CORSO DI ALTA FORMAZIONE eHealth Reti e Tecnologie
















































- Slides: 48
CORSO DI ALTA FORMAZIONE "e-Health: Reti e Tecnologie per la Sanità" Venerdì 23 aprile 2010 ore 14, 00 -18, 00 Policlinico S. Orsola-Malpighi, Polo Didattico Murri - Aula Murri Il monitoraggio del consumo di farmaci: il database della Regione Emilia-Romagna Elisabetta Poluzzi Dipartimento di Farmacologia
INDICE DELLA PRESENTAZIONE 1. Descrizione degli archivi sanitari elettronici della Regione Emilia Romagna 2. Finalità dello sviluppo e del mantenimento degli archivi sanitari 3. Impiego dei dati regionali per rapporti periodici sull’uso dei farmaci 4. Esempi di studi osservazionali e di “outcome research” a partire dai dati regionali
Descrizione degli archivi sanitari elettronici della Regione Emilia Romagna
www. saluter. it
Finalità dello sviluppo e del mantenimento degli archivi sanitari
1. DISTRIBUZIONE DEI FONDI REGIONALI ALLE SINGOLE AZIENDE SANITARIE EROGATRICI DEI SERVIZI (GESTIONE DELLA SPESA SANITARIA) 2. ANALISI DI FARMACOUTILIZZAZIONE PER LA VALUTAZIONE DELL’APPROPRIATEZZA D’USO DEI FARMACI (tramite lo sviluppo di adeguati indicatori) 3. RACCOLTA DI ELEMENTI UTILI AL CONTROLLO DELLA SPESA (es. in caso di variabilità ingiustificate intraregionale)
Impiego dei dati regionali per rapporti periodici sull’uso dei farmaci
www. crevif. it
Esempi di studi osservazionali e di “outcome research” a partire dai dati regionali
In che percentuale la popolazione in trattamento con farmaci cardiovascolari li utilizza per più anni (persistenza) e tutti i giorni (copertura)? Poluzzi E et al. Adherence to chronic cardiovascular therapies: persistence over the years and dose coverage. Br J Clin Pharmacol. 2007 Mar; 63(3): 346 -55. Analisi dei dati Per ciascuna classe di farmaci, sono state analizzate le prescrizioni di ogni paziente per 3 anni dopo il reclutamento. L’aderenza al trattamento è stata valutata in termini di (i) persistenza e (ii) copertura: (i) I pazienti sono stati definiti persistenti se ricevevano almeno 2 prescrizione di un farmaco della classe terapeutica osservata nel 2000, 2001 e 2002. (ii) I pazienti sono stati definiti coperti se la quantità di farmaci della classe ricevuta per ciascuno dei 3 anni era compatibile con l’assunzione quotidiana del farmaco.
Farmaci cardiovascolari (soprattutto antipertensivi) Occorre definire una dose minima giornaliera per la terapia di mantenimento … A questo scopo, per ciascun farmaco abbiamo identificato la dose minima giornaliera raccomandata per la terapia di mantenimento. Abbiamo poi sommato il numero totale di dosi minime di ciascuna classe ricevuto da ogni paziente farmaco, anno per anno. I pazienti che avevano raggiunto almeno 300 dosi minime per anno erano considerati coperti, considerando una tolleranza del 20% sui 365 giorni. …
Percentuale di pazienti persistenti (linee) e coperti (istogrammi) PAZIENTI GIA’ IN TRATTAMENTO
Percentuale di pazienti persistenti (linee) e coperti (istogrammi) PAZIENTI NUOVI
