Do Now A tennis ball is dropped from
Do Now A tennis ball is dropped from the top of a building. It strikes the ground 6 seconds after being dropped. (a)How high is the building? (b) What is the speed of the ball the instant it strikes the ground?
An object near the surface of planet X falls freely from rest and reaches a speed of 12. 0 meters per second after it has fallen 14. 4 meters. What is the acceleration due to gravity on planet X?
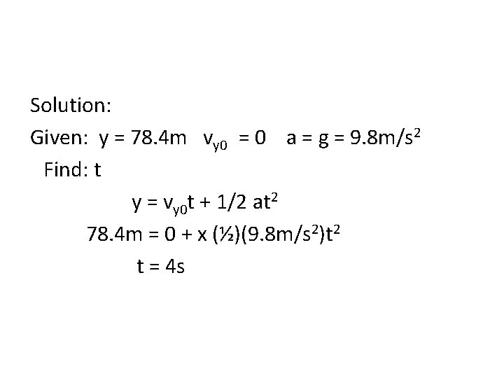
Do Now Anna drops a ball from rest from the top of 78. 4 meter high cliff. How much time will it take for the ball to reach the ground?
Solution: Given: y = 78. 4 m vy 0 = 0 a = g = 9. 8 m/s 2 Find: t y = vy 0 t + 1/2 at 2 78. 4 m = 0 + x (½)(9. 8 m/s 2)t 2 t = 4 s
What is Projectile Motion?
Projectile Motion • Two-dimensional motion of an object – Vertical – Horizontal
Horizontal Projectile Motion In a projectile motion, vertical motion and horizontal motion can be treated separately. Vertical – like free fall Horizontal – 0 acceleration (constant velocity)
Suppose a rescue airplane drops a relief package while it is moving with a constant horizontal speed at an elevated height. Assuming that air resistance is negligible, where will the relief package land relative to the plane? a. below the plane and behind it. b. directly below the plane c. below the plane and ahead of it
Projectile Motion It can be understood by analyzing the horizontal and vertical motions separately.
Projectile Motion The speed in the x-direction is constant; in the ydirection the object moves with constant acceleration g. This photograph shows two balls that start to fall at the same time. The on the right has an initial speed in the x-direction. It can be seen that vertical positions of the two balls are identical at identical times, while the horizontal position of the yellow ball increases linearly.
Do Now Fred throws a baseball 42 m/s horizontally from a height of two meters. How far will the ball travel before it reaches the ground?
A movie stunt driver on a motorcycle speeds horizontally off a 50. 0 -m-high cliff. How fast must the motorcycle leave the cliff top to land on level ground below, 90. 0 m from the base of the cliff where the cameras are? Ignore air resistance.
Do Now A cannonball is launched at 650 m/s off a cliff 5 m high. What is it final horizontal velocity?
A cannonball is launched horizontally from the top of an 78. 4 -meter high cliff. How much time will it take for the ball to reach the ground?
A rock is thrown horizontally off a 100 m cliff. It lands 95 m away. At what speed was it thrown?
Projectile A is launched horizontally at a speed of 20 meter per second from the top of a cliff and strikes a level surface below, 3. 0 seconds later. Projectile B is launched horizontally fro the same location at a speed of 30 meters per second. The time it takes projectile B to reach the level surface is A) 4. 5 s B) 2. 0 s C) 3. 0 s D) 10 S
The wrong strategy. A boy on a small hill aims his water-balloon slingshot horizontally, straight at a second boy hanging from a tree branch a distance d away. At the instant the water balloon is released, the second boy lets go and falls from the tree, hoping to avoid being hit. Show that he made the wrong move. (He hadn’t studied physics yet. ) Ignore air resistance.
The above information can be summarized by the following table. Forces (Present? - Yes or No) (If present, what dir'n? ) Horizontal Motion Vertical Motion No Yes The force of gravity acts downward Acceleration (Present? - Yes or No) No (If present, what dir'n? ) Yes "g" is downward at 9. 8 m/s/s Velocity (Constant or Changing? ) Changing (by 9. 8 m/s each second) Constant
The cannonball launched by a cannon from the top of a very high cliff.
The cannonball launched by a cannon from the top of a very high cliff.
The cannonball launched by a cannon from the top of a very high cliff.
Do Now An arrow is released at 30 degrees above the horizontal at 50 m/s. Find its horizontal and vertical component of initial velocity.
Ground (Angled) Projectiles For objects launched at an angle, we need to determine the initial velocity in both the horizontal and vertical directions first. Vx 0 =V 0 cosθ Vy 0 =V 0 sinθ
The time of flight of a projectile is twice the time to rise to the peak.
A cannonball is launched from level ground at an angle of 300 above the horizontal with an initial velocity of 26 m/s. How far does the cannonball travel horizontally before returning with the ground?
An arrow is released at 30 degrees above the horizontal at 50 m/s and travels 750 m. When does it land?
