CORRELATION AND REGRESSION Topic 13 An Example Recall





















![Determining the “Line of Averages” [Regression Line] and the Degree of Association [Correlation] Numerically Determining the “Line of Averages” [Regression Line] and the Degree of Association [Correlation] Numerically](https://slidetodoc.com/presentation_image/33e9b57623bfb105552eb0dd26133b77/image-22.jpg)







































































- Slides: 93
CORRELATION AND REGRESSION Topic #13
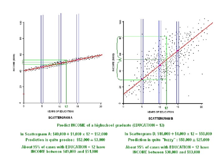
An Example Recall sentence #11 in Problem Set #3 A (and #9): If you want to get ahead, stay in school. Underlying this nagging parental advice is the following claimed empirical relationship: + LEVEL OF EDUCATION =====> LEVEL OF SUCCESS IN LIFE Suppose we collect data through by means of a survey asking respondents (say a representative sample of the population aged 35 -55) to report the number of years of formal EDUCATION they completed and also their current INCOME (as an indicator of SUCCESS). We then analyze the association between the two interval variables in this reformulated hypothesis. + LEVEL OF EDUCATION =====> LEVEL OF INCOME (# of years reported) ($000 per year) Since these are both interval continuous variables, we analyze their association by means of a scattergram.
Having collected such data in two rather different societies A and B, we produce these two scattergrams.
An Example (cont. ) • Note that the two scattergrams are drawn with the same horizontal and vertical scales. – With respect to the vertical axis in scattergram A, this violates the usual guideline that scales be set to minimize “white space” in the scattergram. – But here we want to facilitate comparison between the two charts. • Both scattergrams show a clear positive association between the two variables, i. e. , the plotted points in both form an upward-sloping pattern running from Low – Low to High – High. • At the same time there are obvious differences between the two scattergrams (and thus between the relationships between INCOME and EDUCATION in societies A and B).
Questions For Discussion • In which society, A or B, is the hypothesis most powerfully confirmed? • In which society, A or B, is their a greater incentive for people to stay in school? • Which society, A or B, does the U. S. more closely resemble? • How might we characterize the difference between societies A and B?
An Example (cont. ) • We can visually compare and contrast the nature of the associations between the two variables in the two scattergrams by drawing a number of vertical strips in each scattergram (as we did in the earlier Pearson scattergram of SON’S HEIGHT by FATHER’S HEIGHT). – Points that lie within each vertical strip represent respondents who have (just about) the same value on the independent (horizontal) variable of EDUCATION. • Within each strip, we can estimate (by “eyeball methods”) the average magnitude of the dependent (vertical) variable INCOME and put a mark at the appropriate level.
Average Income for Selected Levels of Education
We can connect these marks to form a line of averages that is apparently (close to being) a straight line.
An Example (cont. ) • Now we can assess two distinct characteristics of the relationships between EDUCATION and INCOME in scattergrams A and B. – How much the does the average level of INCOME change among people with different levels of education? – How much dispersion of INCOME there is among people with the same level of EDUCATION?
An Example (cont. ) • In both scattergams, the line of averages is upwardsloping, indicating a clear apparent positive effect on EDUCATION on INCOME. – But in the scattergram for society A, the upward slope of the line of averages is fairly shallow. • The line of averages indicates that average INCOME increases by only about $1000 for each additional year of EDUCATION. – On the other hand, in the scattergram for society B, the upward slope of the line of averages is much steeper. • The graph in Figure 1 B indicates that average INCOME increases by about $4000 for each additional year of EDUCATION. – In this sense, EDUCATION is on average more “rewarding” in society B than A.
