CONTINUOUS DISTRIBUTIONS List of Continuous Distributions Normal Uniform
CONTINUOUS DISTRIBUTIONS
List of Continuous Distributions • Normal • Uniform • Exponential • Gamma • Chi-Squared
NORMAL DISTRIBUTION
Large Sample Limit • When observed over a large population, many variables have a “bell-shaped” relative frequency distribution, i. e. , one that is approximately symmetric and relatively higher in the middle of the range of values than at the extremes. Examples include such variables as o scholastic aptitude test scores, o physical measurements (height, weight, length) of organisms, and o repeated measurements of the same quantity on different occasions or by different observers. • A very useful family of probability distributions for such variables are the normal distributions.
5 Normal distribution PDF MGF Expected value Variance
PDF of normal distribution. (see a demo)
7 Standard Normal distribution: PDF MGF Expected value Variance
PROBABILITY USING NORMAL TABLE
Standard Normal Distribution •
Z-scores • z-scores tell you how many standard-deviation the original observation falls from the mean. For example a z-score = 1. 0, tells you that the particular value is exactly one standard deviation above the mean. • • If z-score = -2. 37, value is 2. 37 std. dev below the mean. (A lower case z indicates the z-score. ) • • z-scores are what you need in order to use the Standard Normal Table. • • z-scores also let you compare 2 values from different Normal distributions to see their probabilities on the same scale.
Example 1: Standard Normal •
Example 2: •
BACKWARDS PROBLEMS
‘Backwards’ Normal •
Example 3 •
Example 4 •
Example 5 • The weekly amount spent for maintenance and repairs at a certain company has an approximately normal distribution with a mean of $650 and a standard deviation of $35. • (i). What is the probability that the company spends less than $675 on maintenance • • and repairs in one week? (ii). If $725 is budgeted to cover the maintenance/repairs for next week, what is the probability that the actual cost will exceed the budgeted amount? (iii). For planning purposes, the company wants to know the range for the middle 60% of the distribution of weekly maintenance and repair costs. Find the values that determine the middle 60% of the distribution of maintenance/repair costs. (A) [-679. 4, 679. 4] (B) [620. 6, 679. 4] (C) [641. 25, 658. 75] (D) [-658. 75, 658. 75] (iv). What should the company expect their maintenance/repair costs to be for a year?
Combining Normal Distributions • If we have independent normal random variables, • Then the sum (or other linear combination) of these normal random variables is ALSO NORMAL with • Mean: sum of individual means • Variance: sum of individual variance
Example 6 •
Normal distribution and chi-square distribution •
23 UNIFORM DISTRIBUTION
24 Uniform Distribution Definition Support Parameters pdf The variable is evenly distributed over an interval
25 Uniform Distribution PDF CDF MGF
26 Uniform Distribution PDF Expected Value Variance
27 PDF CDF
28 Example- Uniform distribution. Nicole always arrives at her bus stop at 10: 05 am, knowing that the arrival of the bus varies anywhere from 10: 05 am to 10: 20.
29 Example- Uniform distribution. •
30 2. What is the probability that Nicole will have to wait longer than 8 minutes? 3. What is the probability that bus will come between 10: 12 am and 10: 18 pm? (Nicole waits from 10: 05 am)
32 4. Nicole has been keeping a record of her wait times for the bus, what is the 40 th percentile of her wait times? What time is that on the clock?
Read Assignments • Please Read 3. 2
35 EXPONENTIAL DISTRIBUTION
36 Exponential Distribution • Random experiment- Customers arriving at the candy shop every 10 minutes on average. • # of customer arrives in the fixed interval of time Poisson • Amount of time until the first arrival (or between arrival) Exponential!
37 Exponential Distribution Definition Support Parameters The time (or length, volume) until first or between success, when the rate of success is given
38 Exponential Distribution PDF CDF MGF
39 Exponential Distribution PDF Expected Value Variance
40
41 Exponential Distribution- Properties •
42 Example •
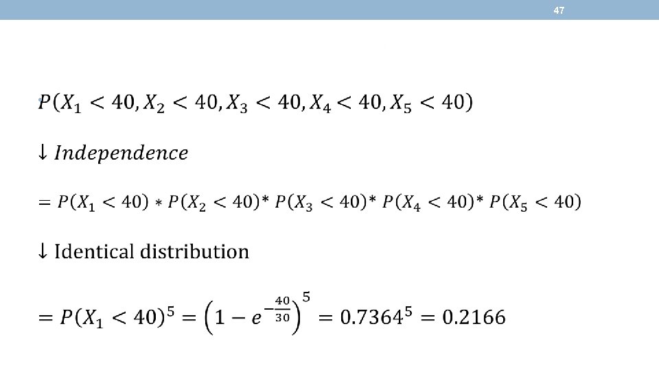
45 4. Assuming independence, what is the probability that it takes the puppy less than 40 seconds to fetch each of the next 5 balls?
Example 2 • Suppose the lifetime of a particular brand of light bulbs is exponentially distributed with mean of 400 hours. 1) Find the probability that a randomly selected light bulb would last over 500 hours. 2) Find the probability that 3 out of 7 randomly selected light bulbs would last over 500 hours. 3) Find the probability that a randomly selected light bulb would last between 300 hours and 800 hours.
What if… •
What if… •
GAMMA DISTRIBUTION
52 Gamma Distribution Definition Support Parameters
53 Gamma Distribution PDF MGF Expected value Variance
• PDF • CDF
Example • Suppose that customers arrive at a shop at the rate of 30 per hour. What is the probability that the shopkeeper will wait more than 5 minutes until the second customer arrives?
Example •
Example : Another solution •
Example •
Example • Alex is told that he needs to take bus #5 to the train station. • He misunderstands the directions and decides to wait for the fifth bus. • Suppose that the buses arrive to the bus stop according to Poisson process with the average rate of one bus per 20 minutes. 1. Find the probability that Alex would have to wait longer than 1 hour for the fifth bus to arrive. 2. Find the probability that the fifth bus arrives during the second hour. 3. Find the probability that the fifth bus arrives during the third hour.
Example • Traffic accidents at a particular intersection follow Poisson distribution with an average rate of 1. 4 per week. 1. What is the probability that the next accident will not occur for three days? 2. What is the probability that the next accident will occur during the third day? 3. What is the probability that the second accident will occur before the end of the third day? 4. What is the probability that the fourth accident will occur after the end of the seventh day? 5. What is the probability that the third accident will occur during the fourth day?
Special Case of Gamma distribution •
63 Chi-square Distribution PDF MGF Expected value Variance
PDF CDF
Normal distribution and chi-square distribution •
Read Assignments • Please Read 5. 8
- Slides: 66