Dynamical Mean Field Theory DMFT Approach to Correlated













































![ITU [J. C. Griveaux J. Rebizant G. Lander] ITU [J. C. Griveaux J. Rebizant G. Lander]](https://slidetodoc.com/presentation_image_h/863518ae03dfa0a9a8802eb96023b5d1/image-46.jpg)












































- Slides: 90
Dynamical Mean Field Theory (DMFT) Approach to Correlated Materials G. Kotliar Physics Department and Center for Materials Theory Rutgers
Outline • Introduction to the Dynamical Mean Field ideas and techniques. • Learning about materials with DMFT: (or Mott physics is everywhere ). • Kappa organics <sp> • The Mott transition across the actinide series , Pu- Am <5 f> • Ti 2 O 3 -----Lix. Co. O 3 ----Fe-Ni <3 d> • Ce < 4 f>
Schematic DMFT phase diagram and DOS of a partially frustrated integer filled Hubbard model and pressure driven Mott transition. Physics Today Vol 57, 53 (2004)
Outline, Collaborators, References • Introduction to extensions of DMFT for applications to electronic structure. [ S. Savrasov and Phys. Rev. B 69, 245101 (2004) ] • C-DMFTstudy of the Mott transition in kappa organics. [O. Parcollet G. Biroli and GK PRL, 92, 226402. (2004) ] • The Mott transition in Actinides Pu [Xi Dai S. Savrasov GK A Migliori H. Ledbetter E. Abrahams Science 300, 953 (2003)] and Am[J. C Griveaux J. Rebizant G. Lander and GK ][Sahana Murthy Ph. D].
• MIT in Ti 2 O 3[S. Poteryaev S. Lichtenstein and GK cond-mat 0311319 ] • Alpha Gamma transition in Cerium. K. Haule S. Savrasov V. Udovenko and GK cond-matt 2004.
Weakly correlated electrons. FLT and DFT, and what goes wrong in correlated materials. • Fermi Liquid. . Correspondence between a system of non interacting particles and the full Hamiltonian. • A band structure is generated (Kohn Sham system). and in many systems this is a good starting point for perturbative computations of the spectra (GW).
A different paradigm: the area of influence of a quantum critical point
Energy Landscape of a Correlated Material and a top to bottom approach to correlated materials. Energy T Configurational Coordinate in the space of Hamiltonians
DMFT Cavity Construction: A. Georges and G. Kotliar PRB 45, 6479 (1992). Figure from : G. Kotliar and D. Vollhardt Physics Today 57, (2004) http: //www. physics. rutgers. edu/~kotliar/RI_gen. html The self consistent impurity model is a new reference system, to describe strongly correlated materials.
Dynamical Mean Field Theory (DMFT) Cavity Construction: A. Georges and G. Kotliar PRB 45, 6479 (1992).
EDMFT [H. Kajueter Rutgers Ph. D Thesis 1995 Si and Smith PRL 77, 3391(1996) R. Chitra and G. Kotliar PRL 84, 3678 (2000)]
Site Cellular DMFT. C-DMFT. Kotliar, S. . Savrasov, G. Palsson and G. Biroli, Phys. Rev. Lett. 87, 186401 (2001) G. tˆ(K) hopping expressed in the superlattice notations. • Other cluster extensions (DCA Jarrell Krishnamurthy, Katsnelson and Lichtenstein periodized scheme, Nested Cluster Schemes Schiller Ingersent ), causality issues, O. Parcollet, G. Biroli and GK cond-matt 0307587 (2003)
Two paths for ab-initio calculation of electronic structure of strongly correlated materials Crystal structure +Atomic positions Model Hamiltonian Correlation Functions Total Energies etc. DMFT ideas can be used in both cases.