An Example (cont. ) • There is another difference between the two scattergrams. – In scattergram A, there is almost no dispersion within each vertical strip (and almost no dispersion around the line of averages as a whole). – In scattergram B, there is a lot of dispersion within each vertical strip (and around the line of averages as a whole). • We can put this point in substantive language. – In society A, while additional years of EDUCATION produce rewards in terms of INCOME that are modest (as we saw before), these modest rewards are essentially certain. – In society B, while additional years of EDUCATION produce on average much more substantial rewards in terms of INCOME (as we saw before), these large expected rewards are highly uncertain and are indeed realized only on average. • For example, in scattergram B (but not A), we can find many pairs of cases such that one case has (much) higher EDUCATION but the other case has (much) higher INCOME.
An Example (cont. ) • This means that in society B, while EDUCATION has a big impact on EDUCATION, there are evidently other (independent) variables (maybe family wealth, ambition, career choice, athletic or other talent, just plain luck, etc. ) that also have major effects on LEVEL OF INCOME. • In contrast, in society A it appears that LEVEL OF EDUCATION (almost) wholly determines LEVEL OF INCOME and that essentially nothing else matters. – Another difference between the two societies is that, while both societies have similar distributions of EDUCATION, their INCOME distributions are quite different. • A is quite egalitarian with respect to INCOME, which ranges only from about $40, 000 to about $60, 000, while B is considerably less egalitarian with respect to INCOME, which ranges from under to $10, 000 to at least $100, 000 — and possibly higher. ) • In summary, in society A the INCOME rewards of EDUCATION are modest but essentially certain, while in society B the INCOME rewards of EDUCATION are substantial on average but quite uncertain in individual cases.
Two Kinds of “Strength of Association” • This example illustrates that, given bivariate data for interval variables, “strength of association” between them can mean either of two quite different things: – the independent variable has a very reliable or certain association with the dependent variable, as is true for society A but not B, or – the independent variable has on average a big impact on the dependent variable, as is true for society B but not A. • There are two bivariate summary statistics that capture these two different kinds of strength of association between interval variables: – the first second is called the regression coefficient, customarily designated b, which is the slope of the line of averages; and – the second is called the correlation coefficient, customarily designated r , which is (more or less) determined by the magnitude of dispersion in each vertical strip. • In scattergrams A and B, A has the greater correlation coefficient and B has the greater regression coefficient.
Review: The Equation of a Line • Having drawn (at least by “eyeball methods”) the line of averages in a scattergram, it is convenient to write an equation for the line. • You should recall from high-school algebra that, given any graph with a horizontal axis X and a vertical axis Y, any straight line drawn on the graph has an equation of the form (using the symbols you probably used in high school) y = mx + b, where – m is the slope of the line expressed as Δ y / Δ x (“change in y” divided by “change in x” or “rise over run”), and – b is the y-intercept (i. e. , the value of y when x = 0). • Evidently to further torment students, in college statistics the symbol b is used in place of m to represent the slope of the line and the symbol a is used in place of b to represent the intercept (and a is customarily placed in front of the bx term), so the equation for a straight line is usually written as y= a+bx.
Slope and Intercept in Scattergrams A and B
Equation of a Line (cont. ) • The equation for the line of averages in scattergram A appears to be approximately Y = a + b × x AVERAGE INCOME = $40, 000 + $1000 × EDUCATION. • The equation for the line of averages in Figure B appears to be approximately AVERAGE INCOME = $10, 000 + $4000 × EDUCATION. • Given such an equation (or formula), we can take any value for the independent variable EDUCATION, plug it into the appropriate formula above, and calculate or “predict” the corresponding average or “expected” value of the dependent variable INCOME. – In society A, such a prediction is likely to be quite reliable, because there is very little dispersion in any vertical strip and the association/correlation between the two variables is almost perfect – In society B, this prediction will be much less reliable or “fuzzier, ” because there is considerable dispersion in every vertical strip and the association/correlation between the two variables is much less than perfect.
Before we used eyeball methods to draw the line of averages in the SON’S HEIGHT by FATHER’S HEIGHT scattergram. Let’s write its equation in the form SON’S HEIGHT = a + b × FATHER’S HEIGHT.
