DERIVADA DE UNA FUNCION SEGUNDA PARTE MAGISTER DANIEL






















- Slides: 22
DERIVADA DE UNA FUNCION SEGUNDA PARTE MAGISTER : DANIEL SAENZ CONTRERAS CANDIDATO A DOCTOR EN EDUCACION
Regla de la cadena
Por ejemplo, encuentre la derivada de la función Determinamos Sustituimos en la expresión de la regla de la cadena
Cuando la función queda en la forma La regla de la cadena se toma en la forma
Ejemplo uno, aplicar la regla de la cadena para encontrar la derivada de
Ejemplo uno, aplicar la regla de la cadena para encontrar la derivada de
DERIVADA DE UNA FUNCIÓN PRODUCTO Sean U , V funciones de la variable x, las cuales son derivables. Si la función F se define como Entonces la derivada de la función f con respecto a x es La cual se trabaja normalmente en la forma
Reemplazando en la formula
Reemplazando en la formula
Desarrollo del pensamiento matemático
DERIVADA DE UNA FUNCIÓN RACIONAL Sean U , V funciones de la variable x, las cuales son derivables. Si la función F se define como Entonces la derivada de la función con respecto a x es
Para determinar la derivada de una función racional, se sigue un proceso similar al empleado en la determinación de la derivada de un producto Ejemplo. Determine la derivada de la siguiente función Primero. llamamos Segundo. Encontramos las derivadas
Tercero. Sustituimos en la formula
Ejemplo. Determine la derivada de la siguiente función Primero. llamamos Segundo. Encontramos las derivadas
Tercero. Sustituimos en la formula
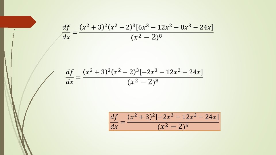
Ejemplo. Determine la derivada de la siguiente función Primero. llamamos Segundo. Encontramos las derivadas
Tercero. Sustituimos en la formula
Desarrollo del pensamiento matemático Aplica la definición para determinar la derivada de las siguientes funciones
Referentes bibliográficos STEWART, JAMES. Calculo: conceptos y contextos. Thomson editores. . MEXICO LEITHOD, LOUIS, “El Calculo”, séptima edición. Editorial Harla. . México EDWARDS, C. H. Y D. E. PENNEY. Cálculo y Geometría Analítica. Cuarta edición. PHH. ico LARSON, HOSTETLER y Edwars. Cálculo y Geometría Analítica. Sexta Edición. . Mc. Graw Hill. México TAKEUCHI. YU Sucesiones y Series. Tomo I y II. Editorial Limusa. . México STEFAN WANER, Calculo aplicado, segunda edición, México