LDA+DMFT V. Anisimov, A. Poteryaev, M. Korotin, A. Anokhin and G. Kotliar, J. Phys. Cond. Mat. 35, 7359 (1997). A Lichtenstein and M. Katsnelson PRB 57, 6884 (1988). • The light, SP (or SPD) electrons are extended, well described by LDA. The heavy, D (or F) electrons are localized treat by DMFT. • LDA Kohn Sham Hamiltonian already contains an average interaction of the heavy electrons, subtract this out by shifting the heavy level (double counting term) q Kinetic energy is provided by the Kohn Sham Hamiltonian (sometimes after downfolding ). The U matrix can be estimated from first principles of viewed as parameters. Solve resulting model using DMFT.
Functional formulation. Chitra and Kotliar (2001), Savrasov and Kotliarcondmatt 0308053 (2003). Ir>=|R, r> Double loop in Gloc and Wloc
Next Step: GW+EDMFT S. Savrasov and GK. (2001). in New Theoretical Approaches to Strongly Correlated Systems, A. M. Tsvelik Ed. , Kluwer Academic Publishers 259 -301, (2001)) W W . P Sun and G. Kotliar Phys. Rev. B 66, 85120 (2002) Phys. Rev. Lett. 91, 037209 (2003) Biermann et. al. PRL 90, 086402 (2003)
Impurity model representability of spectral density functional.
LDA+DMFT Self-Consistency loop. S. Savrasov and G. Kotliar (2001) and cond-matt 0308053 E U DMFT
Impurity Solvers. • Hubbard I. • Fye Hirsch Quantum Montecarlo. • Interpolative schemes for the self energy. H. Kajueter and G. Kotliar PRL (1996). condmat/0401539 V. Oudovenko, K. Haule, S. Savrasov D. Villani and G. Kotliar. • Extensions of NCA. Th. Pruschke and N. Grewe, Z. Phys. B: Condens. Matter 74, 439, 1989. SUNCA K. Haule, S. Kirchner, J. Kroha, and P. W¨olfle, Phys. Rev. B 64, 155111, (2001). K. Haule et. al. (2004)
How good is the local approximation ? • It becomes exact as the coordination number increases or in the limit of infinite dimensions introduced by Metzner and Vollhardt. PRL 62, 34, (1989). • How good is it in low dimensions ? Promising recent developments from theory and experiments.
One dimensional Hubbard model. Compare 2 site cluster (in exact diag with Nb=8) vs exact Bethe Anzats, [V. Kancharla C. Bolech and GK PRB 67, 075110 (2003)][ [M. Capone. M. Civelli V Kancharla C. Castellani and GK Phys. Rev. B 69, 195105 U/t=4. (2004) ]
Applications of DMFT to materials : Goals of the research • Computations develop a first principles method , based on DMFT, capable of predicting physical properties of correlated materials. • Develop a physical picture of the f and spd electrons in Ce and Pu. • Test theory against experiments. • Bring theory to the point that it plays an equal role in the field of correlated electron materials. Combining theory and experiment.
Experimental verifications • Finding the QP , the Hubbard band the transfer of spectral weight between them in optics and photoemission in different materials. • Exploring the various regimes of the phase diagram, including the Mott endpoint using transport probes.
Recent Experiments support qualitative single site DMFT predictions Mo et al. , Phys. Rev. Lett. 90, 186403 (2003). Limelette et. al. (2003) Ito et. al. (1995)
Outline • Introduction to the Dynamical Mean Field ideas and techniques. • Learning about materials with DMFT: (or Mott physics is everywhere ). • Kappa organics <sp> • The Mott transition across the actinide series , Pu- Am <5 f> • Ti 2 O 3 -----Lix. Co. O 3 ----Fe-Ni <3 d> • Ce < 4 f>
ET = k-(ET)2 X are across Mott transition Insulating anion layer X- Ground State U/t t’/t Cu 2(CN)3 Mott insulator 8. 2 1. 06 Cu[N(CN)2]Cl Mott insulator 7. 5 0. 75 Cu[N(CN)2]Br SC 7. 2 0. 68 Cu(NCS)2 SC 6. 8 0. 84 Cu(CN)[N(CN)2 SC ] Ag(CN)2 H 2 O SC 6. 8 0. 68 6. 6 0. 60 I 3 6. 5 0. 58 X-1 conducting ET layer [(ET)2]+1 modeled to triangular lattice t’ t SC Prof. Kanoda U. Tokyo
Mott transition in layered organic conductors -mat/0004455, Phys. Rev. Lett. 85, 5420 (2000) S Lefebvre et al. cond
• Theoretical issue: is there a Mott transition in the integer filled Hubbard model, and is it well described by the single site DMFT ?
