DISTRIBUIES AMOSTRAIS AMOSTRA POPULAO PRINCIPAIS CONCEITOS Inferncia ou

DISTRIBUIÇÕES AMOSTRAIS AMOSTRA POPULAÇÃO PRINCIPAIS CONCEITOS Inferência ou indução estatística: processo de obter informações sobre uma população com base em resultados observados em amostras aleatórias X = variável da população característica de x que se quer conhecer (desconhecido) estimador de obtido à partir da amostra

ESTIMADOR OU ESTATÍSTICA Dada uma amostra aleatória (x 1, x 2, . . . xn) estimador ou estatística é qualquer variável aleatória função dos elemento amostrais. Estimativa = valor numérico de um estimador Distribuição amostral: o parâmetro populacional (por exemplo, a média µ ) é constante – seu valor não se altera de amostra para amostra. O valor na amostra é dependente da amostra selecionada, cada amostra revelará um diferente valor para a média. Como o valor do estimador (as estimativas) variam de amostra para amostra e a inferência estatística baseia-se no estimador, é necessário conhecer a distribuição de probabilidade da amostra. Á partir da distribuição de probabilidade do parâmetro, tem-se condições de avaliar o grau de incerteza das inferências estatísticas realizadas à partir de amostras aleatória.

Processo de construção da distribuição de um estimador Distribuição amostral de n n

DISTRIBUIÇÃO AMOSTRAL DAS MÉDIAS ESTIMADOR DA MÉDIA POPULACIONAL Teorema 1 A média da distribuição amostral das médias, denotada por µ (x), é igual à média populacional µ. Isto é: Teorema 2 Se a população é infinita, ou se a amostragem é com reposição, então a variância da distribuição amostral das médias, denotada por 2(x), é dada por:

Teorema 3 Se a população é finita, ou se a amostragem é sem reposição, então a variância da distribuição amostral das médias, denotada por 2(x), é dada por: Teorema do limite central Se a população tem ou não distribuição normal com média µ e variância 2, então a distribuição das amostras será normalmente distribuída.

ESTIMATIVAS POR PONTO E INTERVALOS DE CONFIANÇA Parâmetros Populacionais Média = µ Desvio padrão = Proporção de determinado evento = p Métodos Estimação: determinação de estimativas dos parâmetros populacionais Testes de Hipóteses: tomada de decisão relativa ao valor de um parâmetro populacional

Estimativa por Ponto Quando com base nos dados amostrais calcula-se um valor da estimativa do parâmetro populacional. A média amostral é uma estimativa por ponto da média populacional. De maneira análoga o desvio padrão amostral constitui uma estimativa do parâmetro . Estimativa por Intervalo Uma estimativa por intervalo para um parâmetro populacional é um intervalo determinado por dois números, obtidos à partir de elementos amostrais que se espera contenham o valor do parâmetro com dado nível de confiança ou probabilidade de (1 - )%. Geralmente (1 - )% = 90%. Se o comprimento do intervalo é pequeno, tem-se um elevado grau de precisão da inferência realizada. As estimativas dessa natureza são denominadas intervalos de confiança.

INTERVALO DE CONFIANÇA PARA A MÉDIA POPULACIONAL 1. Quando a variância é conhecida. Fixando um nível de confiança (1 - ) tem-se: Determinar dois pontos, a=Z 1 e b=Z 2, tais que:

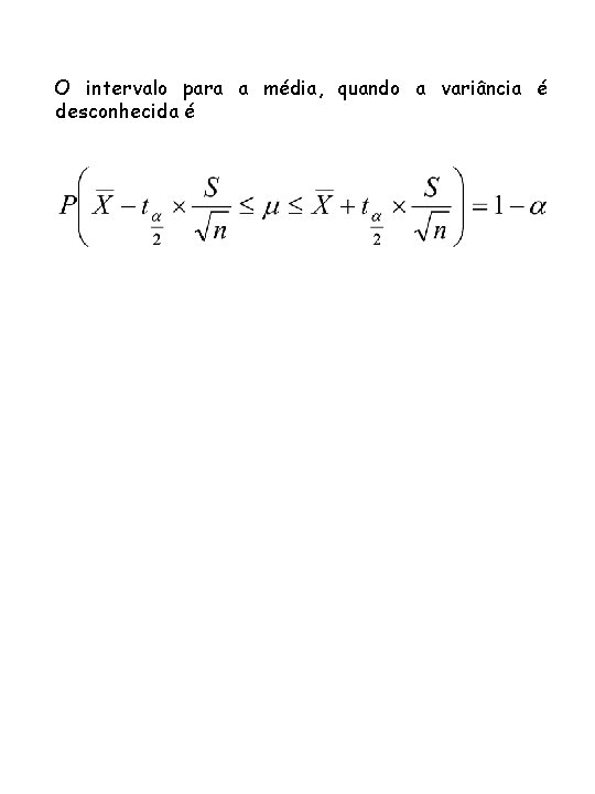
1. Quando a variância é desconhecida. Quando se tem pequenas amostras e não se conhece o valor do desvio padrão populacional, pode construir intervalos de confiança para a média a partir da fórmula expressa a seguir. Para tanto é necessário que a população de onde foi extraída a amostra tenha distribuição normal. Não se pode usar Z, porque é desconhecido. Um procedimento lógico consiste em substituir por S (desvio padrão amostral). Mas qual o efeito de se fazer isso? Se n for grande (n>30, em geral) pode-se mostrar que o efeito é pequeno e tem-se: Ou seja o intervalo de confiança é calculados exatamente como no exemplo anterior substituindo -se por S.

2 Se n<30 o problema não é solúvel no caso geral. Se X~N(µ, 2) o seguinte teorema fornece o resultado pretendido: Seja (X 1, . . . Xn) uma variável aleatória duma população X~N(µ, 2). A variável aleatória tem distribuição t com n-1 graus de liberdade

O intervalo para a média, quando a variância é desconhecida é
- Slides: 11