Discrete Mathematics Chapter 6 Advanced Counting Techniques 6

  • Slides: 19
Download presentation
Discrete Mathematics Chapter 6 Advanced Counting Techniques 大葉大學 資訊 程系 黃鈴玲

Discrete Mathematics Chapter 6 Advanced Counting Techniques 大葉大學 資訊 程系 黃鈴玲

6. 1 Recurrence Relations(遞迴關係 ) n Example 1. 令 {an} 表示一個滿足 遞迴式 an=an-1 -an-2

6. 1 Recurrence Relations(遞迴關係 ) n Example 1. 令 {an} 表示一個滿足 遞迴式 an=an-1 -an-2 的數列,其中n=2, 3, …, 假設初始條件 a 0=3及 a 1=5,問a 2, a 3及a 4為多少? Sol a 2 = a 1 -a 0 = 2 a 3 = a 2 -a 1 = -3 a 4 = a 3 -a 2 = -5 Q 1: Applications ? Q 2: Are there better ways for computing the terms of {an}? Ch 6 -2

1個圓盤 peg 1 peg 2 peg 3 H 1 =1 2個圓盤 peg 1 peg

1個圓盤 peg 1 peg 2 peg 3 H 1 =1 2個圓盤 peg 1 peg 2 peg 3 H 2 =3 Ch 6 -7

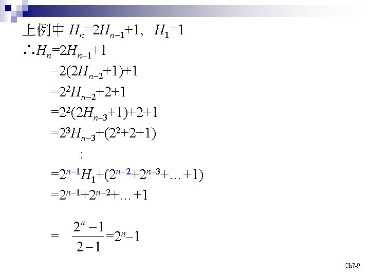
上例中 Hn=2 Hn-1+1, H 1=1 ∴Hn=2 Hn-1+1 =2(2 Hn-2+1)+1 =22 Hn-2+2+1 =22(2 Hn-3+1)+2+1 =23

上例中 Hn=2 Hn-1+1, H 1=1 ∴Hn=2 Hn-1+1 =2(2 Hn-2+1)+1 =22 Hn-2+2+1 =22(2 Hn-3+1)+2+1 =23 Hn-3+(22+2+1) : =2 n-1 H 1+(2 n-2+2 n-3+…+1) =2 n-1+2 n-2+…+1 = =2 n-1 Ch 7 -9

Theorem 1. A 1, A 2, …, An : sets |A 1∪A 2∪…∪An |

Theorem 1. A 1, A 2, …, An : sets |A 1∪A 2∪…∪An | = |A 1|+|A 2|+…+|An| -|A 1∩A 2|-|A 1∩A 3|-…-|An-1∩An| +|A 1∩A 2∩A 3 |+|A 1∩A 2∩A 4 |+…+| An-2∩ An-1∩An| … +(-1)n|A 1∩A 2∩ …∩An | Ch 6 -18