Equation for Son’s Height • What is the equation for the line of averages? – SH = 63 + 0. 5 × FH – SH = 63 + 0. 5 × 74 = 63 + 37 = 100 (8' 4") • Clearly something is wrong: – 63" is not the true intercept, i. e. , it is • not average SH when FH = 0, • but rather average SH when FH = 58". – My height is 16" greater than 58", so my son’s expected height is • 63 + 0. 5 × 16 = 72" • To read the true y-intercept a on the chart, we need to extend the FH scale down to FH = 0 to see where the line of averages intersects the true SH axis.
Determining the “Line of Averages” [Regression Line] and the Degree of Association [Correlation] Numerically • Clearly statisticians are not satisfied with “eyeballing” a scattergram and – visually estimating the slope and intercept of the line averages, or (especially) – guessing at the degree of association between the DEPENDENT and INDEPENDENT variables. • Before we can make exact numerical calculations, we must have an exact definition of the “line of averages. ” – This will lead to precise formula for the slope, intercept, and association/correlation.
Example: Worksheet in Topic #13
Correlation and Regression (cont. ) Consider the scattergram to the right, which displays the bivariate numerical data for x and y in the Sample Problem presented on p. 9 of Handout #13. The “vertical strips” kind of argument simply will not work, because most strips include no data points and only one strip (for x ≈ 5) includes more than one point. Using this simple example, we will now proceed a little more formally.
Correlation and Regression (cont. ) • Suppose we were to ask what horizontal line (i. e. , a line for which the slope b = 0, so its equation is simply y = a) would “best fit” (come as close as possible to) the plotted points. • In order to answer this question, we must have a specific criterion for “best fitting. ” • The one statisticians use is called the least squares criterion. – For each horizontal line, we calculate the sum (or mean) of squared deviations of the y-observations from a line. – We’re looking for the horizontal line that minimizes this sum/mean. • Lets try the horizontal line y = 6: – The sum of squared deviations = 138, – so the mean squared deviation is 23. • Can we do better that this?
Correlation and Regression (cont. ) • That is, we want to find the horizontal line such that the squared vertical deviations from the line to each point are (in total or on average) as small as possible. – You might remember (or should be able to guess) what line this is — it is the line y = mean of y , or in this case y = 5. – Recall from Handout #6, p. 4, point (e) that “the sum (or average) of the squared deviations from the mean is less than the sum of the squared deviations from any other value of the variable. ” – You should also recall that we have a special name for “the average squared deviation from the mean (of y)” – namely, the variance (of y) • This (or its positive square root, i. e. , the standard deviation of y) is the standard univariate measure of dispersion in y.
Correlation and Regression (cont. ) • So the line y = 5 is the best fitting horizontal line by the least squares criterion. • Now suppose that, in finding the best fitting line by the least squares criterion, we are no longer restricted to horizontal lines but can tip the line up or down, so it has a non-zero slope and its height varies with the independent variable x. • More particularly, suppose that we pivot such straight lines on the point that is right in the middle of the all data plotted points, – specifically the point that represents the mean of x and the mean of y (in this case, x = 4, y = 5), – until it has a slope that best fits all the plotted points by the same least squares criterion. • In our example, we can clearly improve the fit by tipping the line counter-clockwise.
Tipping the Horizontal Line Can Improve the Fit by the Least Squares Criterion
Finding the Best Fitting Line • The question is how far we must tip the line to get the best fit (by the least squares criterion). – If we tip it too far, the fit becomes worse. • When we have found this best fitting (by the least squares criterion) line, we have found what is thereby defined as the regression line. • Fortunately, we don’t have to find this best fitting line by trial and error methods. – There are formulas for finding slope of the regression line (i. e. , the regression coefficient) and intercept from the numerical data. – There is a related formula for finding the correlation coefficient from the numerical data, which tells us how well this “best fitting” regression line fits the data points.
