Des Expressions Radicaux est la racine positive de
































- Slides: 32
Des Expressions Radicaux • est la racine positive de a, et est la racine négative de a parce que • Si a est un nombre positif qui n’est pas un carré parfait, alors la racine carrée de a est irrationnel. • Si a est un nombre négative, alors sa racine carrée n’est pas un nombre réel. • Pour tout nombre réel a:
La nième racine • La nième racine de a: ets la nième racine de a. Cette une valeur qui, à la puissance de n, est égale à a: • n est l’ordre du radical. • Exemple:
L’ordre des radicaux • La racine d’une puissance: – Si n est pair, alors – Si n est impair, alors • La nième racine d’un nombre négative: – Si n est pair, alors la nième racine n’est pas un nombre réel – Si n est impair, alors la nième racine est négative.
Le graphique d’une fonction de racine carrée (0, 0) Quel est le lien entre cela et le graphique de y = x 2 ?
Les exposants rationnels • Définitions: • Toutes les règles d’exposants s’appliquent aux exposants rationnels.
Des erreurs à éviter avec des exposants rationnels • Faites les corrections nécessaires:
Simplifier des puissances • Exemples:
Comment simplifier des expressions radicaux: • Révision: Expressions vs. Équations: – Expressions 1. 2. 3. – Pas de signe d’égalité Simplifie (pas Résous) Simplifie les fractions en éliminant des facteurs communs. Équations 1. 2. 3. Signe d’ègalité Résous (pas Simplifie) Isole la variable en faisant des opérations inverses sur les deux côtés.
Règles pour simplifier des expressions radicaux • Règle de produit: • Règles de quotient:
Exemples • Exemple:
• Simplifier les radicaux: 1. Si tu peux simplifier les radicaux, fais-le! 2. Pas de fraction comme radicande. 3. Pas de radical dans un dénominateur. 4. On peut simplifier des exposants rationnels.
Les binômes conjugués • Une méthode pour simplifier des expressions radicaux
Les binômes non-conjugués
Les binômes conjugués
Les binômes conjugués: essai # 1 EEEK!
Hmmm… un autre essai… EEEK!
Les binômes conjugués
Essais toi-même!
Simplifier les expressions avec des radicaux: • Exemple:
On peut seulement combiner des nombres radicaux qui ont la même radicande.
Attention! • Simplification fausse:
Multiplier et diviser des nombres radicaux Multiplication avec PIED • Exemple:
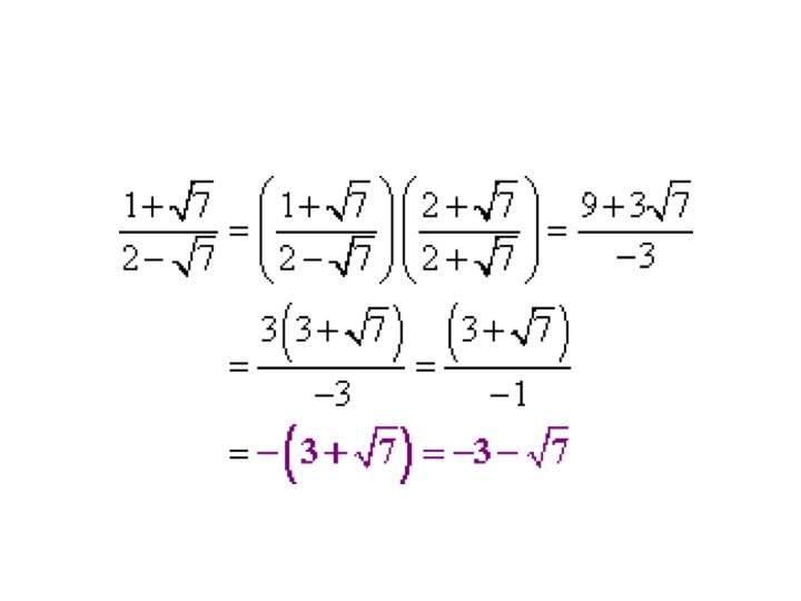
Simplifier avec le binôme conjugué
Résoudre des équations avec nombres radicaux • Méthode: 1. Isoler le nombre radical (ou au moins un, s’il y en a plusieurs). 2. Prendre le carré des deux côtés de l’équation 3. Combiner les termes semblables 4. Répéter étapes 1 à 3 pour éliminer tous les radicaux 5. Résoudre l’équation 6. Vérifier les solutions pour éliminer les racines étrangères.
Exemple Résous. Ajoute 1 au deux côtés: Prends le carré: Soustrais 3 x + 7: Factorise (Résous) Donc x = -2 et x = 3, mais seulement x = 3 est une vraie racine. (Vérifie)
Les nombres complexes • Définition: • Nombre complexe: un nombre qui a la forme a + bi où a et b sont réels + / - des termes semblables (réels et imaginaires) Multiplication: PIED • •
Des nombres complexes • Exemples:
Binôme conjugué complexe • Le conjugué complexe de a + bi est a – bi On peut multiplier un binôme par son conjugué: • On peut utiliser le conjugué pour faire la division aussi! (tout comme rationaliser le dénominateur)
Des nombres complexes et la division Divise:
Les radicaux et la distance • La formule pour la distance entre 2 points (x 1, y 1) et (x 2, y 2) est: