARENT BY THE HEALTH PROVIDER • SECTION B: 5 DIRECT OBSERVATIONS BY THE HEALTH PROVIDER • 5 KEY ITEMS THAT DEAL WITH JOINT ATTENTION, PRETEND PLAY, FOLLOWING A POINT, PRODUCING A POINT BARON-COHEN, PHD, ET AL 2000
MCHAT-R/F • MODIFIED CHECKLIST FOR AUTISM IN TODDLERS, REVISED WITH FOLLOW-UP • QUESTIONNAIRE OF THE CHAT MODIFIED TO BE COMPLETED BY PARENTS • DESIGNED TO IDENTIFY CHILDREN WHO ARE AT-RISK FOR ATYPICAL DEVELOPMENT • PPV 0. 54 FOR ASD AND 0. 98 FOR ANY DEVELOPMENTAL DISORDER • IDENTIFIES CHILDREN 16 TO 30 MONTHS OF AGE WHO SHOULD RECEIVE A DIAGNOSTIC EVALUATION • TRANSLATED INTO MULTIPLE LANGUAGES
MCHAT R/F • SINGLE SCREEN IS NOT ENOUGH • PPV LOWER IN YOUNGER TODDLERS (0. 36 IN <20 MOS VS. 69 IN 20+ MOS) • PPV IMPROVES WITH FOLLOW UP QUESTIONAIRE (0. 40 VS 0. 58) • FOLLOW UP INTERVIEW MAY IMPROVE PPV, BUT DOES NOTHING TO IMPROVE SENSITIVITY • FOLLOW UP INTERVIEW CAN BE DONE IN PCP OFFICE WITH NO ADDITIONAL TIME SCHEDULED FOR VISIT
MCHAT- R /F QUESTIONNAIRE FORMAT • • • 20 QUESTIONS YES FOR ITEMS 2, 5, 12 INDICATES ASD RISK NO FOR ALL OTHER ITEMS INDICATES ASD RISK ADD THE TOTAL NUMBER OF AT RISK RESPONSES FOLLOW-UP INTERVIEW FOR ITEMS INDICATING ASD RISK
MCHAT- R SCORING AND FOLLOW-UP SCORE 0 -2 LOW- RISK NO FOLLOWUP NECESSARY Ø IF CHILD IS YOUNGER THAN 24 MOS, SCREEN AGAIN AT 24 MOS (OR AFTER 3 MOS HAS ELAPSED) Ø CONTINUE DEVELOPMENTAL SURVEILLANCE.
MCHAT- R SCORING AND FOLLOW-UP SCORE 3 -7 MEDIUMRISK ADMINISTER THE FOLLOWUP Ø IF CHILD CONTINUES TO SCORE 2 OR HIGHER, REFER IMMEDIATELY FOR CLINICAL EVALUATION AND TO DETERMINE ELIGIBILITY FOR EARLY INTERVENTION SERVICES. Ø IF FOLLOW-UP SCORE IS 0 -1 MONITOR, RESCREEN AT FUTURE WELL CHILD VISITS.
MCHAT- R SCORING AND FOLLOW-UP SCORE 8 -20 HIGH - RISK BYPASS THE FOLLOW-UP Ø ACCEPTABLE TO BYPASS THE FOLLOW-UP REFER IMMEDIATELY FOR CLINICAL EVALUATION AND TO DETERMINE ELIGIBILITY FOR EARLY INTERVENTION SERVICES.
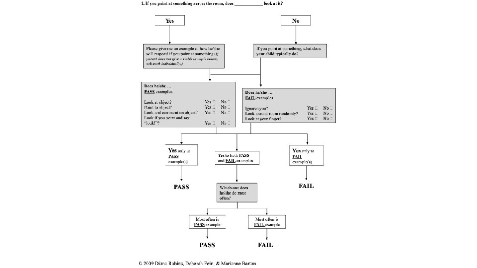
1. IF YOU POINT AT SOMETHING ACROSS THE ROOM, DOES YOUR CHILD LOOK AT IT? • IF THE ANSWER IS NO ASK THE FOLLLOWING FOLLOW UP QUESTIONS • DOES HE IGNORE IT? • DOES HE LOOK AROUND THE ROOM RANDOMLY? • DOES HE LOOK AT YOUR FINGER? • A POSITIVE ON ANY OF THOSE WOULD ALL BE CONSISTENT WITH FAIL • IF NEGATIVE – WHICH COMBINATIONS ARE DONE MORE OFTEN? • 1. LOOK AT THE OBJECT, POINT AT THE OBJECT, LOOK AND COMMENT, OR LOOK WHEN PARENT PROMPTS • 2. IGNORE, LOOKS RANDOMLY, OR LOOKS AT PARENT FINGER • IF ANSWERS YES TO 1 – THEN IT IS A PASS • IF ANSWERS YES TO 2 – THEN IT IS A FAIL
2. HAVE YOU EVER WONDERED IF YOUR CHILD MIGHT BE DEAF? • IF THE ANSWER IS YES ASK THE FOLLOWING FOLLOW UP QUESTIONS • • DOES HE/SHE OFTEN IGNORE SOUNDS? DOES HE/SHE OFTEN IGNORE PEOPLE? IF THE ANSWER IS NO TO BOTH THEN IT IS A PASS. IF THE ANSWER IS YES TO EITHER THEN IT IS A FAIL. • FOR BOTH PASS AND FAIL PROCEED TO ASK; • HAS YOUR CHILD’S HEARING BEEN TESTED? • IF YES THEN ASK THE FOLLOWING • WHAT ARE THE RESULTS OF THE HEARING TEST: NORMAL RANGE, BELOW NORMAL, INCONCLUSIVE/ NOT DEFINITIVE.