Association Between X and Y? • Mean Squared Deviation from regression line equals 7. 9375. • The degree of assiciation would be related to how big the MSD is compared with MSD around the best fitting horizontal line, which equals 22. • Degree of association = 1 – 7. 9375 22 = 1 -. 3608 = 0. 6392 • Note that this number must be between 0 and 1 (but cannot be negative).
Correlation and Regression (cont. ) • One statistical theorem tells us that the regression line goes through the point corresponding to the mean of x and the mean of y. • Another theorem gives us formulas to calculate the slope and intercept of the regression line, given the numerical data. • A third theorem – gives us the formula to calculate the correlation coefficient, and also – tells us that the squared correlation coefficient r 2 measures how much we can improve the goodness of fit (by the least squares criterion) when we move from the best fitting horizontal line to the best fitting tipped line.
How to Calculate the Regression and Correlation Coefficients • Let’s call the independent variable X and the dependent variable Y. (This usage is standard. ) • Set up a worksheet like the one that follows (also p. 9 of Handout #13).
How to Calculate Coefficients (cont. ) Compute the following univariate statistics: (1) the mean of X, (2) the mean of Y, (3) the variance of X, (4) the variance of Y, (5) the SD of X, and (6) the SD of Y.
How to Calculate Coefficients (cont. ) Now we make bivariate calculations for each case by multiplying its deviation from the mean with respect to X by its deviation from the mean with respect to Y. – This is called the crossproduct of the deviations.
How to Calculate Coefficients (cont. ) • Notice that a crossproduct in a given case: – is positive if, in that case, the X and Y values both deviate in the same direction (i. e. , both upwards or both downwards) from their respective means; and – it is negative if, in that case, the X and Y values deviate in opposite directions (i. e. , one upwards and one downwards) from their respective means. – In either event, the [absolute] crossproduct is large if both [absolute] deviations are large and small if either deviation is small. – The crossproduct is zero if either deviation is zero. • Thus: – (a) if there is a positive relationship between the two variables, most crossproducts are positive and many are large; – (b) if there is a negative relationship between the two variables, most crossproducts are negative and many are large; and – (c) if the two variables are unrelated, the crossproducts are positive in about half the cases and negative in about half the cases. • So, the average of all crossproducts is indicative of the association between variables.
How to Calculate Coefficients (cont. ) • Add up the crossproducts over all cases. • The sum (and thus the average) of crossproducts is – positive in the event of (a) above, – negative in the event of (b) above, and – (close to) zero in the event of (c) above. • Divide the sum of the crossproducts by the number of cases to get the average (mean) crossproduct. This average is called the covariance of X and Y, and its formula is the bivariate parallel to the univariate variance (of X or Y).
How to Calculate Coefficients (cont. ) • Notice the following: – If the association between X and Y is positive, their covariance is positive (because most crossproducts are positive). – If the association between X and Y is negative, their covariance is negative (because most crossproducts are negative). – If there is [almost] no association between X and Y , their covariance is [approximately] zero (because positive and negative crossproducts [approximately] cancel out when added up). • Thus the covariance does measure the association between the two variables.
How to Calculate Coefficients (cont. ) • However, the covariance is not a (fully) valid measure of the association, because the magnitude of the average (positive or negative) crossproduct depends on not only – how closely the two variables are associated, but also – on the magnitude of their dispersions (as indicated by their standard deviations or variances). – So, for example: • two very closely (and positively) associated variables have a positive but small covariance if they both have small standard deviations; • two not so closely (but still positively) associated variables have a larger covariance if their standard deviations are sufficiently larger.
Multiplying all Values by 10 does not Change the Degree of Association between the Two Variables X and Y
But Doing This Increases the Covariance of X and Y 100 -Fold
The Correlation Coefficient • The correlation coefficient is a measure of association only, which (like other measures of association) is standardized so that it always falls in the range from -1 to +1. – This is accomplished by dividing the covariance of X and Y by the standard deviation of X and also by the standard deviation of X. – This is equivalent to calculating the covariance of X and Y if the X and Y data is converted into standard scores. • The degree of correlation in a scattergram can be observed by looking only at the plotted points, the regression line, and the orientation of the horizontal and vertical axes. – The units of measurement on each axis make no difference and do not have to be shown.
