Double Pipe HEAT EXCHANGERS with Finned Inner Tube
Double Pipe HEAT EXCHANGERS with Finned Inner Tube P M V Subbarao Professor Mechanical Engineering Department I I T Delhi Ideas for Creation of Compact HX!!!
How to decide the height of fin for a Double Pipe HX ?
nth order Longitudinal Fins L qb x b x=b x qb x=a=0 L b x=a=0
Accounting of Heat Transfer due to Fins h, should be resulting heat transfer coefficient on annulus side. Fins with surface area, Afin, communicate as much as heat as an area of tube surface equal to hfin. Afin. Therefore, the total annulus side effective area is Atube + hfin. Afin. The ratio of total surface area to effective surface area is called as overall finned tube efficiency factor.
Performance of Least Material Fin Strip fin Triangular fin Parabolic fin
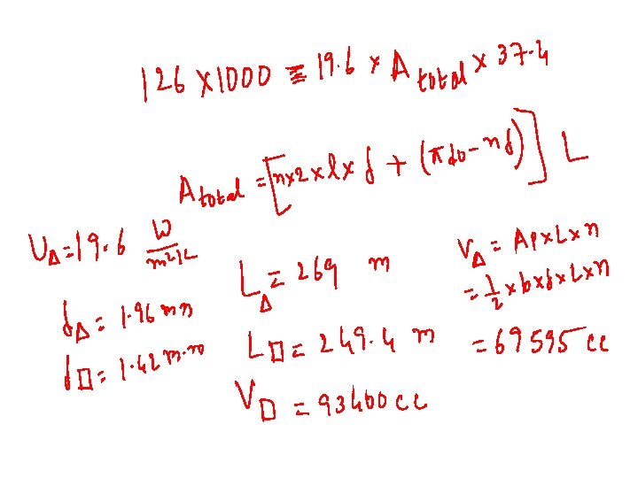
Effective annulus side overall heat transfer coefficient: Overall Heat Transfer coefficient of finned Double tube HX:
Performance of Least Material Strip Fin Optimum shape for a given qb And solve for Ap & qb with [ tanh (1. 4192) = 0. 8894 ]
Triangular Fin : Adiabatic Tip The particular solution for The fin heat dissipation is: The fin efficiency is:
Triangular Fin : Adiabatic Tip
Optimum Shape (Minimum Material) for Triangular Fin
Longitudinal Fin Of Concave Parabolic Profile The differential equation for temperature excess is an Euler equation: L x qb b x=a=0
Optimum Shapes (Least Material) of Parabolic Profile The heat dissipated is: L x And the efficiency is: qb b x=a=0
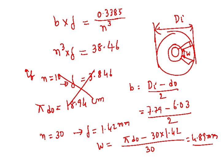
Double Pipe HX with finned inner Tube Equivalent diameter of annulus heat transfer, De:
Longitudinally Welded strip fins
Accounting of Heat Transfer due to strip Fins h, should be resulting heat transfer coefficient on annulus side. Fins with surface area, Afin, communicate as much as heat as an area of tube surface equal to hfin. Afin. Therefore, the total annulus side effective area is Atube + hfin. Afin. The ratio of total surface area to effective surface area is called as overall finned tube efficiency factor.
Effective annulus side overall heat transfer coefficient: Overall Heat Transfer coefficient of finned Double tube HX:
- Slides: 19