Distribucin Normal Capitulo 6 La distribucin normal 1
Distribución Normal Capitulo 6
La distribución normal
=1. 5 =1 = 2. 5
Dist. Normal Dist. leptocúrtica Dist. Platicúrtica
Proporciones de una distribución normal • Una población de 1000 pesos • µ= 70 kg. • • ¿Cual proporción de la población tienen un peso de 80 kg o más.
40 50 60 70 80 X, en Kg 90 100
40 50 60 70 80 X, en Kg 90 100
Tabla B. 2 • P(Xi > 80 Kg) = P(Z > 1) = 0. 1587
Resultados • 15. 87%
Distribución de los promedios
El error estandard o desviación estandard del promedio
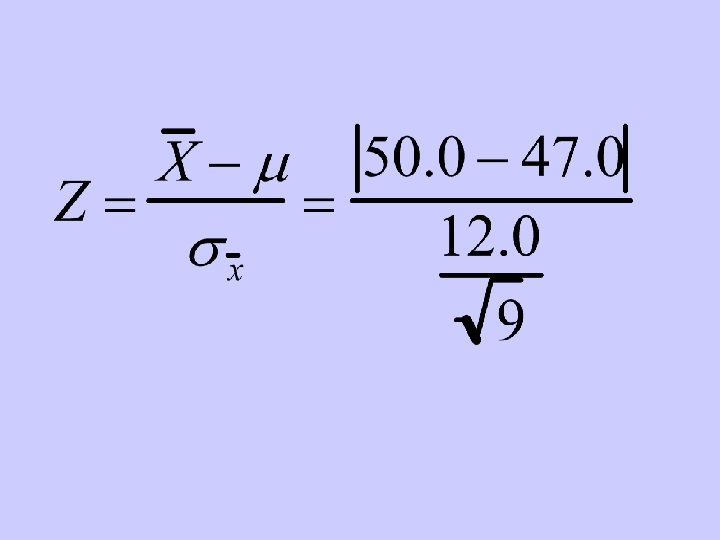
Ejercicio Cual es la probabilidad de obtener un promedio de 50. 0 mm o más grande de una población, con un promedio de 47. 0 mm y una desviación estandard de 12. 0 mm escojiendo un muestreo de 9 datos
Resultado • P(Z>0. 75)=0. 2266 • 22. 66%
2 ndo ejercicio • Cúal es la probabilidad de sacar un promedio de 50 o más si el muestreo es de 25 datos.
Resultado • P(Z<-1. 25) = P(Z>1. 25) = 0. 1057
Introducción a las hipótesis • Ho: hipotesis nula = ninguna diferencia • HA: hipotesis alterna
Ejemplo • Cantidad de CO 2 en el aire detectado por un alarma • • 10 mg/m 3 mencionado por el manufacturero n = 18 muestreo promedio = 10. 43 mg/m 3 error estandard = 0. 24 mg/m 3
Errores probando hipótesis • Ho se rechaza • Ho se acepta • Si Ho es real Si Ho es falso • Error tipo 1 • Ningún error Error tipo II
- Slides: 27