The Correlation Coefficient (cont. ) • Divide the covariance of X and Y by the standard deviation of X and also by the standard deviation of Y. • This gives the correlation coefficient r, which measures the degree (or “reliability” or “completeness”) and direction of association between two interval variables X and Y. Correlation coefficient = r = Cov (X, Y) SD(X) × SD(Y) • If you calculate r to be greater than +1 or less than -1, you have made a mistake. – The correlation coefficient is the one measure of association for which you are expected to know how to use the calculating formula (above). • It is a good idea first to construct a scattergram of the data on X and Y and then to check whether your calculated correlation coefficient looks plausible in light of the scattergram.
Calculating the Correlation Coefficient
Properties of the Correlation Coefficient • The correlation coefficient formula is based on a ratio of “X-units × Y -units” (i. e. , their respective deviations from the mean) divided by “Xunits × Y-units” (i. e. , their respective SDs). – This means that all units of measurement cancel out and the correlation coefficient a pure number that is not expressed in any units. – For example, suppose the correlation between the height (measured in inches) and weight (measured in pounds) of students in the class is r = +. 45. • This is not r = +. 45 inches or r = +. 45 pounds, or r = +. 45 pounds per inch, etc. , • rather it is just r = +. 45. – Moreover, the magnitude of the correlation coefficient is independent of the units used to measure the two variables. • If we measured students’ heights in feet, meters, etc. (instead of inches) and/or measured their weights in ounces, kilograms, etc. (instead of pounds), and then calculated the correlation coefficient based on the new numbers, it would be just the same as before, i. e. , r = +. 45. • In addition, if you check the formula above, you can see that r is symmetric, i. e. , it is unchanged if we interchange X and Y. – Thus, the correlation between two variables is the same regardless of which variable is considered to be independent and which dependent.
Calculating the Regression Coefficient • To compute the regression coefficient b, divide the covariance of X and Y by the variance of the independent variable X. Cov(X, Y) Regression coefficient = b = -----Var (X)
Properties of the Regression Coefficient • So, from one point of view, the regression coefficient answers this question: – How big is the covariance of the IND and DEP variables compared with the variance of the IND variable? • But (as we have already seen) from a more practical point of view, the regression coefficient (i. e. , the slope of the regression line [or line of averages]) answers this question: How many units, on average, does the dependent variable increase when the independent variable increases by one unit? – If the dependent variable decreases (has a “negative increase”) when the independent variable increases, the regression coefficient is negative. • Thus the magnitude of the regression coefficient [unlike the correlation coefficient] depends on – which variable is considered to be independent and which dependent, and also – the units in which each variable is measured.
Properties of the Regression Coefficient (cont. ) • The regression coefficient is a ratio of “X-units × Y-units” (i. e. , their respective deviations from the mean) divided by “X-units × X-units” (i. e. , the variance of X). • Thus the regression coefficient is expressed in units of the dependent variable per unit of the independent variable; that is, – it is a rate, • like “miles per hour” [rate of speed] or • “miles per gallon” [rate of fuel efficiency], and so – its numerical value changes as these units change.
Properties of the Regression Coefficient (cont. ) • Remember that we informally calculated regression coefficients (by eyeball methods) in the INCOME by EDUCATION example. – In society A, the regression coefficient was about +$1000 (of INCOME [DEP]) per YEAR (of EDUCATION [IND]). – In society B, the regression coefficient was about +$4000 (of INCOME [DEP]) per YEAR (of EDUCATION [IND]). • Likewise we informally calculated the regression coefficient in the Pearson (SON’S HEIGHT by FATHER’S HEIGHT) – It was about +0. 5 INCHES (of SH [DEP]) per INCH (of FH [IND]). – In this (rather special) case, both variables are “in the same currency” and measured in the same units (INCHES), so – if we change the unit of measurement for both variables to FEET, CENTIMETERS, etc. ), the magnitude of the regression coefficient does not change.
