DC Electricity Understand the nature of electric current




















- Slides: 20
DC Electricity • Understand the nature of electric current in terms of a moving flow of electrons. • Define electric current as Coulombs per second, I=q/t • Understand how an electric current carries energy • Calculate electric power P = VI and its limitations. • Understand the nature of resistance in terms of the control of electric current, • Understand Ohm’s law, V =IR and its limitations. • Understand how voltage and current divide up in series and parallel circuits. • Calculate total resistance for resistors in series using RT = R 1 + R 2 … • Calculate total resistance for resistors in series using 1/RT = 1/R 1 + 1/R 2 … • Construct a simple circuit from a sketch of the components in the circuit • Describe the operation of a diode, a thermistor, an LDR and an LED.
Electric Current measure in A or Cs-1 charge measured in C time measured in s An electric current occurs when electrons move towards a positive charge. Current (I) is the amount of charge that flows past a given point in a circuit in one second. Current is measured in Amperes (A) or amps for short. + - The current flowing in a circuit is measured by placing an ammeter in series with the component it is measuring. + A - Flow of electrons
Example Exercises 1 What is the current reading on the ammeter if 15 C of charge passes through the ammeter in 30 s? + - + A - Flow of current 2 The body of an aeroplane in collects -320 m. C of charge by flying through the air. When a wire is attached to discharge the plane in an average current of 0. 950 A is recorded. How long did it take to discharge the plane?
3 A large wire is used to discharge the plane that produces a current four time bigger. What affect will this have on the average discharge time? • Since the charge stays constant, • The time is inversely proportional to the current. • Therefore, if the current gets four times larger the time mist get four times smaller.
Electrical Potential (Voltage) Voltage measure in V or JC-1 Potential Energy measured in J Charge measured in C Electric potential (V) is the difference in the Potential Energy that each coulomb of charge possesses on either side of a component in a circuit. + - The voltage of the lamp in the following circuit is measured by placing a voltmeter in parallel to the lamp. V
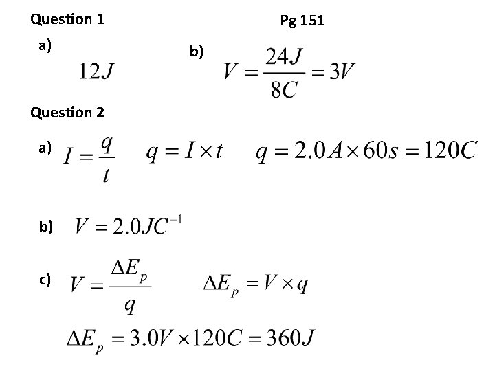
Question 1 a) Question 2 a) b) c) Pg 151 b)
Question 3 a) b) c) d) e)
Electric Power measured in W These three equations can be combined to form the equation above. Current measured in A Voltage measured in V
Example Exercises 1 What is the force acting on a particle with a +9. 23 n. C charge place in between two plates with a uniform electric strength of 275 Vm-1? q= +9. 23 n. C + + + + E = 275 Vm-1 2 What is the strength of an electric field that applies a 24. 5μN force to a particle with a charge of 300 n. C? .
3 If the electric field strength on a charge is doubled what happens to the electrostatic force the charge feels? • Since the charge stays constant, • The field strength increases. • The force is proportional to the electric field strength so it (F) increases. 4 What happens to the force on a charge in a uniform electric field if the distance between the two plates is halved? If we assume that the V stays constant, E ∝ 1/d ∴ when the distance halves, E doubles. If we also assume q stays constant, F ∝ E ∴ when the electric field strength doubles the force doubles.
Resistance A resistor is a component in a circuit that controls the flow of electricity. The larger the resistance the harder it is for current to flow. The symbol R is used to represent resistance. The unit of resistance is the Ohm (Ω). As electrons move through a resistor they bump the atoms causing them to move faster and the resistor to heats up. In this way a resistor converts the potential energy of the electrons into heat. resistor + variable resistor (rheostat)
Ohm’s Law Voltage measured in V If the resistance of a component remains the same (an ohmic resistor) voltage is directly proportional to current. Non-ohmic resistors - The resistance many components in a circuit increase as the current increases. More current causes a component to heat up. When components heat up their resistance increases. Current measured in A Resistance measured in Ω V I
Series + - Current in series When components are in series there is only one path for the current to follow and because of this the current is the same before and after each component. Voltage in series The voltage of components add up to the total voltage supplied by the power source. + 12. 0 V - 2. 0 V 6. 5 V
Resistance in series The total resistance of components in series is equal to the sum of all the resistances. - + 2. 0 Ω 3. 0 Ω 5. 0 Ω
- + Parallel Current in parallel When components are in parallel the current splits and joins. For any join in the circuit the current entering it is equal to the current leaving it. 1. The current entering point A equals the current leaving point A. 3. 0 A enter and 3. 0 (1. 5 + 1. 5) A leaves. 2. The current entering point B equals the current leaving point B. 3. 0 (1. 5 + 1. 5) A enter point B and 3. 0 A leave point B. + 3. 0 A A A 1. 5 A A B
Parallel + - Voltage in parallel The voltage produced in a loop of a circuit is equal to the voltage use. This means that components that are parallel to each other have the same electrical potential (voltage). + 6. 0 V Loop 1 Loop 2 Loop 3 -
Parallel - + Resistance in parallel When resistors are placed in parallel the total resistance decreases as. - + 2. 0 Ω 4. 0 Ω 3. 0 Ω
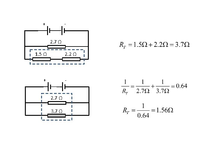
Working out the total resistance in more complicated circuits + - 1. 1 Ω 1. 0 Ω 1. 5 Ω + 0. 63 Ω - 1. 0 Ω
Exercise Work out the resistance and current through each resistor A - + 3. 1 A 1. 2 Ω 1. 7 Ω B 2. 1 Ω • Work out the total resistance. • Use Ohm’s Law to work out the voltage across the battery. • Use current and parallel rules as well as Ohm’s law to work out the current and voltage of the individual resistors 11 V + - 1. 7 Ω • Work out the total resistance. • Use Ohm’s Law to work out the current leaving the battery. • Use current and parallel rules as well as Ohm’s law to work out the current and voltage of the individual resistors