Double Occupancy vs U • CDMFT Parcollet, Biroli GK PRL (2004) Study frustrated t t’ model t’/t=. 9
Evolution of the spectral function at low frequency. If the k dependence of the self energy is weak, we expect to see contour lines corresponding to Ek = const and a height increasing as we approach the Fermi surface.
Evolution of the k resolved Spectral Function at zero frequency. (Parcollet Biroli and GK) U/D=2. 25 Uc=2. 35+-. 05, Tc/D=1/44
Near the transition k dependence is strong. • Qualitative effect, formation of hot regions! • D wave gapping of the single particle spectra as the Mott transition is approached. New paradigm for thinking about the approach to the Mott insulator. • Square symmetry is restored as we approched the insulator. • Experimental predictions! Photoemission ?
Lattice and cluster self energies
Mechanism for hot spot formation: nn self energy ! General phenomena.
Conclusion. • Mott transition survives in the cluster setting. Role of magnetic frustration. • Surprising result: formation of hot and cold regions as a result of an approach to the Mott transition. General result ? • Unexpected role of the next nearest neighbor self energy. • CDMFT a new window to extend DMFT to lower temperatures.
Mott transition in the actinide series (Smith-Kmetko phase diagram)
Total Energy as a function of volume for Pu (Savrasov, Kotliar, Abrahams, 2001, 410, 793, 2001)
DMFT Phonons in fcc d-Pu C 11 (GPa) C 44 (GPa) C 12 (GPa) C'(GPa) Theory 34. 56 33. 03 26. 81 3. 88 Experiment 36. 28 33. 59 26. 73 4. 78 ( Dai, Savrasov, Kotliar, Ledbetter, Migliori, Abrahams, Science, 9 May 2003) (experiments from Wong et. al, Science, 22 August 2003)
Mott transition in the actinide series (Smith-Kmetko phase diagram)
Am At room pressure a localised 5 f 6 system; j=5/2. S = -L = 3: J = 0 J. Smith & R. Haire, Science (1978) J. Smith, J. Phys. (1979)
Mott transition into an open (right) and closed (left) shell systems. S . 5 g T 2 Log[2 J+1] S ? ? ? Uc U S=0 g ~1/(Uc-U) U
• Approach the Mott transition, if the localized configuration has an OPEN shell the mass increases as the transition is approached. Consistent theory, entropy increases monotonically as U Uc. • Approach the Mott transition, if the localized configuration has a CLOSED shell. We have an apparent paradox. To approach the Mott transitions the bands have to narrow, but the insulator has not entropy. . SOLUTION: superconductivity intervenes.
Mott transition in systems with close shell. • Resolution: as the Mott transition is approached from the metallic side, eventually superconductivity intervenes to for a continuous transition to the localized side. • DMFT study of a 2 band model for Buckminster fullerines Capone et. al. Science 2002. • Mechanism is relevant to Americium.
Am under pressure. Lindbaum et. al. PRB 63, 2141010(2001)
ITU [J. C. Griveaux J. Rebizant G. Lander]
Overview of rho (p, T) of Am • Note strongly increasing resistivity as f(p) at all T. Shows that more electrons are entering the conduction band • Superconducting at all pressure • IVariation of rho vs. T for increasing p.
