Distancia entre dos secuencias Jukes Cantor posicin j








- Slides: 8
Distancia entre dos secuencias: Jukes - Cantor
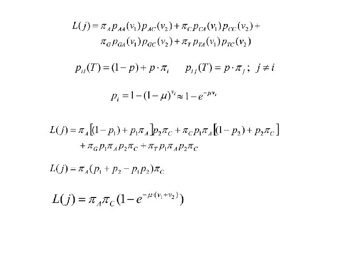
posición j Longitud de tiempo generacional posición j Secuencia 1 Secuencia 2 ¿Con qué probabilidad puede ocurrir que en la secuencias 1 y 2 observadas aparezcan las bases s 1 y s 2 en la posición j, suponiendo que evolucionaron de una secuencia común, y se desconoce la base en la posición j de la secuencia original? De otra forma, cuál es la verosimilitud de las bases s 1 y s 2 en estas dos secuencias? Probabilidad de que la base original sea k Probabilidad de mutar desde k hasta s 1 en el tiempo v 1 Si la secuencia original tiene m sitios entonces Probabilidad de mutar desde k hasta s 2 en el tiempo v 2
posición j Para ver como se calcula la verosimilitud veamos un caso particular Longitud de tiempo generacional posición j Secuencia 1 Recordemos que Secuencia 2
posición j Longitud de tiempo generacional posición j Secuencia 1 Secuencia 2 Este resultado es asombroso, bajo el modelo que hemos aceptado. Nos dice que la verosimilitud de las dos secuencias depende del tiempo v 1 + v 2 y no del valor de la base en el nodo inicial. Dicho de una manera más gráfica: el árbol no tiene raíz (en el proceso de estimación de los parámetros).
Trabajaremos entonces con las dos secuencias Supongamos que m bases Secuencia 1 Secuencia 2 s coincidencias = Mutar y asumir una base No mutar pero elegir la misma base Función de verosimilitud ¿Para qué valor de p esta función de verosimilitud es máxima?
Estimador máximo verosímil Porcentaje de aciertos
Descripción de la distancia de Jukes-Cantor de manera ingenua… Número esperado de mutaciones en el tiempo v Hay 16 posibles mutaciones de las cuales 12 son observables, ¿de acuerdo? A T C G Luego la distancia “mutacional” esperada será