Continuity Most of the techniques of calculus require
























- Slides: 24
Continuity
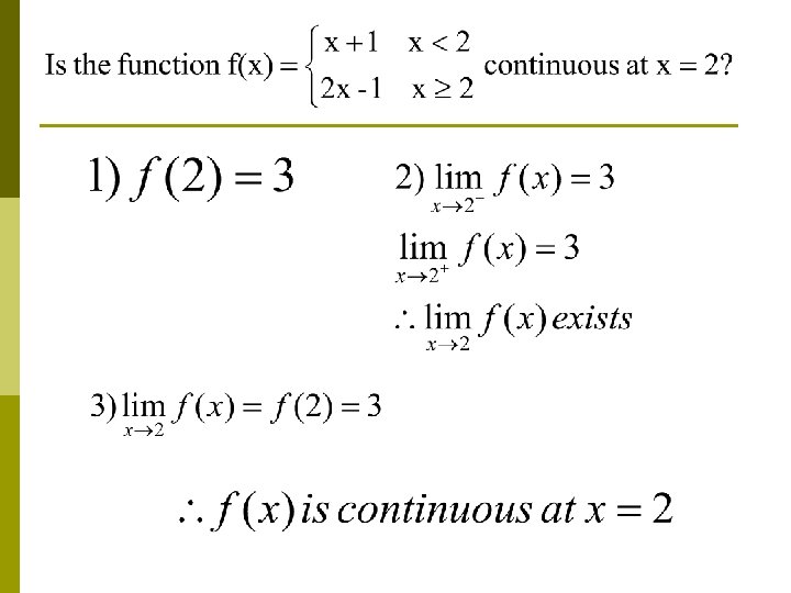
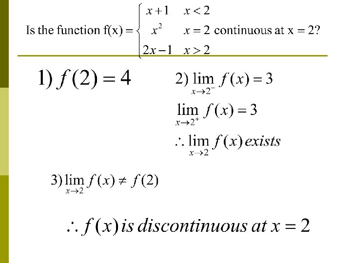
Most of the techniques of calculus require that functions be continuous. A function is continuous if you can draw it in one motion without picking up your pencil. A function is continuous at a point if the limit is the same as the value of the function. This function has discontinuities at x=1 and x=2. 2 1 1 2 3 4 It is continuous at x=0 and x=4, because the one-sided limits match the value of the function
Show g(x)=x^2 + 1 is continuous at x =1
Types of Discontinuities p There are 4 types of discontinuities n n p Jump Point Essential Removable The first three are considered non removable
Jump Discontinuity p Occurs when the curve breaks at a particular point and starts somewhere else n Right hand limit does not equal left hand limit
Point Discontinuity p Occurs when the curve has a “hole” because the function has a value that is off the curve at that point. n Limit of f as x approaches x does not equal f(x)
Essential Discontinuity p Occurs when curve has a vertical asymptote n Limit dne due to asymptote
Removable Discontinuity p Occurs when you have a rational expression with common factors in the numerator and denominator. Because these factors can be cancelled, the discontinuity is removable.
Places to test for continuity p Rational Expression n p Piecewise Functions n p Changes in interval Absolute Value Functions n p Values that make denominator = 0 Use piecewise definition and test changes in interval Step Functions n Test jumps from 1 step to next.
Continuous Functions in their domains Polynomials p Rational f(x)/g(x) if g(x) ≠ 0 p Radical p trig functions p
Find and identify and points of discontinuity Non removable – jump discontinuity
Find and identify and points of discontinuity Non removable – essential discontinuity VA at x = 4
Find and identify and points of discontinuity 2 points of disc. (where denominator = 0) Removable disc. At x = 5 Non removable essential at x = -1 (VA at x = -1)
Find and identify and points of discontinuity Non removable point discontinuity
Find and identify and points of discontinuity 2 points of disc. (where denominator = 0) Removable disc. At x = 5 Non removable essential at x = -4 (VA at x = -4)
Thank you