DMFT study in the fcc structure. S. Murthy and G. Kotliar fcc
LDA+DMFT spectra. Notice the rapid occupation of the f 7/2 band.
One electron spectra. Experiments (Negele) and LDA+DFT theory (S. Murthy and GK )
Conclusion Am • Crude LDA+DMFT calculations describe the crude energetics of the material, eq. volume, even p vs V. • Superconductivity near the Mott transition. Tc increases first and the decreases as we approach the Mott boundary. Dramatic effect in the f bulk module. § What is going on at the Am I- Am II boundary ? ? ? Subtle effect (bulk moduli do not change much ), but crucial modifications at low energy. § Mott transition of the f 7/2 band ? Quantum critical point ? :
Conclusion: Cerium • Qualitatively good agreement with existing experiment. • Some quantitative disagreement, see however. • Experiments should study the temperature dependence of the optics. • Optics + Theory can provide a simple resolution of the Mott vs K-Collapse conundrum.
Conclusion • DMFT mapping onto “self consistent impurity models” offer a new “reference frame”, to think about correlated materials and compute their physical properties. • Treats atomic excitations and band-like quasiparticle on the same footing. Can treat electrons near a localization delocalization boundary.
Conclusions • Essential for many materials. New physics. Case studies. • Kappa organics , hot –cold regions. • Parcollet Biroli and Kotliar PRL 2004. • Mott transition across the actinide series. Pu and Am. • Interplay with dimerization, and Coulomb interactions. The two impurity model and Ti 2 O 3.
Conclusions. • Alpha Gamma Cerium. Optics and Kondo scales. The mechanism revealed. • Lix. Co. O 3. Mott transition in your cell phone. [ C. Marianetti, G. Kotliar and G. Ceder Nature materials in press ] • Itinerant ferromagnets at high and low temperatures, Ni and Fe crossover from atomic to band physics. • Doping driven Mott transition in three dimensional materials: La. Sr. Ti. O 3. • Other work, other materials, ENS, Stuttgart Augsburg, Ekaterinburg…………….
Ti 2 O 3 : Coulomb or Pauling C. E. Rice et all, Acta Cryst B 33, 1342 (1977) n LTS 250 K, HTS 750 K
Ti 2 O 3. • Isostructural to V 2 -x. Crx. O 3. Al lot of the qualitative physics of the high temperature part of the phase diagram of V 2 O 3 can be understood within single site DMFT. Is this true in Ti 2 O 3? • Band Structure Calculations good metal. L. F. Mattheiss, J. Phys. : Condens. Matter 8, 5987 (1996). Unrestricted Hartree Fock calculations produce large antiferromagnetic gap. M. Cati, et. al. Phys. Rev. B. f 55 , 16122 (1997).
2 site-Cluster DMFT with intersite Coulomb U = 2, J = 0. 5, W = 0. 5 β = 20 e. V-1, LT structure U = 2, J = 0. 5, W = 0. 5 β = 10 e. V-1, HT structure A. Poteryaev
Pauling and Coulomb Ti 2 O 3[S. Poteryaev S. Lichtenstein and GK cond-mat 0311319 ] Dynamical Goodenough. Honing picture
Conclusion Ti 2 O 3 • 2 site cluster DMFT describes the MIT in Ti 2 O 3. • Different from V 2 O 3 where single site DMFT works well, and cluster corrections are small [A. Poteryaev] • It requires the Coulomb interactions, and a frequency dependent enhancement of the a 1 g hopping, induced by the Coulomb interactions. [Haldane Ph. D thesis, Q Si and GK 1993 ]. Dynamical Pauling-Goodenough mechanism is able to trigger the MIT at low enough temperatures.
