Do Now Find the square roots 1 16


































- Slides: 34
Do Now Find the square roots 1. √ 16 2. √ 36 3. √ 81 4. √ 49 5. √-25 6. √ 32
When it’s hip to “b 2” Given quadratic equations, students will find solutions using the quadratic formula.
Quadratic formula: X =
(I DO) Simplify: 8 +/- √ 48 4 8 +/- 4√ 3 4 2 +/- √ 3 √ 48 √ 16 √ 3 4 √ 3
Simplify: 1. 4 +/- √ 50 2 2. 3 +/- √ 32 4 3. -8 +/- √ 48 6 4. -1 +/- √ 14 -6
Quadratic Formula Now let’s try plugging in the information and simplify. SOLVE: 1. 5 x 2 + 3 x - 1 = 0 2. 2 x 2 - 7 x + 2 = 0
RESPONSE CARDS Simplify: -8 +/- √ 48 6
Can this be simplified? Thumbs up or down 3 +/- √ 32 4
RESPONSE CARDS Simplify: 2 +/- √ 33 4
RESPONSE CARDS Simplify: -1 +/- √ 14 -6
Tell your partner what are the 4 ways to find a solution to a quadratic equation? • • 1. Graphing 2. X-Puzzle (Factoring) 3. Square Root 4. Completing the square
Given: 2 x 2 - 5 x + 4 = 0 How do we find the solutions? 8 NO ANSWER! -5 What do we do?
Quadratic formula: X =
The Party • • • A negative boy Wasn’t sure whether or not To go to this radical party Instead the boy was square And he missed out on 4 awesome chicks • But it was all over at 2 am
A negative boy -b
Wasn’t sure whether or not ±
To go to this radical party √
Instead he was square ² b
And he missed out on 4 awesome chicks - 4 ac
But it was all over at 2 am 2 a
When do we use the Q. F. ? When trying to find solutions: First try: x - puzzle - Uh oh! x-puzzle doesn’t work! Second try: quadratic formula Write a sentence in your own words describing when to use the Q. F.
Example 1: 2 x 2 - 5 x + 4 = 0 a=2 -(-5) b = -5 c=4 (-5)2 (2)(4)
Example 3: 5 x 2 + 4 x - 2 = 0 a=5 b=4 -(4) c = -2 (4)2 (5)(-2)
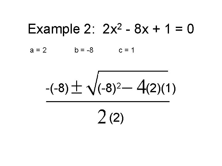
Example 2: 2 x 2 - 8 x + 1 = 0 a=2 -(-8) b = -8 c=1 (-8)2 (2)(1)
-(-8)2 (2)(1) (2) Solutions!
Quadratic Formula Comic • Fold paper into 6 boxes • Each box is part of the quadratic formula • Draw a picture to represent each part of the party • Due by Thurs/Friday
Example 4: a=3 -(-5) b = -5 2 3 x - 5 x + 1 = 0 c=1 (-5)2 (3)(1)
T. O. D. 1. Simplify: 4 +/- √ 24 2 2. Write the quadratic formula.
ALGEBRA 1 P GAME PLAN Date 3/23/11 Wednesday Section / Topic Notes #118: 9 -7 a: Quadratic formula Lesson Goal STUDENTS WILL SIMPLIFY RADICALS & KNOW THE QUADRATIC FORMULA ON A T. O. D. Algebra California Standard 19. 0 Students know the quadratic formula and are familiar with its proof by completing the square. Homework #118 COPY THE QUADRATIC FORMULA ? X Announcements • Chapter 9 Quadratics Test: Next Wed, 3/30
Do Now 1. What are the solutions of 5 x 2 + 6 x = - 1? 2. What are the x-intercepts of 2 x 2 – 5 x + 4 = 0?