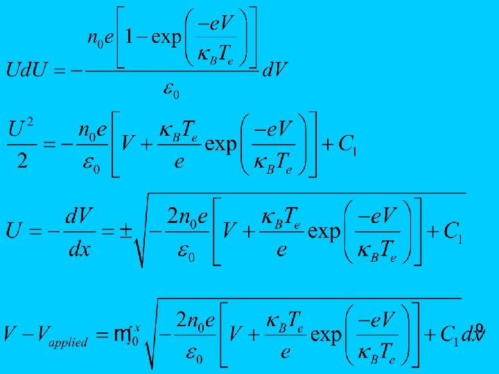
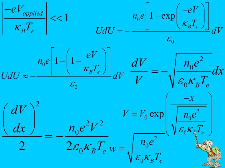
Debye length Debye length Transient sheath in ion
+ Debye length + + - + + -
+ Debye length + + - + + -
Transient sheath in ion acoustic wave experiments in a plasma
MATLAB calculation
Basic model p n
Basic model p - + n
Basic model – thermal equilibrium no applied bias voltage p n
Reverse biased PN junction p p n n
Reverse biased PN junction energy diagram
Forward biased PN junction -p p n n+ Electron flow Hole flow
- Forward biased PN junction energy diagram +
Schottky barrier junction Thermal equilibrium -
Schottky barrier junction
Characteristics of a Schottky diode and a PN junction diode
Basic assumptions p n
Basic assumptions p - + n
Basic assumptions p n
Basic assumptions p n
Electron energy profile p n
Charge concentration p n
Charge concentration p n
Forward biased PN junction p p n n
Forward biased PN junction p p n n
Forward biased PN junction p p n n
Forward biased PN junction p p n n
Forward biased PN junction p p n n
Evolution of the density perturbations Diffusion of the perturbation Drift due to the electric field Generation of additional perturbation Collision lifetime Steady-state Neglect drift and generation
Evolution of the density perturbations
Evolution of the density perturbations
Currents – sum of hole and electron diffusion currents
Currents – sum of hole and electron diffusion currents
The Cowasaki gets excellent gas mileage.
Simple three-dimensional unit cell
- Slides: 42