DTERMINANT cours 17 Une matrice est un rectangle

  • Slides: 20
Download presentation
DÉTERMINANT cours 17

DÉTERMINANT cours 17

Une matrice est un rectangle de nombre. es de la matrice est le même

Une matrice est un rectangle de nombre. es de la matrice est le même nombre que le nombre de colonne, o

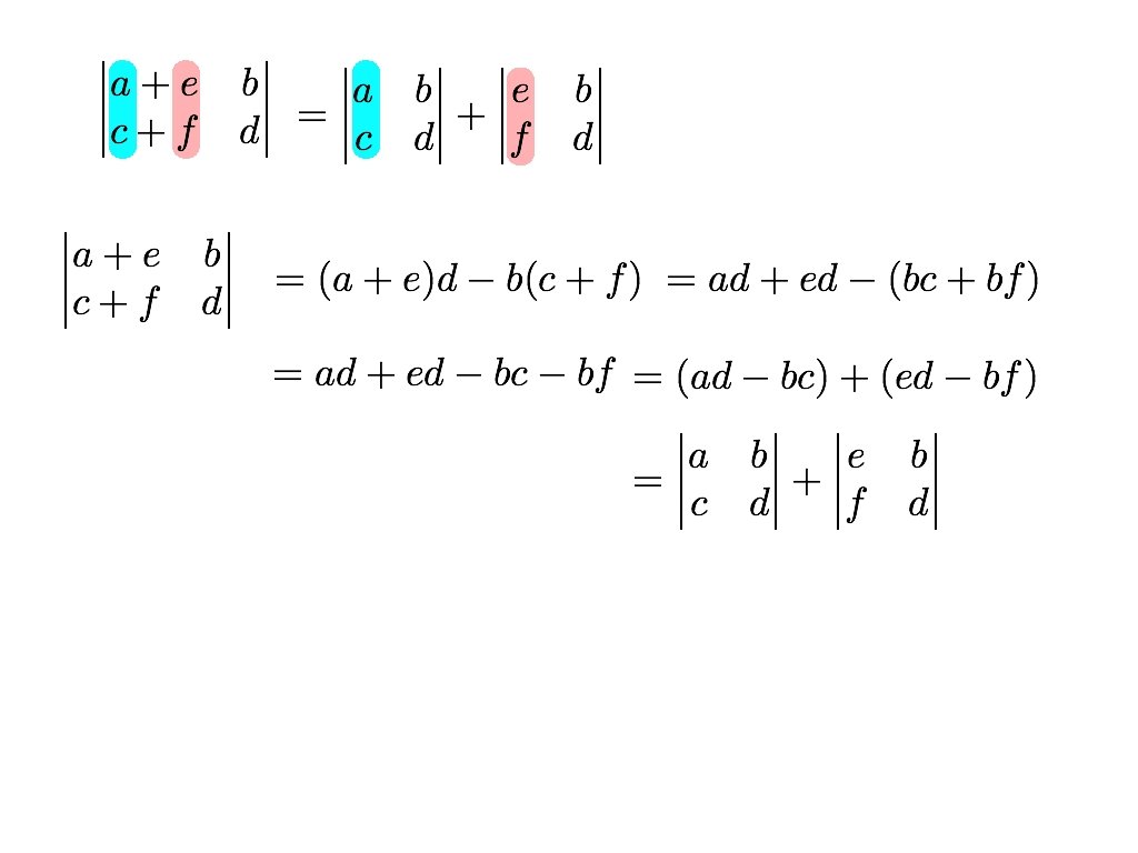
Déterminant Exemple:

Déterminant Exemple:

Faites les exercices suivants # 3. 1 a) à e)

Faites les exercices suivants # 3. 1 a) à e)

Définition: Une équation linéaire est n’importe quelle expression de la forme: où et les

Définition: Une équation linéaire est n’importe quelle expression de la forme: où et les sont des variables. Définition: Une solution de l’équation linéaire est un n-uplet Résoudre une équation linéaire revient à trouver l’ensemble de toutes solutions. tel que

Définition: Un système d’équations linéaires est un ensemble d’équations linéaires. On met une accolade

Définition: Un système d’équations linéaires est un ensemble d’équations linéaires. On met une accolade au début pour les délimiter. Les indices ici servent à indiquer à quelle variable et à quelle équation un coefficient appartient. Une solution d’un système d’équations linéaires Définition: est un n-uplet qui est solution de chaque équation du système.

Exemple: Le système d’équations linéaires suivant a comme solution car et

Exemple: Le système d’équations linéaires suivant a comme solution car et

Faites les exercices suivants #3. 2

Faites les exercices suivants #3. 2

Théorème: Règle de Cramer Si .

Théorème: Règle de Cramer Si .

Preuve: 0 Donc, et c’est la même idée pour

Preuve: 0 Donc, et c’est la même idée pour

Exemple:

Exemple:

Faites les exercices suivants # 3. 3 et 3. 4

Faites les exercices suivants # 3. 3 et 3. 4

Exemple:

Exemple:

Faites les exercices suivants #3. 1 f) et g)

Faites les exercices suivants #3. 1 f) et g)

Théorème: Règle de Cramer La preuve est semblable à celle pour un système à

Théorème: Règle de Cramer La preuve est semblable à celle pour un système à deux équations et à deux inconnues.

Faites les exercices suivants # 3. 5

Faites les exercices suivants # 3. 5