Course code EEE4123 High Voltage Engineering Lecture03 Topics




































- Slides: 36
Course code : EEE-4123 High Voltage Engineering Lecture-03 Topics Insulation: Gasious dielectric Presented by Md. Shamim Sarker Assistant Professor Dept. of EEE, KUET
Townsends currents for breakdown: Townsends criterion for breakdown
Or,
Townsends breakdown in electronegative gases: In the above analysis, electron attachment to neutral molecules was not considered. Electron attachment removes free electrons and thus gives gases very high dielectric strengths. The gases in which electron attachment occurs are electro-negative gases. An attachment coefficient can be defined, analogous with , as the number of attachments per electron per unit drift in the direction of the field. Under these conditions, the equation for the average current growth in a uniform field can be shown to be as follows. The corresponding criteria for spark breakdown is:
There are two mechanism of breakdown of gases: 1. Avalance breakdown 2. Streamer breakdown: This type of breakdown mainly arises due to the added effect of the space-charge field of an avalanche and photo-electric ionization in the gas volume.
The theory predicts the development of a spark discharge directly from a single avalanche in which the space charge develop by the avalanche itself is said to transform the avalanche into a plasma steamer. In the Figure shown before, a single electron starting at the cathode by ionization builds up an avalanche that crosses the gap. The electrons in the avalanche move very fast compared with the positive ions. By the time the electrons reach the anode the positive ions are in their original positions and form a positive space charge at the anode. This enhances the field, and the secondary avalanches are formed from a few electrons produced due to the photo-ionization in the space charge region. This occurs first near the anode where the space charge is maximum and a further increase in the space charge. This process is very fast and the positive space charge extends to the cathode very rapidly resulting in the formation of a streamer. Comparatively narrow luminous tracks occurring at breakdown at pressures are called streamers. As soon as the streamer tip approaches to the cathode, a cathode spot is formed and a stream of electrons rush
Factors affecting the breakdown voltage in Vacuum gap Vacuum is ideally the best insulator, with breakdown strengths of the order of 104 k. V/c. The breakdown voltage of a high vacuum is the voltage which when increased by a small amount will cause the breakdown of the gap that was held at that voltage for an infinite time. However, this definition is not always practicable as the breakdown is affected by many factors: 1. Electrode Separation: For vacuum gaps less than about 1 mm, the breakdown voltage is approximately proportional to the length, all other parameters remaining constant. This gives a constant breakdown strength. For these small gaps the breakdown stress is relatively high, being of the order of 1 MV/cm. For gaps greater than about 1 mm, the breakdown voltage does not increase at an equal rate and the apparent breakdown stress for longer gaps is much reduced, being about 10 k. V/cm at a spacing of 10 cm.
02. Electrode Effect: Conditioning The breakdown voltage of a gap increases on successive flashovers, until a constant value is reached. The electrodes are then said to be conditioned. This increase in voltage is ascribed to the burning off by sparking of microscopic irregularities or impurities which may exist on the electrodes.
03. Material and Surface Finish: The electrode surfaces form the physical boundaries between which the breakdown finally takes place. Thus it is not surprising to find that the breakdown strength of a given size of gap is strongly dependant onthe material of the electrodes. In general, the smoother the surface finish, the greater the breakdown voltage.
04. Surface contamination: Presence of contamination in the test cell reduces the breakdown voltage sometimes by as much as 50% of the clean electrode value. 05. Area and configuration of electrodes: Increasing the area of the electrodes makes it more difficult to maintain a given breakdown voltage. Thus breakdown voltage decreases slightly with increase in surface area. 06. Temperature: The variation of the breakdown voltage with temperature is very small, and for nickel and iron electrodes, the strength remains unchanged for temperatures as high as 5000 C.
