Continuit delle funzioni Funzione continua in un punto
















![Proprietà Se una funzione è continua in un intervallo chiuso [a, b], essa assume Proprietà Se una funzione è continua in un intervallo chiuso [a, b], essa assume](https://slidetodoc.com/presentation_image/0e88de468b849215a6bf513ba49fbde7/image-17.jpg)
![Proprietà Se una funzione è continua in un intervallo chiuso [a, b], essa assume Proprietà Se una funzione è continua in un intervallo chiuso [a, b], essa assume](https://slidetodoc.com/presentation_image/0e88de468b849215a6bf513ba49fbde7/image-18.jpg)
![Proprietà Se una funzione è continua in un intervallo chiuso [a, b], e se Proprietà Se una funzione è continua in un intervallo chiuso [a, b], e se](https://slidetodoc.com/presentation_image/0e88de468b849215a6bf513ba49fbde7/image-19.jpg)





![Dicesi funzione di funzione o funzione composta la funzione y=f[g(x)] Dicesi funzione di funzione o funzione composta la funzione y=f[g(x)]](https://slidetodoc.com/presentation_image/0e88de468b849215a6bf513ba49fbde7/image-25.jpg)

























- Slides: 50
Continuità delle funzioni
Funzione continua in un punto Sia y=f(x) una funzione definita in un intervallo, aperto o chiuso, e sia x 0 un punto interno a questo intervallo; diciamo che la funzione f(x) è continua in x 0 se risulta: lim f(x) = f(x 0)
Deduzioni • Esiste il valore della funzione nel punto x 0 • Esiste ed è finito il limite della funzione per • Il limite coincide con il valore assunto dalla funzione nel punto
Se conveniamo di porre x = x 0 +h, con h variabile, la condizione di continuità si può esprimere nella forma: lim f(x 0 +h) = f(x 0)
Se una funzione f(x) è continua in un punto x 0 il calcolo del limite per x tendente a x 0 si ottiene ponendo nella funzione x = x 0
Esempi di funzioni continue a) La funzione f(x) = k è continua in ogni suo punto; cioè qualunque sia x 0 lim k = k
Esempi di funzioni continue b) La funzione f(x) = x è continua in ogni suo punto; cioè qualunque sia x 0 lim x = x 0
Esempi di funzioni continue c) La funzione f(x) = xn con n intero e positivo è continua in ogni suo punto; cioè qualunque sia x 0 lim xn =
Esempi di funzioni continue d) Se la funzione f(x) è continua in x 0 lo è pure la funzione k*f(x) con k costante; cioè
Esempi di funzioni continue e) Se le due funzioni f(x) e g(x) sono continue in x 0 lo sono pure: f(x) + g(x) f(x) - g(x) f(x) * g(x)
Esempi di funzioni continue f) La funzione razionale fratta è continua in ogni x che non annulla il denominatore
Esempi di funzioni continue f) La funzione f(x) = È continua in ogni x se n è un intero positivo dispari È continua in ogni x>0 se n è un intero positivo pari
Esempi di funzioni continue f) La funzione f(x) = è continua in ogni x (con a>0)
Esempi di funzioni continue f) La funzione f(x) = è continua in ogni x>0
Esempi di funzioni continue f) Le funzioni f(x) =senx e g(x)=cosx sono continue in ogni x
Funzione continua in un intervallo Una funzione è continua in un intervallo chiuso [a, b] se è continua in ogni punto dell’intervallo.
Proprietà Se una funzione è continua in un intervallo chiuso [a, b], essa assume nell’intervallo il massimo e il minimo assoluto. Teorema di Weirstrass
Proprietà Se una funzione è continua in un intervallo chiuso [a, b], essa assume nell’intervallo ogni valore compreso tra il suo minimo e massimo assoluti. Teorema di Bolzano
Proprietà Se una funzione è continua in un intervallo chiuso [a, b], e se agli estremi dell’intervallo assume valori di segno opposto, essa si annulla in almeno un punto interno all’intervallo. Teorema
Funzioni monotone Sia f(x) una funzione definita in un intervallo (a, b). Se per ogni coppia di punti x 1 e x 2 dell’intervallo, con x 1 < x 2 risulta: allora f(x) è crescente non decrescente non crescente M O N O T O N A
Funzioni limitate Sia f(x) una funzione definita in un intervallo (a, b). Se esiste un numero reale h tale che per ogni x dell’intervallo è f(x)<h allora f(x) è limitata superiormente Se esiste un numero reale k tale che per ogni x dell’intervallo è f(x)>k allora f(x) è limitata inferiormente I valori h e k possono non appartenere al codominio
Se h e k appartengono al codominio della funzione allora si chiamano minimo assoluto e massimo assoluto.
Funzione di funzione
Sia z=g(x) una funzione definita in un intervallo (a, b); Sia inoltre y=f(z) una funzione della variabile z, definita per ogni valore della variabile z che si ricava dalla funzione z=g(x) al variare di x nell’intervallo suddetto.
Dicesi funzione di funzione o funzione composta la funzione y=f[g(x)]
esempio
Forme indeterminate di limiti
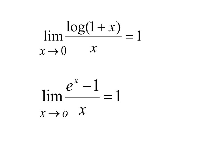
Limiti notevoli
Punti di discontinuità di una funzione
Discontinuità di prima specie La funzione è discontinua di prima specie in x 0 quando in tale punto esistono finiti e diversi il limite sinistro e destro.
La differenza Si chiama salto della funzione in x 0
Discontinuità di seconda specie La funzione è discontinua di seconda specie in x 0 quando in tale punto o non esiste o non è finito uno dei limiti sinistro e destro. .
Discontinuità di terza specie La funzione è discontinua di terza specie in x 0 quando in tale punto esiste finito ma la f(x) non è definita in tale punto o il suo valore è diverso da detto limite.
La discontinuità di terza specie è eliminabile perché si può sostituire ad f(x 0 ) il valore del limite.
esempi
Asintoti La retta x=x 0 si dice asintoto verticale della funzione y=f(x) se: oppure
Asintoti La retta y=l si dice asintoto orizzontale della funzione y=f(x) se:
Asintoti La retta y=mx+q si dice asintoto obliquo della funzione y=f(x) se:
con e
Infinitesimi Una funzione f(x) si dice infinitesimo per x che tende a x 0 se:
Se f(x) e g(x) sono infinitesimi per x che tende a x 0 e se esiste un intorno di tale punto tale che in tutti i punti dell’intorno risulti g(x) diverso da zero allora si potrà avere:
f(x) è un infinitesimo di ordine superiore a g(x); cioè tende a zero più velocemente.
f(x) è un infinitesimo di ordine inferiore a g(x); cioè tende a zero meno velocemente.
f(x) è un infinitesimo dello stesso ordine di g(x); cioè tende a zero con la stessa velocità.
f(x) e g(x) non sono confrontabili.
Per confrontare più infinitesimi spesso si fa riferimento ad un medesimo infinitesimo chiamato infinitesimo principale che sarà:
f(x) è un infinitesimo di ordine n rispetto all’infinitesimo principale se:
Infinito Una funzione f(x) si dice infinito per x che tende a x 0 se:
Infiniti