Distribusi Probabilitas Weibull 1 Distribusi Probabilitas Weibull 2
Distribusi Probabilitas Weibull 1
Distribusi Probabilitas Weibull 2
Distribusi Probabilitas Weibull (3) Distribusi Weibull digunakan secara luas dalam analisis keandalan yang mengeneralisasi aplikasi distribusi tersebut dengan menyertakan hazard rate yang tidak konstan, meningkat atau menurun, dan mencakup initial failure serta wear-out failures. t 3
Reliability Engineering - Introduction -
Laju Kerusakan ( Failure Rate ) § Dalam masa kerjanya, suatu komponen atau sistem mengalami berbagai kerusakan. Kerusakan – kerusakan tersebut akan berdampak pada performa kerja dan efisiensinya. § Kerusakan – kerusakan tersebut apabila dilihat secara temporer, maka ia memiliki suatu laju tertentu yang berubah – ubah. Laju kerusakan (failure rate) dari suatu komponen atau sistem merupakan dinamic object dan mempunyai performa yang berubah terhadap waktu t ( sec, min, hour, day, week, month and year). § Keandalan komponen / mesin erat kaitannya dengan laju kerusakan tiap satuan waktu. Hubungan antara kedua hal tersebut ditunjukan apabila pada saat t = 0 dioperasikan sebuah komponen kemudian diamati banyaknya kerusakan pada komponen tersebut maka akan didapat bentuk kurva Bath tube seperti pada gambar berikut:
Grafik diatas, yang sering disebut sebagai Bathtub Curve, terbagi menjadi tiga daerah kerusakan, ketiga daerah tersebut adalah: 1. Burn – in Zone (Early Life) Daerah ini adalah periode permulaan beroperasinya suatu komponen atau sistem yang masih baru (sehingga reliability – nya masih 100% ), dengan periode waktu yang pendek. Pada kurva ditunjukan bahwa laju kerusakan yang awalnya tinggi kemudian menurun dengan bertambahnya waktu, atau diistilahkan sebagai Decreasing Failure Rate (DFR). Kerusakan yang terjadi umumnya disebabkan karena proses manufacturing atau fabrikasi yang kurang sempurna 2. Useful Life Time Zone Periode ini mempunyai laju kerusakan yang paling rendah dan hampir konstan, yang disebut Constant Failure Rate (CFR). Kerusakan yang terjadi bersifat random dan dipengaruhi oleh kondisi lingkungan. Ini adalah periode dimana sebagian besar umur pakai komponen atau sistem berada. Dalam analisa, tingkat kehandalan sistem diasumsikan berada periode Useful life time, dimana failure rate - nya konstan terhadap waktu. Asumsi ini digunakan karena pada periode early life time, tidak dapat ditentukan apakah sistem tersebut sudah bekerja sesuai dengan standar yang ditentukan atau belum. Sedangkan pada periode wear out time, tidak dapat diprediksi kapan akan terjadi failure. Pada periode useful life time, dimana failure rate - nya adalah konstan, persamaan reliability yang digunakan:
• 3. Wear Out Zone Periode ini adalah periode akhir masa pakai komponen atau sistem. Pada periode ini, laju kerusakan naik dengan cepat dengan bertambahnya waktu, yang disebut dengan istilah Increasing Failure Rate (IFR). Periode ini berakhir saat reliability komponen atau sistem ini mendekati nol, dimana kerusakan yang terjadi sudah sangat parah dan tidak dapat diperbaiki kembali.
Failure The six pattern of failure (6 pola kegagalan)
Ukuran-ukuran Reliability (Komponen) Reliability Functions (Fungsi Kehandalan) : Misal N component diuji kehandalannya. Setelah waktu t, terdapat Ns buah komponen yang bertahan hidup (survive), dan Nf buah yang gagal (failed), maka peluang survive hingga waktu t adalah : R(t) = reliability function F(t) = unreliability function = fungsi distribusi
• Misalkan time to failure (T) berdistribusi eksponensial dengan parameter , tentukan fungsi reliabilitasnya
Ukuran-ukuran Reliability (Komponen) Reliability Functions (Fungsi Kehandalan) : Distribusi Eksponensial Weibull Gamma f(t) R(t)
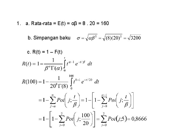
CONTOH : 1. Misalkan sebuah unit memiliki distribusi untuk time to failure (t) adalah G(8, 20) dalam satuan jam. Hitunglah a. Rata-rata dan simpangan baku untuk time to failure unit tersebut? b. Reliabilitas jika time to failure-nya 100 jam c. Reliabilitas jika time to failure-nya 150 jam d. Reliabilitas jika time to failure-nya 240 jam Jawab: Misalkan T = time to failure berdistribusi G(α, β) dengan pdf
1. a. Rata-rata = E(t) = αβ = 8. 20 = 160 b. Simpangan baku c. R(t) = 1 – F(t)
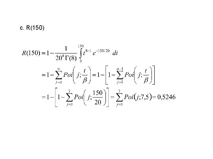
c. R(150)
d. R(240) = ?
