DETERMINAN 1 Pengertian Determinan 2 Perhitungan Determinan Matriks
























- Slides: 24
DETERMINAN 1. Pengertian Determinan 2. Perhitungan Determinan Matriks Bujur Sangkar 3. Sifat-sifat Determinan 4. Menghitung Determinan Menggunakan Sifat-Sifat Determinan 5. Aplikasi Determinan pada Geometri 6. Latihan Soal 1
1. Pengertian Determinan v. Determinan adalah nilai real yang dihitung berdasarkan nilai elemen-elemennya, menurut rumus tertentu. vsimbol det(A) atau |A|. v. Jika nilai det(A)=0, maka matriks bujur sangkar tersebut singular, artinya tidak memiliki invers, v. Jika nilai det(A) 0, maka berarti matriks A tersebut nonsingular, yaitu matriks tersebut punya invers. 2
2. PERHITUNGAN DETERMINAN MATRIKS BUJUR SANGKAR A. DETERMINAN MATRIKS ORDO 2 X 2 det(A) = 3
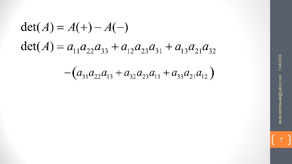
B. DETERMINAN MATRIKS ORDO 3 x 3 metode Sarrus 1. Salin kembali kolom ke 1 dan ke 2 kemudian ditempatkan disebelah kanan tanda determinan. 4
destyrakhmawati@yahoo. com 12/4/2020 2. Hitunglah jumlah hasil kali elemen-elemen pada diagonal utama, dan diagonal lain yang sejajar dengan diagonal utama. Nyatakan jumlah hasil kali dengan (+). 5
12/4/2020 destyrakhmawati@yahoo. com 3. Hitunglah jumlah hasil kali jumlah elemen-elemen pada diagonal sekunder dan diagonal lain yang sejajar dengan diagonal sekunder. Nyatakan jumlah hasil harga tersebut dengan A(-). 6
7 destyrakhmawati@yahoo. com 12/4/2020
D. Determinan Matriks Ordo n x n Determinan matriks Ordo n x n dihitung menggunakan teorema Laplace. destyrakhmawati@yahoo. com Jika Aij : matriks A dengan elemen-elemen baris ke-i dan elemen-elemen kolom ke-j dibuang. maka : minor Aij = det (Aij) dan kofaktor Aij = det (Aij). 12/4/2020 C. Minor dan Kofaktor 8
Contoh Minor dan Kofaktor Andaikan A berdimensi n, determinan dari submatriks yg berdimensi (n-1) disebut minor. Andaikan A = M 11 = a 12 a 13 a 21 a 22 a 23 a 31 a 32 a 33 a 22 a 23 a 32 a 33 = a 22 a 33 – a 23 a 32 M 32 = a 11 a 13 a 21 a 23 = a 11 a 23 – a 13 a 21 Untuk matriks A berdimensi 3 tersebut ada berapa minor ? destyrakhmawati@yahoo. com a 11 12/4/2020 Mrs : minor dari submatriks dng menghilangkan baris ke r kolom ke s. Matriks tersebut mempunyai 9 minor 9
Kofaktor yang berhubungan dengan minor Mrs adalah Crs = (-1)r+s Mrs. C 12 = (-1)1+2 M 12 = (-1)3 C 13 = (-1)4 M 13 = C 21 = (-1)3 M 21 = - = 1 (7) = 7 = (-1) (9) = -9 = 5 C 23 = - M 23 = 0 C 31 = M 31 = 7 C 32 = - M 32 = - 9 = 0 10 C 33 = M 33 = 5 C 22 = M 22 = 0 destyrakhmawati@yahoo. com C 11 = (-1)1+1 M 11 = (-1)2 12/4/2020 A =
Teorema Laplace: , dengan j sembarang disebut ekspansi kolom ke-j. dan Kof(Aij) adalah kofaktor dari Aij destyrakhmawati@yahoo. com , dengan i sembarang disebut ekspansi baris ke j 12/4/2020 det (A) = jumlah perkalian elemen-elemen dari sembarang baris/kolom dengan kofaktor-faktornya. 11
12/4/2020 destyrakhmawati@yahoo. com Contoh menghitung determinan dengan teorema laplace dengan ekspansi kolom ke 1 12
12/4/2020 destyrakhmawati@yahoo. com Contoh menghitung determinan dengan teorema laplace dengan ekspansi baris ke 1 13
