DIENY A POLYENY Pericyklick reakce Woodward Hoffmann pravidla

  • Slides: 37
Download presentation
DIENY A POLYENY

DIENY A POLYENY

Pericyklické reakce Woodward – Hoffmann pravidla odvozena na základě korelace mezi molekulovými orbitaly reaktantů

Pericyklické reakce Woodward – Hoffmann pravidla odvozena na základě korelace mezi molekulovými orbitaly reaktantů a produktů s využitím pravidla zachování orbitalové symetrie (4 q + 2)s + (4 r)a P. reakce je termicky povolena, je-li celkový počet suprafaciálně reagujících (4 q+2) elektronových komponent a antarafaciálně reagujících (4 r) elektronových komponent lichý (q, r jsou celá kladná čísla) supra antara

Pericyklické reakce máme jednu (4 q + 2)s Liché číslo (4 q + 2)s

Pericyklické reakce máme jednu (4 q + 2)s Liché číslo (4 q + 2)s + (4 r)a nemáme žádnou (4 r)a

Pericyklické reakce 1) Cykloadiční reakce 2) Elektrocyklizační reakce 3) Sigmatropní přesmyky

Pericyklické reakce 1) Cykloadiční reakce 2) Elektrocyklizační reakce 3) Sigmatropní přesmyky

LUMO HOMO dienofil

LUMO HOMO dienofil

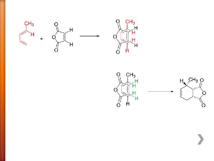
Který dien bude při D. - A. reakci s benzochinonem reaktivnější?

Který dien bude při D. - A. reakci s benzochinonem reaktivnější?

reaktivní dieny nereaktivní dieny

reaktivní dieny nereaktivní dieny

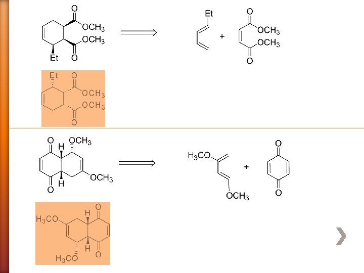
Regioisomery u Diels-Alderovy reakce

Regioisomery u Diels-Alderovy reakce

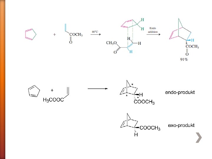
Jak nakreslit endo produkt

Jak nakreslit endo produkt

endo

endo

Vysvětlete a zapište mechanismus

Vysvětlete a zapište mechanismus

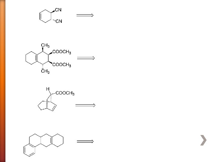
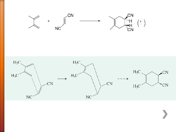
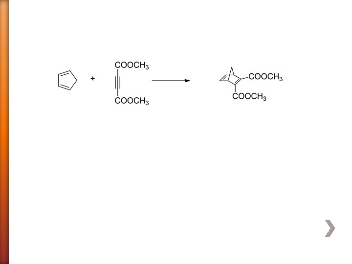
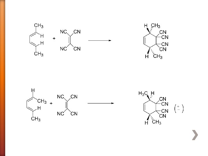
Cykloadiční reakce

Cykloadiční reakce

Cykloadiční reakce

Cykloadiční reakce

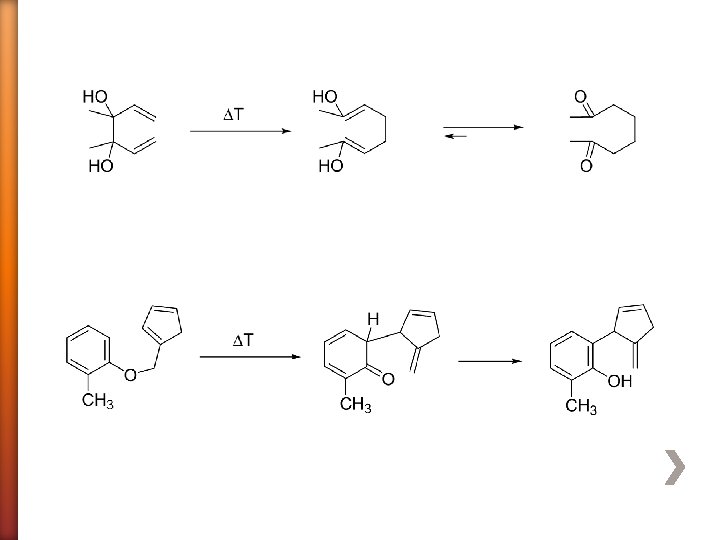
Elektrocyklizační reakce DT HOMO hn

Elektrocyklizační reakce DT HOMO hn

Elektrocyklizační reakce preference tvorby cyklického produktu

Elektrocyklizační reakce preference tvorby cyklického produktu

tvorba cyklického produktu není preferována z důvodu pnutí kruhu

tvorba cyklického produktu není preferována z důvodu pnutí kruhu

Sigmatropní přesmyky Copeho přesmyk preference více substituovaného alkenu

Sigmatropní přesmyky Copeho přesmyk preference více substituovaného alkenu

Claisenův přesmyk

Claisenův přesmyk

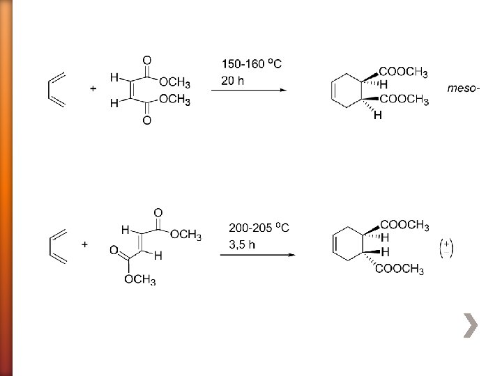
Doplňte produkty reakcí

Doplňte produkty reakcí