COROT COnvection ROtation Transits exoplantaires The Co Ro
























![Object Spect. P (days) Mp (MJup) [M/H] WASP-14 b F 5 V 2. 24 Object Spect. P (days) Mp (MJup) [M/H] WASP-14 b F 5 V 2. 24](https://slidetodoc.com/presentation_image/03b3d893866f603a3af7a91032a839ca/image-25.jpg)






- Slides: 31
COROT, COnvection, ROtation & Transits exoplanétaires The Co. Ro. T mission and Brown Dwarfs Malcolm Fridlund
COROT: §S/C 4. 2 m x 1. 9 m x 9. 6 m, 650 kg, 530 w §Payload § Co. Ro. Tel, afocal, 27 cm aperture, Baffle § Co. Ro. Tcam, dioptric, 4 CCD frame transfer 2048 x 4096 §Co. Ro. Tcase, electronics box § Short observing runs (20 d -- 60 days) on asteroseismology fields § Up to 150 days on exo-fields
Objectives COROT has two design objectives: - Searching for planets of a type similar to our own Earth - Studying the inner parts of stars by measuring the changes in light output caused by acoustical sound waves travelling through the star. COROT is essentially a very precise light-meter (photometer). COROT have measured changes in stellar flux of better than 1 part in 1 000! Can discriminate between colors ==> COROT can tell what the cause of variations in stellar flux is: a) Intrinsic changes caused by activity or by waves travelling through the star b) Occultations by a (small) planetary body passing in front of the star
• • Light curve analysis: Solve for 5 unknown parameters: M*, R*, a, i and Rp M* 1/3 / R* with 4 equations from the light curve and Kepler’s 3: rd law Rp/R* = (DF)1/2 = ((Fno transit – Ftransit) / Fno transit)1/2 Kepler’s third law, the transit shape and transit duration a, i, M* Rp Under the following assumptions: – – – Planet orbit is circular (tend to be true for Co. Ro. T objects) Mp << M* Stellar mass-radius relation is known (hmmm) No ‘blends’ Planet has to enter fully the stellar disk (flat bottom LC) and a good period can be determined from the LC (long enough non-interupted lc which is the point with Co. Ro. T). e. g. Seager & Mallen-Ornelas, Ap. J. , 585, 1038, 2003
Launched 27 Dec 2006; Operated since 15 Feb, 2007; About 80000 light curves acquired;
Status – First we observed UFO’s Both US ex-rockets and Chinese exsatellites…. Now, forget asteroseismology….
How Co. Ro. T planet detection works… observations data reduction Follow-up transit candidate list observations basic data reduction transit alarm! Follow-up Preliminary candidate list observations Confirmed planets (large planets!) Giant (and even small ones) planets can be detected already in „alarm mode“! Confirmed planets
Close-in giant objects can be discovered in „alarm mode“ • Very high S/N of data • transit events visible at N 1 level For example: Co. Ro. T-Exo-4 b
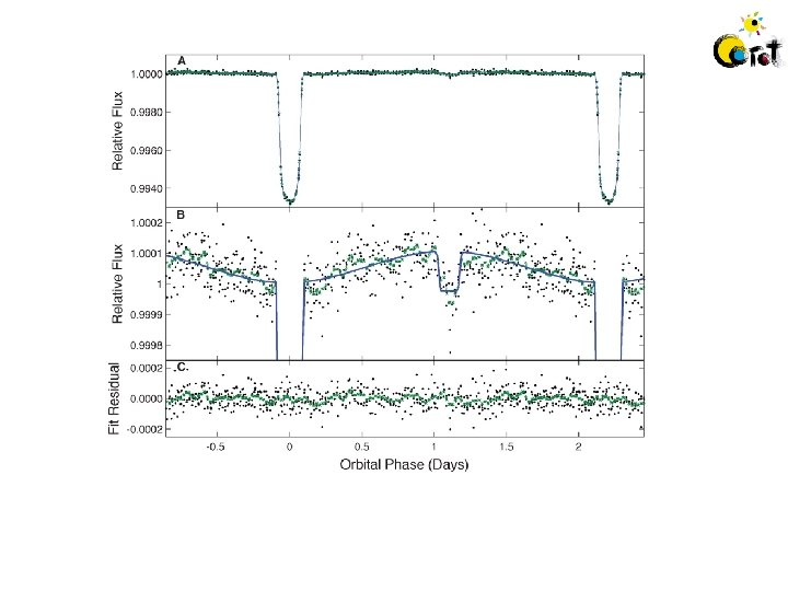
„Discovery space“ for Co. Ro. T Transiting planets around variable stars • Observations made during the first „long run“ of Co. Ro. T of 152 days duration • ~369000 flux measurements with 512 s (1. week) and then 32 s sampling • The star shows periodic variation over several days due to surface spots Alonso et al. 2008 The planet: Period: Radius: Mass: The star: Type: Magnitude: Mass: 1. 742996 days 1. 465+/-0. 029 RJup 3. 31+/-0. 16 MJup G 7 V=12. 6 mag 0. 97+/-0. 06 Msun. Folie 13
Small stuff is harder! Raw light curve! Cleaned and normalised Lightcurve of 144 d, demonstrating a rotation period of 2223 d
Extracted light curves in color (top) and white light (bottom)
Lightcurve implies a planet but it can be a background object or a grazing occultation of a binary: Solved by photometry and spectroscopy Photometry from the ground! PSF of 7 b
Spectroscopy of two kinds: Radial Velocities and high s/n, resolution spectrum for stellar parameters Teff Log g [M/H] Vmic V sin i
Results so far About 20 planets/BD’s (2) ‚not many‘ Earth masses – 47 Jupiter masses Periods between 0. 85 and 96 days High eccentricity in one case 5 more high probability targets + About 80 candidates – many to faint for HARPS/ VLT
Number 3! Co. Ro. T-Exo-3 b Looked ‘Jupiter-like’
0. 43% depth Light curve analysis: Solve for 5 unknown parameters: M*, R*, a, I and Rp M* 1/3 / R*
Transit on target! High mass!