destyrakhmawati@yahoo. com 12/4/2020 3. Sifat-sifat Determinan 14
4. Menghitung Determinan menggunakan Sifat -Sifat Determinan 1. Determinan dari matriks dan transposenya adalah sama; |AT| = |A| |AT| = = 26 12/4/2020 = 26 Akibatnya : semua sifat determinan berlaku secara baris / dan secara kolom. 2. Matriks persegi yang mempunyai baris (kolom) nol, determinannya nol (0). det(B) = = 0 det(C) = = 0 destyrakhmawati@yahoo. com |A| = 15
3. Determinan dari suatu matriks persegi A yang salah satu baris (kolom) dikalikan dengan skalar k, maka determinannya berubah menjadi k A Jika baris kedua dikalikan dengan 7 = 35 = 7 |A| Akibat sifat ini : = 7 12/4/2020 |A| = 5 = 7 (5) = 35 Suatu determinan jika salah satu baris (kolom) mempunyai faktor yang sama, maka sudah dapat difaktorkan. = 3 = 4 destyrakhmawati@yahoo. com |A| = 16
4. Determinan suatu matriks yang salah satu baris (kolom) nya ditukar dengan baris (kolom) yang lain, maka nilai determinan matriks tersebut berubah menjadi negatif determinan semula. Baris pertama ditukar baris kedua = – 31 5. Determinan dari suatu matriks persegi yang mempunyai dua baris (kolom) yang sama adalah sama dengan 0 (nol). = 0 destyrakhmawati@yahoo. com 12/4/2020 = 31 17
6. Determinan dari suatu matriks persegi yang salah satu barisnya (kolomnya) merupakan kelipatan dari baris (kolom) yang lain adalah sama dengan 0 (nol). 7. Determinan dari matriks persegi A = (aij) berdimensi n yang baris ke -i (kolom ke-j) terdiri dari elemen-elemen yang dapat diuraikan menjadi dua suku binomium, maka determinannya sama dengan determinan A yang baris ke-i (kolom ke-j) diganti dengan suku binomium yang pertama ditambah determinan A yang baris ke-i (kolom ke-j) diganti dengan suku yang kedua. = = + 12/4/2020 Karena kolom ke dua kelipatan kolom ke empat, |B| = 0 destyrakhmawati@yahoo. com |B| = 18 +
= 11 Jika b 1 – b 2 = 11 destyrakhmawati@yahoo. com Jika k 2 + 3 k 1 Sifat ke 8 ini sering dipakai untuk menyederhanakan baris (kolom), sebelum menghitung nilai determinan 9. Determinan dari matriks segitiga adalah sama dengan produk (hasil kali) elemen-elemen diagonalnya. = (3)(-1)(5) = - 15 12/4/2020 8. Determinan suatu matriks persegi tidak berubah nilainya jika salah satu baris (kolom) ditambah dengan kelipatan baris (kolom) yang lain. = (-3)(-2)(4)(1) = 24 19
Gunakan sifat determinan untuk menghitung : b 3 – 2 b 1 b 3 + 3 b 2 = (1)(-1)(3) = - 3 Petunjuk umum : Gunakan sifat ke 8, untuk mereduksi matriks menjadi matriks segitiga; kemudian gunakan sifat ke 9 destyrakhmawati@yahoo. com 12/4/2020 b 2 + 3 b 1 20
Submatriks / matriks bagian : Menghilangkan baris pertama diperoleh submatriiks : destyrakhmawati@yahoo. com A = 12/4/2020 Matriks yang diperoleh dengan menghilangkan beberapa baris dan/atau beberapa kolom dari suatu matriks Menghilangkan baris kedua dan kolom ketiga diperoleh submatriks : 21 dan sebagainya.
5. APLIKASI DETERMINAN PADA GEOMETRI Persamaan Garis Lurus yang Melewati Dua Titik 22
23
Persamaan Bidang Datar yang Melewati Tiga Titik 24