Properties of the Regression Coefficient (cont. ) • But suppose we measure the height in inches and weight in pounds of all students in the class, suppose we treat height as the independent variable, and suppose the regression coefficient is b = +6. – This means +6 pounds (dependent variable units) of weight per inch (independent variable units) of height. • That is, if we lined students up in order from shortest to tallest, we would observe that their weights increase, on average, by about 6 pounds for each additional inch of height. – This also means that students’ weights increase, on average, by about 2. 7 kilograms (since there about. 45 kilograms to a pound) for each additional inch of height. • So if weight were measured in kilograms instead of pounds, the regression coefficient would be b = +6 x. 45 = +2. 7 kilograms per inch. • Likewise if we measured weight in pounds but height in feet, the regression coefficient would be about b = +6 × 12 = 72 pounds per foot. • Remember that the magnitude of the correlation coefficient is unchanged by such changes in units.
Properties of the Regression Coefficient (cont. ) • If we took weight to be the independent variable and height the dependent variable, – the magnitude of the regression coefficient would clearly change, because – we would divide Cov(X, Y) by Var(Y), instead of by Cov(X) • This make sense because the regression coefficient is now answering a different question. – If we lined students up in order of their weights and observed how their heights varied with weight, the regression coefficient would be telling us how much students’ heights increase, on average, in some unit of height (inch, meter, etc. ) as their weights increase by one unit (pound, kilogram, or whatever), so it would be yet a different number, e. g. , perhaps about b = +0. 1 inches per pound. • Remember that the magnitude of the correlation coefficient is unchanged by reversing the roles of the independent and dependent variables.
Specifying the Regression Line • To specify the regression line of the relationship between independent variable X and dependent variable Y, we need to know, in addition to the slope of the regression line (i. e. , the regression coefficient b), how high or low the line with that slope lies in the scattergram. • Actually, we already know enough to draw the regression line into the scattergram precisely. – The regression line is the line that passes through the point that equals the mean of x and the mean of y and that has a slope b. • But to write the equation of the regression line, we need to know the intercept a, i. e. , where the regression line passes through the vertical axis representing values of the dependent variable Y when the vertical Y axis intersects the horizontal X axis at the point x = 0. • This intercept a is equal to the mean of Y minus b times the mean of X.
Finding the Intercept
Finding the Intercept
Properties of the Intercept • The magnitude of the intercept is expressed in Y-units. • The value of the intercept answers this (sometimes quite artificial or even absurd) question: What is the average (or expected or predicted) value of the dependent variable when the independent variable X is zero? • Using a and b together, we can answer this question: what is the expected or predicted value of Y when X is any specified value. The expected or predicted value of Y, given that X is some particular value x, is given by the regression equation (i. e. , the equation of the regression line): y = a + b × x.
Relationship between Calculations for Correlation and Regression Coefficients • Note from the formulas that the sign (i. e. , “+” or “-”) of b and r are both determined by the sign of cov(X, Y), from which it follows that – b and r themselves always have the same sign, and – if one is zero, the other is also zero. • Notice also that the regression and correlation coefficients are equal in the event the independent and dependent variables have the same dispersion, i. e. , same SD. – For example, in the SON’S HEIGHT by FATHER’S HEIGHT scattergram, by eyeball methods we can determine the regression coefficient b is about +0. 5, – It is also apparent, both from common expectations and examination of the scattergram, that the dispersions (SDs) of SON’s HEIGHT and FATHER’s HEIGHT are just about the same, so we also know that the correlation coefficient is also about +0. 5. • In general, b = r x SD(Y) SD(X) and r = b x SD(X) SD(Y)
Other Formulas • You will find other formulas for the correlation and regression coefficients in textbooks. – For a horrendous looking example, see Weisberg et al. , near top of p. 305 [and below]. – Such formulas are mathematically equivalent to (i. e. , give the same answers as) the formulas given here. – They are actually easier to work with if you are processing many cases or programming a calculator or computer, because they require you (or the computer) to pass through the data only once. (They involve only X and Y values, not X and Y deviations from the mean) • But the formulas presented here make more intuitive sense and are easy enough to use in the simple sorts of problems that you will be presented with in problems sets and tests.
