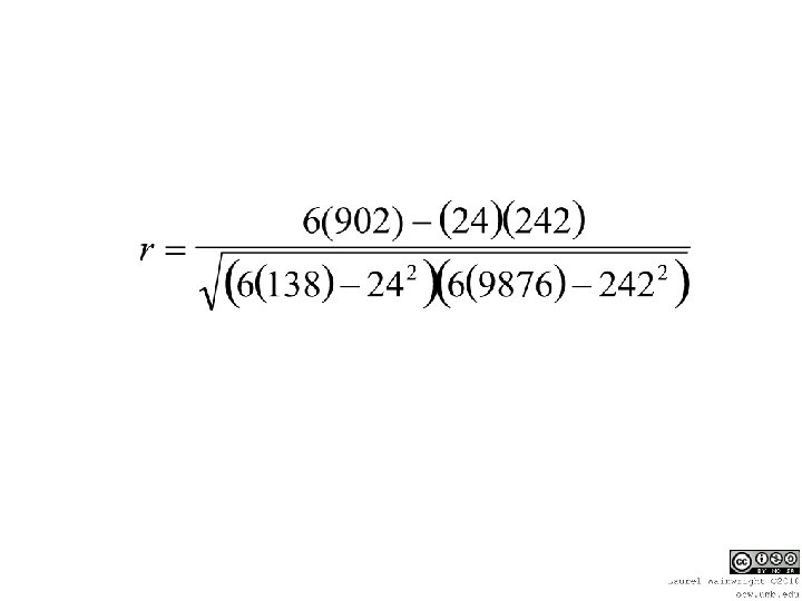
Correlation Indicates the relationship between two dependent variables

Sign up to view full document!
SIGN UP
  • Slides: 50
Download presentation