HAVE YOU EVER WONDERED IF YOUR CHILD WAS DEAF? • YOUNG CHILDREN WHO HAVE HEARING LOSS EXHIBIT MANY OF THE SAME BEHAVIORAL CHARACTERISTICS TO THOSE WHO HAVE ASD. SOME OF THEM INCLUDE: • POOR EYE CONTACT • ECHOLALIA, OR REPEATING OTHER’S SPEECH • DELAYED ACQUISITION OF LANGUAGE • DELAYED SOCIAL SKILLS DEVELOPMENT • SOCIAL ISOLATION
PREVALANCE OF ASD IN CHILDREN WITH HEARING LOSS • HIGHER THAN FOR CHILDREN WITH NORMAL HEARING, WITH A HIGHER INCIDENCE OF ASD WITH BILATERAL PROFOUND HEARING LOSS HIGHEST RISK • 19% OF VISUALLY IMPAIRED CHILDREN AND 9% OF DEAF/HARD OF HEARING CHILDREN REPORTED AS HAVING ASD • THUS, CHILDREN WITH HEARING LOSS OFTEN HAVE THEIR ASD UNDIAGNOSED Ø DO B. ET AL. 2012
3. DOES YOUR CHILD PLAY PRETEND OR MAKEBELIEVE? IF THE ANSWER IS NO ASK IF THE CHILD PRETENDS TO: DRINK FROM A TOY CUP EAT FROM A TOY SPOON OR FORK TALK ON THE TELEPHONE FEED A DOLL OR STUFFED ANIMAL WITH REAL OR IMAGINARY FOOD PUSH A CAR AS IF IT IS GOING ALONG A PRETEND ROAD BE A ROBOT, AN AIRPLANE, A BALLERINA, OR ANY OTHER FAVORITE CHARACTER (CAN STILL BE CONCERN IF ONLY INTEREST) PUT A TOY POT ON A PRETEND STOVE OR STIR IMAGINARY FOOD PUT AN ACTION FIGURE OR DOLL INTO A CAR OR TRUCK AS IF IT IS THE DRIVER OR PASSENGER PRETEND TO VACUUM THE RUG, SWEEP THE FLOOR, OR MOW THE LAWN A POSITIVE ON ANY OF THE ABOVE WOULD ALL BE CONSISTENT WITH PASS A NEGATIVE TO ALL OF THE ABOVE WOULD BE CONSISTENT WITH FAIL
5. DOES YOUR CHILD MAKE UNUSUAL FINGER MOVEMENTS NEAR HIS/HER EYES? IF THE ANSWER IS YES, ASK IF THE CHILD: PASS EXAMPLES: LOOKS AT HANDS? MOVES FINGERS WHEN PLAYING PEEK-A-BOO? FAIL EXAMPLES: WIGGLE FINGERS NEAR HIS/HER EYES? HOLD HANDS UP NEAR HIS/HER EYES? HOLD HANDS OFF TO THE SIDE OF HIS/HER EYES? FLAP HANDS NEAR HIS/HER FACE? OTHER (DESCRIBE) ___________ IF THE ANSWER IS NO TO ALL OF THE ABOVE IT IS CONSISTENT WITH A PASS. IF THE ANSWER IS YES TO ANY OF THE ABOVE MORE THAN TWICE A WEEK. : NO IT IS A PASS YES IS A FAIL
6. DOES YOUR CHILD POINT WITH ONE FINGER TO ASK FOR SOMETHING OR TO GET HELP? IF THE ANSWER IS NO, ASK THE FOLLOWING: IF THERE IS SOMETHING YOUR CHILD WANTS THAT IS OUT OF REACH, HOW DOES HE/SHE GET IT? REACH FOR THE OBJECT WITH WHOLE HAND? LEAD YOU TO THE OBJECT? ( NONVERBAL SKILLS) TRY TO GET THE OBJECT FOR HIM/HERSELF? ASK FOR THE OBJECT USING WORDS OR SOUNDS? IF THE ANSWER IS NO TO ALL OF THE ABOVE: FAIL. IF THE ANSWER IS YES TO ANY OF THE ABOVE. FOLLOW UP WITH: IF YOU SAID “SHOW ME” WOULD HE/SHE POINT AS IT? IF THE ANSWER IS NO IT IS CONSISTENT WITH A FAIL IF THE ANSWER IS YES IT IS CONSISTENT WITH A PASS
