Dopplerov efekt Kada su izvor vala i prijemnik

  • Slides: 5
Download presentation
Dopplerov efekt Kada su izvor vala i prijemnik nepokretni u odnosu na sredstvo kroz

Dopplerov efekt Kada su izvor vala i prijemnik nepokretni u odnosu na sredstvo kroz koje se val širi, frekvencija valova koje prijemnik prima jednaka je titranja izvora. frekvenciji Međutim, ako se izvor i prijemnik jedan prema drugome relativno gibaju, tada prijemnik registrira drukčiju frekvenciju od one koju ekitira izvor. Ta se pojava zove: Dopplerov efekt.

Razlikujemo dva slučaja: i) Izvor miruje, a detektor se giba brzinom vd ii) Izvor

Razlikujemo dva slučaja: i) Izvor miruje, a detektor se giba brzinom vd ii) Izvor se giba brzinom vi, a detektor miruje i) ii) http: //eskola. hfd. hr/inter_fizika/classes/dopl. htm http: //eskola. hfd. hr/inter_fizika/proba/phe/dopplereff. htm

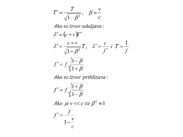
Dopplerov efekt za elektromagnetske valove Prema prvom postulatu specijalne teorije relativnosti, brzina svjetlosti jednaka

Dopplerov efekt za elektromagnetske valove Prema prvom postulatu specijalne teorije relativnosti, brzina svjetlosti jednaka je u svim inercijalnim referentnim sustavila i ne ovisi o gibanju izvora ili detektora. Neka u sustavu S izvor EM valova miruje i emitira val frekvencije f. Opažač u tom sustavu izmjerit će period T, valnu duljinu i brzinu c. Opažač u sustavu S’, koji se prema sustavu S giba relativnom brzinom v, izmjerit će frekvenciju f’, period T’, valnu duljinu ’ ali jednaku brzinu c.

Dopplerov efekt se opaža i proučavanju svjetlosti koja dolazi sa zvijezda. Frekvencija spektralnih linija

Dopplerov efekt se opaža i proučavanju svjetlosti koja dolazi sa zvijezda. Frekvencija spektralnih linija u toj svjetlosti neznatno se razlikuje od frekvencija dobivenih od istih elemenata na Zemlji. Mjereći taj pomak, možemo odrediti smjer i brzine gibanja zvijezde. Ako se npr. Zvijezda približava Zemlji, frekvencija je veća nego kad zvijezda miruje.