Co. Ro. T-Exo-3 b: P: 4. 2568 d r: 1. 01 RJ (0. 07) m: 21. 66 MJ (1. 0) r: 26. 4 g cm-3 (5. 6) log g: 4. 72 (0. 07) The star: F 3 V V = 13. 3 mag Teff = 6740 K V sin i = 17 km s-1 d = 680 pc 1. 37± 0. 09 Mo (lc+models) R* = 1. 56± 0. 09 RO (lc+models) Age = 1. 6 – 2. 8 Gyr Log g = 4. 24± 0. 07 (models+spectra) [M/H] = -0. 02± 0. 06 Deleuil et al, 2008, A&A, 491, 889
Transiting planets p < 10 d
Radius of 3 b is 1 RJ just like theory says! New BD, P ~ 16 d, M ~ 47 MJ F-star ~ 10% (2 out of 20) of planets picked up by Co. Ro. T are BD < 5% of all exo-planets are BD (> 13 MJ) For transiting planets: 5 most massive planets (our 2 + HAT-P-2 b, WASP-14 b and XO 3 b) orbit all around F-stars
Object Spect. P (days) Mp (MJup) [M/H] WASP-14 b F 5 V 2. 24 7. 7 0± 0. 2 HAT-P-2 F 8 5. 63 9. 09 0. 14± 0. 08 WASP-18 b F 9 0. 94 10. 3 0± 0. 09 XO-3 b F 5 V 3. 19 11. 8 -0. 17± 0. 08 Co. Ro. T-3 b F 3 V 4. 26 21. 66± 1. 0 -0. 02± 0. 06 Co. Ro. T-? F 15. 9 ~ 47 ?
What now? - Co. Ro. T continues – probably for another 3 years but with half the FOV. - KEPLER has produced its first results. Demonstrates that they can detect 1 Earth radii. With this sensitivity, and their RV program they are going to pick up ~ same number of BD’s as Co. Ro. T
The End Public data: http: //idoc-corot. ias. u-psud. fr/
Summary: 1. Co. Ro. T have fulfilled design goals by discovering 7 b 2. So far ~10 confirmed planets published or very close 3. Activity of stars is a surprise. Many objects turn out metal poor 4. Sun is not a ’normal, average’ star?
5. Amount of follow-up observations underestimated – take significant effort and time. HARPS currently only instrument in the world that can detect Earth mass planets in RV 6. Will we find Earth-size planets soon? Yes! - Co. Ro. T, Kepler, microlensing, etc 7. Will we be able to confirm them soon? No! - not around solar analogue stars except in exceptional cases (non-HZ orbits)
The „first 4“! Co. Ro. T-Exo-1 b Co. Ro. T-Exo-2 b: P: 1. 742996 d r: 1. 465 RJ m: 3. 31 MJ The star: K 0 V V=12. 6 mag Co. Ro. T-Exo-1 b: P: 1. 5089557 d r: 1. 49 RJ m: 1. 03 MJ The star: G 0 V V = 13. 6 mag Barge et al. 2008 Co. Ro. T-Exo-3 b: P: 4. 2568 d r: 1. 01 RJ m: 21. 66 MJ Co. Ro. T-Exo-3 b Alonso et al. 2008 Co. Ro. T-Exo-4 b: P: 9. 20205 d r: 1. 19 RJ m: 0. 72 MJ The star: F 0 V V=13. 7 mag The star: G 0 V V = 13. 3 mag Deleuil et al. 2008 Agrain et al. and Moutou et al. 2008