8. IS YOUR CHILD INTERESTED IN OTHER CHILDREN? IF THE ANSWER IS YES, ASK THE FOLLOWING FOLLOW UP QUESTION: IS YOUR CHILD INTERESTED IN CHILDREN WHO ARE NOT HIS/HER BROTHER OR SISTER? IF THE ANSWER IS YES IT IS CONSISTENT WITH A PASS IF THE ANSWER IS NO, FOLLOW UP WITH: WHEN YOU ARE AT THE PLAYGROUND OR SUPERMARKET, DOES YOUR CHILD USUALLY RESPOND TO OTHER CHILDREN? IF THE ANSWER IS NO IT IS CONSISTENT WITH A FAIL. IF THE ANSWER IS YES, FOLLOW UP WITH: HOW DOES YOUR CHILD RESPOND: PLAY WITH ANOTHER CHILD? TALK TO ANOTHER CHILD? BABBLE OR MAKE VOCAL NOISES WATCH ANOTHER CHILD? SMILE AT ANOTHER CHILD? ACT SHY AT FIRST BUT THEN SMILE? GET EXCITED ABOUT ANOTHER CHILD? IF POSITIVE ON ANY OF THE ABOVE, FOLLOW WITH: RESPOND TO OTHER CHILDREN MORE THAN HALF OF THE TIME? IF THE ANSWER IS YES IT IS CONSISTENT WITH A PASS IF THE ANSWER IS NO IT IS CONSISTENT WITH A FAIL
14. DOES YOUR CHILD LOOK AT YOU IN THE EYE WHEN YOU ARE TALKING TO, PLAYING WITH, OR CHANGING HIM/HER? IF THE ANSWER IS NO ASK THE FOLLOWING FOLLOW UP QUESTIONS DOES HE/SHE LOOK YOU IN THE EYE …. . WHEN HE/SHE NEEDS SOMETHING? WHEN YOU ARE PLAYING WITH HIM/HER? DURING FEEDING? DURING DIAPER CHANGES? WHEN YOU ARE READING HIM/HER A STORY? WHEN YOU ARE TALKING TO HIM/HER? A NEGATIVE ON ALL OF ABOVE IS CONSISTENT WITH FAIL A POSITIVE ON TWO OR MORE OF ABOVE IS CONSISTENT WITH PASS IF YES ONLY TO ONE; FOLLOW UP WITH DOES YOUR CHILD LOOK YOU IN THE EYE EVERYDAY? IF THE ANSWER IS YES. FOLLOW UP WITH ON A DAY YOU ARE TOGETHER ALL DAY, DOES HE/SHE LOOK YOU IN THE EYE AT LEAST 5 TIMES? A NEGATIVE RESPONSE IS CONSISTENT WITH A FAIL
16. IF YOU TURN YOUR HEAD TO LOOK AT SOMETHING, DOES YOUR CHILD LOOK AROUND TO SEE WHAT YOU ARE LOOKING AT? IF THE ANSWER IS NO ASK THE FOLLOWING FOLLOW UP QUESTIONS: PASS EXAMPLES: DOES YOUR CHILD…. . LOOK TOWARD THE THING YOU ARE LOOKING AT? POINT TOWARD THE THING YOU ARE LOOKING AT? LOOK AROUND TO SEE WHAT YOU ARE LOOKING AT? FAIL EXAMPLES IGNORE YOU? LOOK AT YOUR FACE? IF YES ONLY TO PASS EXAMPLES THEN IT IS A PASS IF YES ONLY TO FAIL EXAMPLES THEN IT IS A FAIL
LINKS FOR THE MCHAT-R/F • MCHAT R/F AVAILABLE AT HTTPS: //MCHATSCREEN. COM/MCHAT-RF/ • ELECTRONIC SCORING PROGRAM: MCHAT_SCORING. AVAILABLE AT HTTPS: //MCHATSCREEN. COM/M-CHAT/SCORING-2/ NOTE: YOU WILL NEED MICROSOFT EXCEL TO USE THIS SCORING PROGRAM.
