DREAM IDEA PLAN IMPLEMENTATION 1 Present to Amirkabir
DREAM IDEA PLAN IMPLEMENTATION 1
Present to: Amirkabir University of Technology (Tehran Polytechnic) & Semnan University Dr. Kourosh Kiani Email: kkiani 2004@yahoo. com Email: Kourosh. kiani@aut. ac. ir Web: aut. ac. com 2
z y x 3
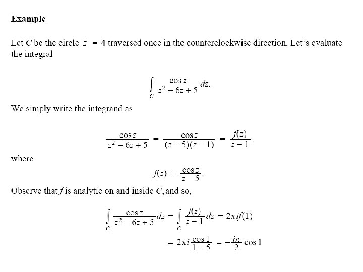
When the Cauchy integral formula is written it can be used to evaluate certain integrals along simple closed contours. Example. Evaluate the value of the integral when C is the positively oriented circle |z|=2. Solution: Let C be the positively oriented circle |z|=2. Since the function is analytic within and on C and since the point z 0=-i is interior to C, formula (2) tell us that 38
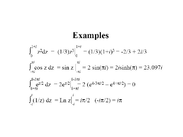
Example 1. Use an anti-derivative to show that, for every contour from z=0 to z=1+i, Solution: The continuous function f(z)=z 2 has an antiderivative F(z)=z 3/3 throughout the plane. Hence
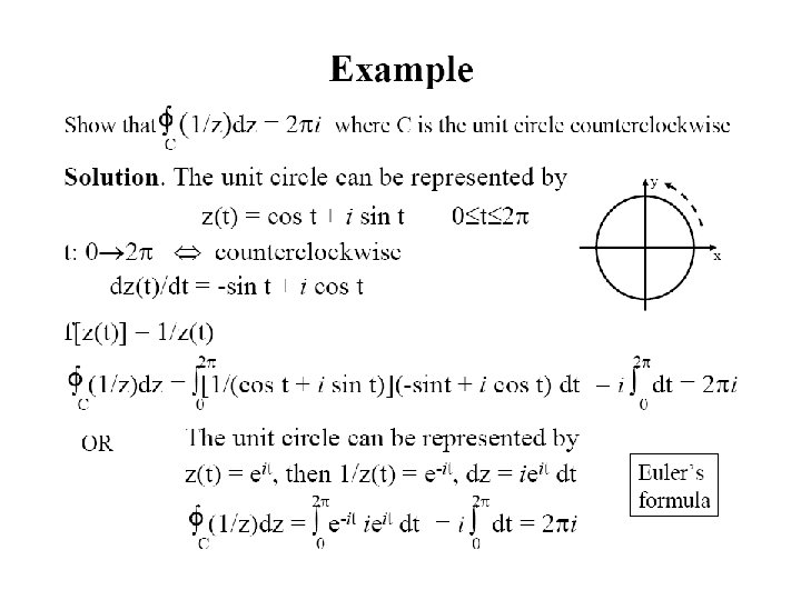
Example 1. Evaluate the value of the integral where C is the positively oriented unit circle |z|=1. Solution: If C is the positively oriented unit circle |z|=1 and f (z)=exp(4 z), then Example 2. Let z 0 be any point interior to a positively oriented simple closed contour C. Evaluate the integral Solution: Let z 0 be any point interior to a positively oriented simple closed contour C. When f (z) =1, 47
Solution: Let z 0 be any point interior to a positively oriented simple closed contour C. When f(z) =1, (n=0) and
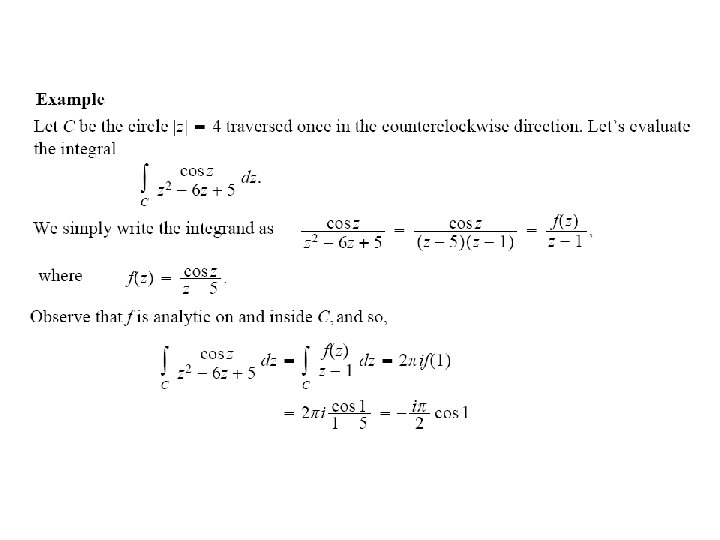
Example
Questions? Discussion? Suggestions ? 53
54
- Slides: 54