The Coefficient of Determination r 2 • For various reasons, the squared correlation coefficient r ² is often reported. – To compute r ², just multiply the correlation coefficient by itself. – This results in a number that • (i) always lies between 0 and 1 (i. e. , is never negative and so does not indicate the direction of association), and • (ii) is closer to 0 than r is for all intermediate values of r — for example, (± 0. 45)² = + 0. 2025. • The statistic r ² is sometimes called the coefficient of determination. • There are three reasons for using this statistic.
The Coefficient of Determination r 2 (1) A scattergram with r about +0. 5 does not appear to be “halfway between” a scattergram with r = +1 and one with r = 0 — it looks closer to the one with zero association. The scattergram that looks “halfway in between” perfect and zero association has a correlation of about r = +0. 7 (and r 2 = 0. 5).
The Coefficient of Determination r 2 (2) r 2 has a specific interpretation that r itself lacks. – Recall that the line y = 5 (= mean of y) is the horizontal line that best fits the plotted points by the least squares criterion. – Recall also that the quantity “average squared deviation from the line y = 5” has a special and familiar name • It is the variance of the dependent variable Y (the square root of which is the SD of Y. )
The Coefficient of Determination r 2 • When we tip the line, we can almost always improve the fit at least a bit. • The regression line is the tipped line with the best fit according to the least squares criterion. • But even this line usually fits the points far from perfectly. – For each plotted point, there is some vertical distance (positive if the point lies above the line, negative if it lies below) between the (best fitting) regression line and the point. – This vertical distance the called the residual for that case. – These residuals are the errors in prediction that are “left over” after we use the regression line to predict the value of the dependent variable in each case. • The ratio of the average squared residuals divided by the variance of Y can be characterized as the proportion of the variance in Y that is not “predicted” or “explained” by the regression equation that has X as the independent variable. • Therefore 1 minus this ratio can be characterized as the proportion of the variance in Y that is “predicted” or “explained by” the regression equation. • It turns out that the latter proportion is exactly equal to r 2.
The Coefficient of Determination r 2 (3) Finally, serious regression analysis is almost always multiple (multivariate) regression, where the effects of multiple independent (and/or “control”) variables on a single dependent variable are analyzed. – In this case, we want some summary measure of the overall extent to which the set of all independent variables “explains” variation in the dependent variable, regardless of whether individual independent variables have positive or negative effects (i. e. , regardless of whether bivariate correlations are positive or negative). – The coefficient of determination r 2 provides this measure.
Look “Underneath” the Correlation Reflects Linear Association Only. • Suppose that you calculate a correlation coefficient and find that r = 0 (so b = 0 also). • You should not jump to the conclusion that there is no association of any kind between the variables. • The zero coefficient tells you that there is no linear (straight-line) association between the variables. • But there may be a very clear curvilinear (curvedline) association between them.
Look “Underneath” the Correlation (cont. ) A Univariate Outlier May Create a Correlation. • Suppose that you calculate a correlation coefficient and find that r. +0. 9. • You should not jump to the conclusion that there is a strong and reliable association between the variables. • In the adjacent scattergram, a single univariate outlier produces the high correlation by itself. • You should at least double check your data entry for this case.
Look “Underneath” the Correlation (cont. ) A Bivariate Outlier May Greatly Attenuate a Correlation. • Clerical errors (or deviant cases) can attenuate, as well as enhance, apparent correlation. • In the adjacent scattergram, a single bivariate outlier reduces what is otherwise an almost perfect association between the variables to a more modest level. • Note that the deviant case is not an outlier in this univariate sense. – Its value on each variable separately is unexceptional. – What is exceptional is the combination of values on the two variables that it exhibits.