MCHAT – R/F SCORING - SUMMARY SCORING -- QUESTIONS 2, 5, & 12 SHOULD BE NO. THE REST OF THE QUESTIONS SHOULD BE A YES ( 1, 3, 4, 6, 7, 8, 9, 10, 11, 13, 14 , 15, 16, 17, 18, 19, 20) 0 -2 LOW RISK 3 -7 MEDIUM RISK 8 -20 HIGH RISK: REFER IMMEDIATELY
COMMUNICATION AND SYMBOLIC BEHAVIOR SCALES DEVELOPMENTAL PROFILE (CSBS DP ITC) • MAY BE MORE PROMISING SCREENER IN 9 -24 MO CHILDREN • THIS SCREENER IS LOOKING AT SOCIAL COMMUNICATION DEFICITS • MAY BE A BETTER SCREENER FOR PREMATURE INFANTS/TODDLERS
DETECTING ASPERGERS VERY EARLY: "DAVE" DEVELOPED BY SOUTHWEST AUTISM RESOURCE AND RESEARCH CENTER (SARRC) AS PART OF THEIR THINK ASPERGER’S SCREENING PROGRAM ASPERGER’S DISORDER SURVEILLANCE INFORMATION REGARDING ASPERGER’S DISORDER STEP BY STEP INSTRUCTIONS SCREENING QUESTIONNAIRE DAVE *HTTP: //INTENSIVECAREFORYOU. COM/
CHILDHOOD ASPERGER SYNDROME TEST – CAST* • 37 ITEM PARENTAL SELF-COMPLETION QUESTIONNAIRE • DEVELOPED TO BE SENSITIVE TO AUTISM SPECTRUM CONDITIONS IN THE MAINSTREAM SCHOOL POPULATION AND FOR CHILDREN OF COGNITIVE ABILITY IN THE NORMAL RANGE • CUT-OFF OF 15 • SENSITIVITY OF 100%, SPECIFICITY OF 97%, POSITIVE PREDICTIVE VALUE 50% • MAY IMPROVE IN PPV IN CLINIC SETTING WHERE THERE IS PARENTAL CONCERN REGARDING CHILD’S DEVELOPMENT • FREE ONLINE • * THE CAST (CHILDHOOD ASPERGER SYNDROME TEST) TEST ACCURACY; JO WILLIAMS ET AL, UNIVERSITY OF CAMBRIDGE, UK; 2005 WWW. SAGEPUBLICATIONS. COM
LEVEL 2 SCREENERS • STAT : SCREENING TOOL FOR AUTISM IN TWO YEAR OLDS • RITA-T : RAPID INTERACTIVE SCREENING TEST FOR AUTISM IN TODDLERS • SORF : SYSTEMIC OBSERVATION FOR RED FLAGS • REQUIRES VIDEOTAPING AND NOT FEASIBLE IN A PHYSICIAN OFFICE A New Interactive Screening Test for Autism Spectrum Disorders in Toddlers. Chouieri et al The journal of Pediatrics. 2015
STAT SEPARATE VISIT WITH PROVIDER ESTIMATED 20 MINUTES SENSITIVITY OF 0. 92 12 ITEMS SCORE OF 2 IS CONSIDERED AT RISK RECOMMENDED THAT PARENT NOT PRESENT SPECIFICITY OF 0. 85 PREFERRED AGE BETWEEN 2 AND 3 YEARS OF AGE REQUIRE SIGNIFICANT TRAINING TO ADMINISTER
RITA PERFORMED IN 5 -10 MINUTES IN OFFICE SETTING PARENT PRESENT DURING TESTING 10 ITEMS CUTOFF SCORE >14 SENSITIVITY OF 1. 00 SPECIFICITY OF 0. 84 AGE RANGE OF 2 -3 YEARS OF AGE
BARRIERS TO EARLY DIAGNOSIS REIMBURSEMENT FOR PEDIATRICIAN LACK OF TIME BY PEDIATRICIAN LACK OF FAMILIARITY WITH TOOLS DISRUPTION OF WORKFLOW LACK OF OFFICEBASED SYSTEMS FOR REFERRAL AND OUTCOMES. PARENT AND CLINICIAN BELIEF SYSTEM