La copertura con statine si differenzia in base al livello di rischio del paziente? Poluzzi E Adherence to statin therapy and patients' cardiovascular risk: a pharmacoepidemiological study in Italy. Eur J Clin Pharmacol. 2008 Apr; 64(4): 425 -32. gennaio 2005 febbraio 2005 reclutamento gennaio 2003 marzo 2005 marzo 2006 Dimissioni ospedaliere osservazione
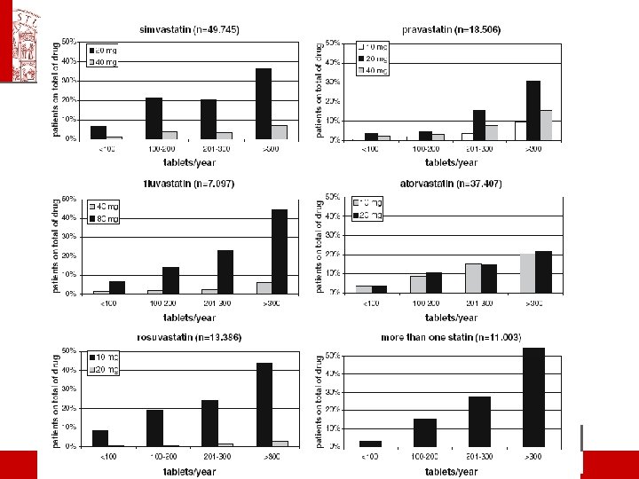
PERIODO DI OSSERVAZIONE COPERTURA NEL CASO DELLE STATINE la dose minima giornaliera per la terapia di mantenimento è la compressa … I pazienti che avevano raggiunto almeno 300 COMPRESSE per anno erano considerati coperti, considerando una tolleranza del 20% sui 365 giorni. 34
50 -69 anni uomini pravastatina, fluvastatina, rosuvastatina prevenzione secondaria altri trattamenti cardiovascolari
L’aderenza alla terapia con statine protegge dal rischio cardiovascolare anche nella popolazione reale? Dati non pubblicati gennaio 2005 febbraio 2005 reclutamento gennaio 2003 marzo 2005 marzo 2008 Dimissioni ospedaliere osservazione
PERIODO DI OSSERVAZIONE aderenza eventi L’aderenza era valutata sulla base della quantità di statine ricevuta nei 3 anni di osservazione: Per ciascun anno, i pazienti che avevano raggiunto almeno 300 COMPRESSE per anno erano considerati coperti, considerando una tolleranza del 20% sui 365 giorni. E i pazienti che erano coperti in ciascuno dei 3 anni erano considerati aderenti.
Caratteristiche dei pazienti Patients Genere Età Eventi cardiovascolari precedenti Diabete Angina/ipertensione/scompenso trombosi ADERENZA nei 3 anni 40 % F 67, 238 49% M 69, 858 51% <50 6, 750 5% 50 -65 41, 914 31% 65 -80 73, 763 54% >80 14, 790 11% Sì 29, 144 21% No 108, 073 79% Sì 21, 530 16% No 115, 687 84% Sì 105, 341 77% No 31, 876 23% Sì 73, 963 54% No 63, 254 46% Sì 32, 355 24% No 104, 862 76%
Numero di compresse ricevute dai pazienti ogni anno 41
Aderenza alla terapia con statine anno per anno 3° anno 2° anno 1° anno
Sintesi del profilo di utilizzo di statine % Pazienti aderenti (almeno 300 compresse per anno) 24% Pazienti “lievemente” non aderenti (almeno 200 compresse l’anno, ma non aderenti per l’intero periodo) 28% Pazienti “moderatamente” non aderenti (100 -300 compresse per anno) 16% Pazienti “fortemente” non aderenti (< 200 compresse l’anno) Pazienti altamente variabili (ampie differenze nel numero di compresse all’anno) Decessi 43 9% 18% 5%
L’aderenza è associata ad una riduzione del 30% di insorgenza di eventi cardiovascolari Odds Ratio per eventi cardiovascolari Adjusted OR CI Wald (95%) Aderenza 0. 68 0. 66 -0. 70 Genere maschile 1. 44 1. 40 -1. 48 50 -65 1. 35 1. 25 -1. 46 65 -80 2. 23 2. 07 -2. 41 >80 3. 47 3. 19 -3. 77 Eventi cardiovascolari precedenti 2. 64 2. 56 -2. 72 Diabete 1. 40 1. 36 -1. 45 Angina, ipertensione, scompenso 2. 72 2. 61 -2. 84 Trombosi 1. 81 1. 76 -1. 86 Età 44
Prevenzione primaria Odds ratios (95% confidence intervals) per l’influenza dell’aderenza sugli eventi cardiovascolari, stratificati per età, genere e fattori di rischio cardiovascolari 45
Prevenzione secondaria Odds ratios (95% confidence intervals) per l’influenza dell’aderenza sugli eventi cardiovascolari, stratificati per età, genere e fattori di rischio cardiovascolari 46
Elisabetta Poluzzi Dipartimento di Farmacologia elisabetta. poluzzi@unibo. it www. unibo. it