Overview Various phases : isostructural phase transition (T=298 K, P=0. 7 GPa) (fcc) phase [ magnetic moment (Curie-Wiess law) ] (fcc) phase [ loss of magnetic moment (Pauli-para) ] with large volume collapse v/v 15 ( -phase a 5. 16 Å -phase a 4. 8 Å) volume s exp. 28Å3 34. 4Å3 -phase LDA 24. 7Å3 LDA+U 35. 2Å3 (localized): High T phase ØCurie-Weiss law (localized magnetic moment), ØLarge lattice constant ØTk around 60 -80 K -phase (delocalized: Kondophysics): Low T phase ØLoss of Magnetism (Fermi liquid Pauli susceptibility) completely screened magnetic moment Øsmaller lattice constant ØTk around 1000 -2000 K
Qualitative Ideas. • B. Johansson, Philos. Mag. 30, 469 (1974). Mott transition of the f electrons as a function of pressure. Ce alpha gamma transition. spd electrons are spectators. • Mathematical implementation, “metallic phase” treat spdf electrons by LDA, “insulating phase” put f electron in the core. q J. W. Allen and R. M. Martin, Phys. Rev. Lett. 49, 1106 (1982); Kondo volume collapse picture. The dominant effect is the spd-f hybridization.
Qualitative Ideas • alpha phase Kondo effect between spd and f takes place. “insulating phase” no Kondo effect (low Kondo temperature). • Mathematical implementation, Anderson impurity model in the suplemented with elastic terms. (precursor of realistic DMFT ideas, but without self consistency condition). J. W. Allen and L. Z. Liu, Phys. Rev. B 46, 5047 (1992).
LDA+DMFT: Ce spectra M. B. Z¨olfl, I. A. Nekrasov. Th. Pruschke, V. I. Anisimov J. Keller, Phys. Rev. Lett 87, 276403 (2001). K. Held, A. K. Mc. Mahan, and R. T. Scalettar, Phys. Rev. Lett. 87, 276404 (2001) A. K. Mc. Mahan, K. Held, and. R. T. Scalettar, Phys Rev. B 67, 075108 (2003). Successful calculations of thermodynamics.
Unfortunately photoemission cannot decide between the Kondo collapse picture and the Mott transition picture. Evolution of the spectra as a function of U , half filling full frustration, Hubbard model!!!! X. Zhang M. Rozenberg G. Kotliar (PRL 70, 1666(1993)).
The schematic phase diagram of cannot distinguish between the two scenarios. • J. W. Allen and L. Z. Liu, Phys. Rev. B 46, 5047 (1992). Kondo impurity model + elastic terms. • DMFT phase diagram of a Hubbard model at integer filling, has a region between Uc 1(T) and Uc 2(T) where two solutions coexist. A. Georges G. Kotliar W. Krauth and M Rozenberg RMP 68, 13, (1996). • Coupling the two solutions to the lattice gives a phase diagram akin to alpha gamma cerium. Majumdar and Krishnamurthy PRL 73 (1994).
Photoemission&experiment • A. Mc Mahan K Held and R. Scalettar (2002) • Zoffl et. al (2002) • K. Haule V. Udovenko S. Savrasov and GK. (2004)
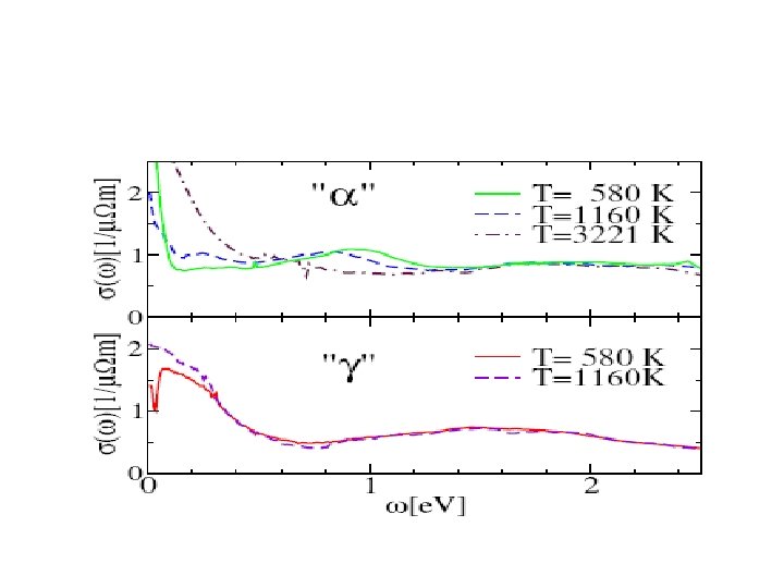
To resolve the conflict between the Mott transition and the volume collapse picture : Turn to Optics! Haule et. al. • Qualitative idea. The spd electrons have much larger velocities, so optics will be much more senstive to their behavior. • See if they are simple spectators (Mott transition picture ) or wether a Kondo binding unbinding takes pace (Kondo collapse picture). • General method, bulk probe.
