DERET BILANGAN Deret bilangan bentuk umum Un u
DERET BILANGAN: Deret bilangan bentuk umum Un= u 1 + u 2+ u 3+ u 4, …………. + un… un = suku umum deret Sn = u 1 + u 2+ u 3+ u 4, …………. + un = jumlah n suku pertama deret Konvergensi Deret un disebut konvergen ke S jika . Contoh – contoh : Apakah deret konvergen atau divergen ? ). 1 + ½ + S 1 = 1 S 2 = 1 + ½ = 1 ½ = 2 – ½ S 3 = 1 + ½ + = 1 = 2 - S 4 = 1 + ½ + = 1 = 2 - …………………. Sn = 2 - - jadi deret konvergen ke = 2
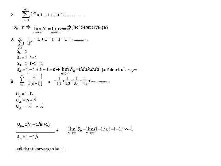
2. = 1 + 1 + ……………. Sn = n jadi deret divergen 3. = ! – 1 + 1 – 1 + ……………. S 1 = 1 S 2 = 1 -1=0 S 3 = 1 -1+1 = 1 S 4 = 1 – 1 + 1 – 1 = 0 jadi deret divergen 4. = U 1 = 1 - ½ U 2 = ½ - U 3 = - Un = 1/n – 1/(n+1) _________ + Sn = 1 – 1/n Jadi deret konvergen ke : 1.
Deret – deret Istimewa 1. Deret hitung deret divergen 2. Deret ukur - Deret konvergen jika |p| < 1 -Deret divergen untuk |p| ≥ 1 Sn = 3. Deret hiperharmonis - Deret konvergen jika k > 1 - Deret divergen untuk k 1 Ketentuan yang berlaku pada deret : 1. un konvergen maka tetapi belum tentu sebaliknya. 2. Jika maka deret un divergen 3. Jika un konvergen maka k. un konvergen. Jika un divergen maka kun divergen 4. Jika un dan Jika vn konvergen, maka juga konvergen ; Jika dan jika divergen maka divergen
Contoh: 1. Deret Karena deret maka deret divergen Tes konvergensi dan divergensi deret : I, Qoutien Test : Dua buah deret positip dan dengan Maka : Jika L ≠ 0 maka keduanya konvergen atau keduanya divergen Jika L = 0 dan konvergen maka juga konvergen. II. Test Liebniz ( untuk deret berayun) Suatu deret berayun konvergen jika memenuhi persyaratan: Catatan : deret berayun yaitu deret dengan suku –suku berganti tanda positip, negatip, positip, negatip dan seterusnya
III. Test Rasio ( d’Alembert Test Ratio ) Bila pada deret dengan maka Deret Konvergen jika L < 1 Deret Divergen jika L > 1 Jika L = 1 test gagal jadi harus menggunakan metode test yang lain. Contoh-contoh : Selidiki konvergensi deret berikut : Jawab : dengan Qoutien Test : Ambil deret hiperharmonis yang konvergen maka Jadi deret juga konvergen ///
Jawab : dengan Qoutien Test : Ambil deret hiperharmonis yang konvergen maka Jadi deret juga konvergen/// Jawab : Deret tersebut merupakan deret berayun maka dengan Test Liebniz: untuk n ≥ 1 Jadi deret konvergen///
Jawab: Deret di atas merupakan deret berayun maka dengan Test Liebnis Jadi deret divergen Jawab : dengan Test Rasio. Maka Jadi deret deret divergen
TUGAS: Selidiki konvergensi deret berikut :
- Slides: 8