Ukuran-ukuran Reliability (Komponen) Failure Rate (Laju Kegagalan) : Laju kegagalan didefinisikan sebagai banyaknya kegagalan per satuan waktu, atau : f = Jumlah kegagalan selama waktu pengujian T = Total waktu pengujian atau f (t) = Probability density function (pdf) R(t) = Reliability function
• Pandang persamaan 4, kalikan dengan dt untuk kedua sisi
• Contoh : Misalkan laju kegagalan (t) = adalah konstanta. Tentukan f(t), F(t) dan R(t) Jawab :
Ukuran-ukuran Reliability (Komponen) Mean Time Between Failure (MTBF) : Jika laju kegagalan (failure rate) selama waktu operasi relatif konstan, maka f = Jumlah kegagalan selama waktu pengujian T = Total waktu pengujian λ = Failure rate (laju kegagaln)
Ukuran-ukuran Reliability (System) Sebuah system biasanya terdiri dari beberapa komponen dimana perhitungan nilai reliabilitasnya ditentukan berdasarkan bentuk RBD (Reliability Block Diagram) RBD tersusun dalam bentuk seri, paralel, atau kombinasi seri dan paralel Radar System
Ukuran-ukuran Reliability (System)
Ukuran-ukuran Reliability (System) Rangkaian Seri 1 2 … n-1 n Sebuah system yang terdiri dari n buah komponen independen yang dirangkai secara seri akan survive selama waktu t, jika dan hanya jika seluruh komponennya survive pada waktu t, dan nilai reliabilitas system-nya adalah
• Contoh : Berapakah reliabilitas masing-masing komponen yang identik dalam suatu sistem yang terdiri dari 6 komponen yang disusun secara seri jika reliabilitas sistem paling sedikit 0, 95? Jawab : Rs (t) ≥ 0, 95 R 1(t). R 2(t). . . R 6(t) ≥ 0, 95 [Ri(t)]6 ≥ 0, 95 Ri(t) ≥ 0, 951/6
Ukuran-ukuran Reliability (System) Rangkaian Paralel 1 2 n Nilai reliabilitasnya : Sebuah system yang terdiri dari n buah komponen independen yang dirangkai secara paralel akan survive selama waktu t, jika terdapat 1 komponen survive pada waktu t
Contoh : • Berapa reliabilitas dari 5 komponen yang identik yang dipasang secara paralel jika sistem harus punya reliabilitas paling sedikit 0, 95 Jawab : Rs (t) ≥ 0, 95
• Series - parallel C 1 C 2 S 1 C 3 C 4 S 2
• Parallel - series C 1 C 2 P 1 C 3 C 4 P 2
• Soal • Sebuah sistem radar angkatan laut dengan MTBF diperkirakan 10. 000 jam. Berapa besar kemungkinan sistem ini bekerja untuk jangka waktu 100 jam, 2000 jam dan 5000 jam • Diketahui : • MTBF = 10. 000 jam
• SOAL LATIHAN 1. Tentukan reliabilitas dari sistem jika 5 komponen identik memiliki reliabilitas masing-masing 0, 9 jika komponen a. Terhubung secara seri b. Terhubung secara paralel 2. Reliabilitas 3 buah komponen adalah 0, 9 ; 0, 88 ; 0, 95. Tentukan reliabilitas sistem jika komponen a. Terhubung secara seri b. Terhubung secara paralel 3. 5 komponen mempunyai reliabilitas 0, 92 ; 0, 89 ; 0, 95 dan 0, 97 terhubung secara seri. Berapakah reliabilitas sistem tersebut?
Ukuran-ukuran Reliability (System) Rangkaian Standby A B Nilai reliabilitasnya : Dalam standby system, hanya satu komponen yang beroperasi, sedangkan satu atau lebih komponen lainnya dalam posisi standby untuk mengambil alih operasi apabila komponen utamanya gagal
Ukuran-ukuran Reliability (System) Rangkaian Standby Untuk kasus 2 buah komponen yang berdistribusi eksponensial dan dirangkai secara standby dengan λA = λB = λ, maka Untuk n komponen dengan failure rate yang sama :
Ukuran-ukuran Reliability (System) 0 5 10 20 50 100 Single component 1. 0 0. 7408 0. 5488 0. 3012 0. 0498 0. 0025 2 component in series 1. 0 0. 5488 0. 3012 0. 0498 0. 0025 0. 0000 2 component in parallel 1. 0 0. 9328 0. 7964 0. 5526 0. 0971 0. 0050 2 component in standby system 1. 0 0. 9630 0. 8781 0. 6626 0. 1992 0. 0175
- Slides: 32