Applied Regression (and Correlation) Analysis • Regression (especially multiple regression) analysis is now very commonly used in political science research. • But perhaps its application is most intuitive in practical situations in which researchers literally want to make predictions about future cases based on analysis of past cases. • Here are two examples.
Predicting College GPAs. • A college Admissions Office has recorded the combined SAT scores of all of its incoming students over a number of years. • It has also recorded the first-year college GPAs of the same students. • The Admissions Office can therefore calculate the regression coefficient b, the intercept a, and the correlation coefficient r for the data they have collected in the past. It can then use the regression equation PREDICTED COLLEGE GPA = a + b × SAT SCORE to predict the potential college GPAs of the next crop of applicants on the basis of their SAT scores (and use these predictions in making their admissions decisions). • Even better, it can collect and record more extensive data and use a multiple regression equation such as: GPA = a + b 1 × SATV + b 2× SATM + b 3 × HSGPA + b 4 × # AP +. . .
Restricting the Values of the Independent Variable Attenuates Correlation
Predicting Presidential Elections Months in Advance • A number of political scientists have devised predictive models that you may have heard about during the past Presidential election year. – Much like the hypothetical college Admissions Office, these political scientists have assembled data concerning the past 15 or so Presidential elections, in particular: • the percent of the popular vote won by the candidate of the incumbent party (that controlled the White House going into the election) [the dependent variable of interest], and • data on a number of independent variables whose values become available well in advance of the election, typically including: – one or more indicators of the state of the economy (growth rate, unemployment rate, etc. ) usually as of the end of the second quarter (June 30) of the election year; – some poll measure of the incumbent President’s approval rating as of about June 30. – Using this data, they calculate the coefficients for the regression equation.
Predicting Presidential Elections (cont. ) • You constructed two bivariate scattergrams along these lines in PS #11: – INCUMBENT VOTE by GDP – INCUMBENT VOTE by PRESIDENTIAL APPROVAL – Remember that: • GDP was real Gross Domestic Product (economic) growth over the Fall, Winter, and Spring quarters preceding the election (e. g. , from October 1, 2003 through June 30, 2004); • PRES APPROVAL was the incumbent President’s approval rating in the first Gallup Poll taken after June 30 of the election year. • Let’s look at each of these more closely, and find (by either eyeball or calculation) the regression equation.
Predicting Presidential Elections (cont. )
Predicting Presidential Elections (cont. )
Predicting Presidential Elections (cont. ) • In July 2008, GDP was about +1%, so we could predict: Mc. Cain POP VOTE = 47. 7% + 1. 12 x 1% = 47. 7 + 1. 12% = 48. 8% This would be a pretty fuzzy prediction because the [calculated] correlation coefficient is only about r = +0. 5 (r 2 = +. 25)
The Regression Equation • Putting this all together, we now have the equation for the regression line in the example:
Predicting Presidential Elections (cont. )
Predicting Presidential Elections (cont. ) • We can make still sharper predictions by using both independent variables simultaneously to predict the value of the dependent variable. • Here is the multiple (vs. bivariate) regression equation (coefficients calculated by SPSS): INC VOTE = 35. 8 +. 49 x GDP +. 30 x POP (with r 2 =. 71) • It might seems surprising the apparent impact of each independent variable (its regression coefficient) is smaller in this multivariate analysis. – This is because the two independent variables are themselves correlated (r = +. 4)
“Out-of-Sample” Predictions
An Relevant Example
How Much Is an Additional Year of Education Really Worth?
How Much Is an Additional Year of Education Really Worth? (cont. )
How Much Is an Additional Year of Education Really Worth? (cont. )
How Much Is an Additional Year of Education Really Worth? (cont. )
Test 2 • If you answered (C) to M-C Q#9, one point has been added to your score and your graded has been increased by 0. 16 of a grade point. • If you answered “ 3” to Blue Book Q#1(d), show it to me and I will add one point to your score (and 0. 16 to your grade).