Temperature dependence of the optical conductivity.
Theory: Haule et. al. cond-matt 04 Expt: J. W. vander. Eb PRL 886, 3407 (2001)
Optical conductivity of Ce (expt. Van Der Eb et. al. theory Haule et. al) experiment LDA+DMFT • K. Haule et. al.
Origin of the features.
Conclusion: Cerium • Qualitatively good agreement with existing experiment. • Some quantitative disagreement, see however. • Experiments should study the temperature dependence of the optics. • Optics + Theory can provide a simple resolution of the Mott vs K-Collapse conundrum.
Conclusion • DMFT mapping onto “self consistent impurity models” offer a new “reference frame”, to think about correlated materials and compute their physical properties. • Treats atomic excitations and band-like quasiparticle on the same footing. Can treat electrons near a localization delocalization boundary.
Conclusions • Essential for many materials. New physics. Case studies. • Kappa organics , hot –cold regions. • Parcollet Biroli and Kotliar PRL 2004. • Mott transition across the actinide series. Pu and Am. • Interplay with dimerization, and Coulomb interactions. The two impurity model and Ti 2 O 3.
Conclusions. • Alpha Gamma Cerium. Optics and Kondo scales. The mechanism revealed. • Lix. Co. O 3. Mott transition in your cell phone. [ C. Marianetti, G. Kotliar and G. Ceder Nature materials in press ] • Itinerant ferromagnets at high and low temperatures, Ni and Fe crossover from atomic to band physics. • Doping driven Mott transition in three dimensional materials: La. Sr. Ti. O 3. • Other work, other materials, ENS, Stuttgart Augsburg, Ekaterinburg…………….
W (ev) vs (a. u. 27. 2 ev) N. Zein G. Kotliar and S. Savrasov
Anomalous Resistivity PRL 91, 061401 (2003)
Optical transfer of spectral weight
ET = k-(ET)2 X are across Mott transition X Ground U/t t’/t - Insulating anion layer X-1 conducting ET layer [(ET)2]+1 modeled to triangular lattice t’ t State Cu 2(CN)3 Mott insulator 8. 2 1. 06 Cu[N(CN)2]Cl Mott insulator 7. 5 0. 75 Cu[N(CN)2]Br SC 7. 2 0. 68 Cu(NCS)2 SC 6. 8 0. 84 Cu(CN)[N(CN)2 SC ] Ag(CN)2 H 2 O SC 6. 8 0. 68 6. 6 0. 60 I 3 6. 5 0. 58 SC
Controversy on the unfrustrated case. Comment on "Absence of a Slater Transition in the Two-Dimensional Hubbard Model" B. Kyung, J. S. Landry, D. Poulin, A. -M. S. Tremblay Phys. Rev. Lett. 90, 099702 -1 (2003)
k organics • ET = BEDT-TTF=Bisethylene dithio tetrathiafulvalene • k organics = (ET)2 X Increasing pressure ----- increasing t’ -----X 0 X 1 X 3 • (Cu)(2 CN)3 Cu(NCN)2 Cl X 2 Cu(NCN 2)2 Br
Compare with single site results Rozenberg Chitra Kotliar PRL 2002
Mott transition in cluster (QMC)
Deviations from single site DMFT
W (ev) vs (a. u. 27. 2 ev) N. Zein G. Kotliar and S. Savrasov