Corona discharge When a gradually increasing voltage is applied across two conductors, initially nothing will be seen or heard. As the voltage is increased, the air surrounding the conductors get ionised, and at a certain voltage a hissing noise is heard caused by the formation of corona. This voltage is known as the disruptive critical voltage (dcv). A further increase in the voltage would cause a visible violet glow around the conductors. This voltage is the visual corona inception voltage. Mechanism of corona discharge: The stress surrounding the conductor is a maximum at the conductor surface itself, and decreases rapidlyas the distance from the conductor increases. Thus when the stress has been raised to critical value immediately surrounding the conductor, ionisation would commence only in this region and the air in this region would become conducting. The effect is to increase the effective conductor diameter while the voltage remains constant. This results in two effects. 01. Firstly, an increase in the effective sharpness of the conductor would reduce the stress outside this region, and 02. secondly, this would cause a reduction of the effective spacing between the conductors leading to an increase in stress.
Depending on which effect is stronger, the stress at increasing distance can either increase or decrease. If the stress is made to increase, further ionisation would occur and flashover is inevitable. Under ordinary conditions, the breakdown strength of air can be taken as 30 k. V/cm. Corona will of course be affected by the physical state of the atmosphere. In stormy weather, the number of ions present is generally much more than normal, and corona will then be formed at a much lower voltage than in fair weather. This reduced voltage is generally about 80% of the fair weather voltage.
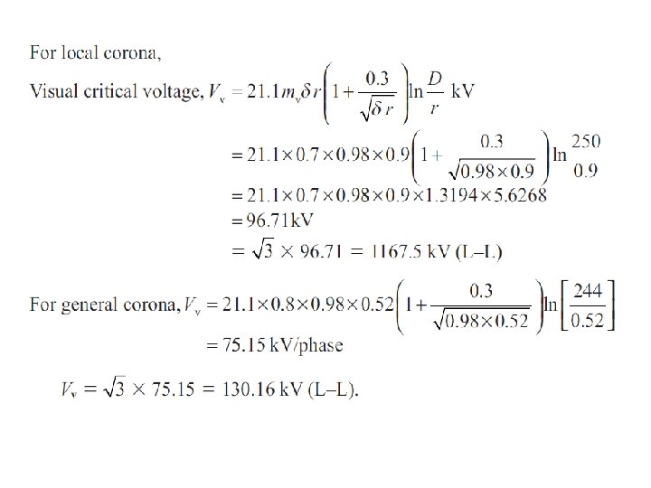
CRITICAL DISRUPTIVE VOLTAGE: The minimum voltage at which the ionization takes place is called the critical disruptive voltage. For ideal condition: But in practical : Where where δ is the air density factor and m 0 is the irregularity factor and
VISUAL CRITICAL VOLTAGE: The minimum voltage at which the corona becomes visible is called the visual critical voltage.
Power loss due to corona: There is a power loss due to the formation of corona that affects the transmission efficiency of the lines. Its effect on regulation, however, is less. This power loss is affected by the atmospheric and line conditions too. Power loss due to corona under fair weather condition is given by
Methods for reducing corona: The corona loss can be reduced by using: Conductors with large diameters: The voltage at which the corona occurs can be increased by increasing the size of the conductor and hence, the corona loss can be reduced. Hollow conductors: These are used to increase the effective diameter of the conductor without using any additional material. Since, corona loss is inversely proportional to the diameter of the conductor, corona loss decreases with an increase in the diameter. Bundled conductors: These are made up of two or more subconductors and is used as a singlephase conductor. When using two or more sub-conductors as
ADVANTAGES AND DISADVANTAGES OF CORONA Advantages 1. It acts as a safety valve by reducing the magnitude of high-voltage steep-fronted waves that may becaused by lightning or power switching. 2. With the formation of corona, the air surrounding the conductor becomes conductive and there is a virtual increase in the effective diameter of the conductor. Due to increased diameter, the maximum voltage gradient between the conductors is reduced.
Disadvantages 1. Transmission efficiency is affected due to corona loss. Even under fair weather conditions some lossis encountered. 2. Inductive interference to neighboring communication lines due to the non-sinusoidal voltage drop that occurs in the line. 3. With the appearance of the corona glow, the charging current increases because the corona introduces harmonics. 4. Due to the formation of the corona, ozone gas is generated which chemically react with the conductor and causes corrosion.