Ditemukan oleh Piere Simon Maequis de Laplace tahun















![Some useful Laplace transforms f(t) F(s)=L[f(t)] Some useful Laplace transforms f(t) F(s)=L[f(t)]](https://slidetodoc.com/presentation_image/1092c134c3614762f3b27cfe31fadb50/image-16.jpg)
![Some useful Laplace transforms f(t) F(s)=L[f(t)] Some useful Laplace transforms f(t) F(s)=L[f(t)]](https://slidetodoc.com/presentation_image/1092c134c3614762f3b27cfe31fadb50/image-17.jpg)













![Laplace transform properties • Translation a) if F(s)=L[f(t)] Example Laplace transform properties • Translation a) if F(s)=L[f(t)] Example](https://slidetodoc.com/presentation_image/1092c134c3614762f3b27cfe31fadb50/image-31.jpg)





























- Slides: 60
• Ditemukan oleh Piere Simon Maequis de Laplace tahun (1747 -1827) seorang ahli astronomi dan matematika Prancis • Menurut; fungsi waktu atau f(t) dapat ditranspormasi menjadi fungsi komplek atau F(s) – Dimana s bilangan komplek dari s = + j 2 pf atau + j • = frekuensi neper = neper/detik • = frekuensi radian = radian/detik
• Hasil TL dari f(t) di beri nama F(s) • Tanda TL diberikan dengan fungsinya di tulis £ atau L, dan f(t): nilai komplek dari fungsi sebuah fariabel t F(s): Nilai komplek dari fungsi sebuah fariabel s
Inverse Transformasi Laplace • Inverse (Bilateral) Transform • Notation F(s) = L{f(t)} f(t) = L-1{F(s)} variable t tersirat untuk L variable s tersirat untuk L-1
Contoh: Transpormasi Laplace 1. f(t) = A – Jawab
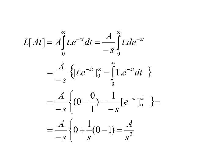
Contoh 2. f(t) = At Jawab Dibantu dengan formula integral partsiel yaitu
• Contoh 3 f(t) = e-at jawab
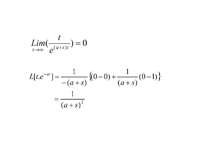
• Contoh 4 : f(t) = t. e-at
5. 6. 7. 8. f(t) = Sin( t) f(t) = Cos ( t) f(t) = Sin( t+ ) f(t) = e-at. Sin( t)
• Contoh 9; • f(0+) artinya harga nol untuk fungsi, jika didekati dari arah positif
• Contoh 10;
f(t) L(f) 1 1 1/s 7 cos t 2 t 1/s 2 8 sin t 3 t 2 2!/s 3 9 cosh at 4 tn 10 sinh at 11 eat cos t 12 eat sin t f(t) (n=0, 1, …) 5 ta (a positive) 6 eat L(f)
Some useful Laplace transforms f(t) F(s)=L[f(t)]
Some useful Laplace transforms f(t) F(s)=L[f(t)]
Laplace Transform Properties • Linear atau Nonlinear? f(t) • Linear operator L F(s)
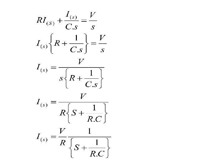
contoh • Seperti gambar disamping, muatan awal kapasitor = 0. Tentukan persamaan arusnya;
• Transpormasi Laplace
• Pembalikan transpormasi laplace • Lihat tabel
Contoh 2 • Gambar RL seperti gambar disamping, jika saklar s di on-kan maka tentukan persamaan arunya
• Persamaan rangkaian • Transpormasi Laplace
• Transpormasi dari cos t
Laplace transform Definition of function f(t) • f(t)=0 for t<0 • defined for t>=0 • possibly with discontinuities • f(t) <Mexp( t)[exponential order] • s: real or complex Definition of Laplace transform f(t) t Examples
Laplace transform Examples Dirac f(t) t
Laplace transform Examples Heaviside f(t) t
Laplace transform Examples Ramp f(t) t
• Linearity Laplace transform properties
Laplace transform properties • Translation a) if F(s)=L[f(t)] Example
Laplace transform properties • Translation f(t) g(t) b) if g(t) = f(t-a) for t>a = 0 for t<a t a Example
Laplace transform properties • Change of time scale Example
Laplace transform properties • Derivatives
Laplace transform properties • Derivatives • If discontinuity in a
Laplace transform properties • Derivatives examples
Remarques sur la dérivation Deux cas à prévoir a) En intégrant parties b) Si f(t) et toutes ses dérivées sont nulles pour t<0, alors on peut ne pas tenir compte des valeurs initiales pour étudier le comportement
Laplace transform properties • Integral
Laplace transform properties Multiplication by t Leibnitz’s rule More general
Laplace transform properties Division by t
Laplace transform properties • Periodic function
Hint
Laplace transform properties Sine and cosine are periodic functions
Laplace transform properties Example f(t) 1 t 0 -1 1 2 3
Laplace transform properties Periodic function
Laplace transform properties Example 1 t 0 1 2 3
Laplace transform properties
Laplace transform properties • Limit behaviour Initial value Exponential order
Laplace transform properties • Limit behaviour Final value
Laplace transform applications RC circuit Equation describing the circuit R e 0. (t) C Laplace transform v(t)
Laplace transform applications Impulse function Impulse response
Laplace transform applications Step function e 0
Laplace transform applications Step function and initial conditions v(0) 0
Laplace transform applications Ramp function
Laplace transform properties (Heaviside) a t
Laplace transform properties a t
Laplace transform properties Limits Initial value Final value
Laplace transform properties Harmonic analysis e(t) E(s) R C v(t) V(s)
Laplace transform properties Forced Transient