Class Exercise An object is fired from the ground at 100 meters per second at an angle of 30 degrees with the horizontal üCalculate the horizontal and vertical components of the initial velocity üAfter 2. 0 seconds, how far has the object traveled in the horizontal direction? üHow high is the object at this point?
Solution • Part a • Part b • Part c
Do Now Megan hits a golf ball with a velocity of 25 m/s at an angle of 60°to the horizontal. Answer following questions. a)What is the horizontal initial velocity? b)What is the vertical initial velocity? c)How long does it take for the ball reach its highest point? d)How long does it take for the ball return to the ground? e)Calculate the total horizontal distance traveled by the ball. f)What is the peak height of the ball?
Solution a) Vx 0 = v 0 cosΘ = (25 m/s) cos 60°= 12. 5 m/s b)Vy 0 = v 0 sinΘ = (25 m/s) sin 60°= 21. 7 m/s c) vy = vy 0 + gtup vy = 0 g=9. 8 m/s 2 0 = 21. 7 m/s + (-9. 8 m/s 2) tup = 2. 21 s d) ttotal = 2 tup = 2 x (2. 21 s) = 4. 42 s e) dx = vx 0 t = (12. 5 m/s)(4. 42 s) = 55. 2 m f) h = vy 0 t +1/2· g·t 2 = (21. 7 m/s) x (2. 21 s) + 1/2 (-9. 8 m/s 2) x (2. 21 s)2 = 23. 9 m
Projectile Motion If an object is launched at an initial angle of θ 0 with the horizontal, the analysis is similar except that the initial velocity has a vertical component.
The projectile is launched upward at an angle to the horizontal
Do Now A ball is kicked at an angle 30° to the horizontal and velocity of 30 m/s. Answer following questions. a)What is the horizontal initial velocity? b)What is the vertical initial velocity? c)How long does it take for the ball reach its highest point? d)How long does it take for the ball return to the ground? e)Calculate the total horizontal distance traveled by the ball. f)What is the peak height of the ball?
Projectile Motion • Any object that is moving through the air affected only by gravity is called a projectile. • The path a projectile follows is called its trajectory. • The projectile moves along a parabolic trajectory.
Range of projectile The distance a projectile travels horizontally is called its range. The range, dx increase when Ɵ increase from 0° to 45°. dx decrease when Ɵ increase from 45° to 90°. In other words, dx will reach the maximum when the angle is 45°.
PROJECTILE MOTION - SUMMARY • Projectile motion is motion with a constant horizontal velocity combined with a constant vertical acceleration. • The projectile moves along a parabolic trajectory.
Projectile Motion • The trajectory of a thrown basketball follows a special type of arch-shaped curve called a parabola. • The distance a projectile travels horizontally is called its range.
Conceptual notions about projectiles. • A projectile is any object upon which the only force is gravity. • Projectiles travel with a parabolic trajectory due to the influence of gravity. • There are no horizontal forces acting upon projectiles and thus no horizontal acceleration. • The horizontal velocity of a projectile is constant (a never changing in value). • There is a vertical acceleration caused by gravity; its value is 9. 8 m/s/s, down. • The vertical velocity of a projectile changes by 9. 8 m/s each second. • The horizontal motion of a projectile is independent of its vertical motion.
Gravity-Free Environment
Gravity Environment
Solving Problems Involving Projectile Motion 1. Read the problem carefully, and choose the object(s) you are going to analyze. 2. Draw a diagram. 3. Choose an origin and a coordinate system. 4. Decide on the time interval; this is the same in both directions, and includes only the time the object is moving with constant acceleration g. 5. Examine the x and y motions separately.
The cannonball launched by a cannon from the top of a very high cliff.
The answer is the same as the “Do Now”. Remember: Perpendicular components of motion are independent of each other.
A football is kicked at an angle θ 0 = 30° with a velocity of 20. 0 m/s, as shown. Calculate (a) the maximum height, (b) the time of travel before the football hits the ground, (c) how far away it hits the ground, (d) the velocity vector at the maximum height, and (e) the acceleration vector at maximum height. Assume the ball leaves the foot at ground level, and ignore air resistance and rotation of the ball.
Projectile Motion A projectile is an object moving in two dimensions under the influence of Earth's gravity; its path is a parabola.
A projectile is any object which once projecte or dropped continues in motion by its own inertia and is influenced only by the downwa force of gravity.
Projectile Motion Most important, the horizontal component of motion for a projectile is completely independent of the vertical component of motion. Each component is independent of the other. Their combined effects produce the variety of curved paths that projectiles follow.
Where does the apple land? A child sits upright in a wagon which is moving to the right at constant speed as shown. The child extends her hand throws an apple straight upward (from her own point of view), while the wagon continues to travel forward at constant speed. If air resistance is neglected, will the apple land (a) behind the wagon, (b) in the wagon, or (c) in front of the wagon?
- Slides: 52